Giao diện mới của VnDoc Pro: Dễ sử dụng hơn - chỉ tập trung vào lớp bạn quan tâm. Vui lòng chọn lớp mà bạn quan tâm: Lưu và trải nghiệm
Đóng
Điểm danh hàng ngày
  • Hôm nay +3
  • Ngày 2 +3
  • Ngày 3 +3
  • Ngày 4 +3
  • Ngày 5 +3
  • Ngày 6 +3
  • Ngày 7 +5
Bạn đã điểm danh Hôm nay và nhận 3 điểm!
Nhắn tin Zalo VNDOC để nhận tư vấn mua gói Thành viên hoặc tải tài liệu Hotline hỗ trợ: 0936 120 169

Giáo án Công nghệ lớp 12 bài 2: Điện trở - tụ điện - cuộn cảm (tiếp theo)

Lớp: Lớp 12
Dạng tài liệu: Giáo án
Loại File: Word + PDF
Phân loại: Tài liệu Tính phí

Giáo án điện tử môn Công nghệ

Giáo án Công nghệ lớp 12 bài 2: Điện trở - tụ điện - cuộn cảm (tiếp theo) được VnDoc sưu tầm và giới thiệu để có thể chuẩn bị giáo án và bài giảng hiệu quả, giúp quý thầy cô tiết kiệm thời gian và công sức làm việc. Giáo án môn Công nghệ 12 này được soạn phù hợp quy định Bộ Giáo dục và nội dung súc tích giúp học sinh dễ dàng hiểu bài học hơn.

I. Mục tiêu:

1. Kiến thức: Qua bài học HS cần: Biết được cấu tạo, kí hiệu, số liệu kỹ thuật và công dụng của các linh kiện: tụ điện, cuộn cảm.

2. Kĩ năng:

  • Biết sử dụng đúng: Đồng hồ đo điện đa năng để đo các thông số điện trở, tụ điện, cuộn cảm.
  • Thành thạo: Vẽ được sơ đồ mạch điện đơn giản có chứa các linh kiện: điện trở, tụ điện, cuộn cảm.

3. Thái độ: HS rèn luyện: thói quen ý thức tìm hiểu về các linh kiện: điện trở, tụ điện, cuộn cảm, học tập nghiêm túc, tích cực.

II. Chuẩn bị bài dạy:

  • GV: Nghiên cứu kỹ nội dung bài 1, 2 SGK, tìm hiểu các nội dung trọng tâm bài 2.
  • Sử dụng thiết bị, phương tiện: Tranh vẽ phóng to hình 2.1 đến 2.7 SGK, hộp linh kiện R, L, C.
  • HS: GV hướng cho HS đọc trước nội dung, nghiên cứu kỹ bài 2 SGK và các tài liệu có liên quan. Sưu tầm các loại linh kiện điện tử.

III. Phương pháp: Sử dụng pp nêu vấn đề, kết hợp với pp thuyết trình, diễn giảng, đàm thoại, ILO khi cần thiết.

IV. Tiến trình tổ chức dạy học – giáo dục:

  1. Ổn định lớp: Kiểm tra sĩ số, tác phong nề nếp, tác phong nghiêm túc của học sinh. Vệ sinh lớp.
  2. Kiểm tra bài cũ: Nêu công dụng, cấu tạo, ký hiệu và số liệu kỹ thuật của điện trở?
  3. Đặt vấn đề: Tiếp tục nghiên cứu 2 LKĐT đó là tụ điện và cuộn cảm.

Hoạt động của Giáo viên và Học sinh

Nội dung cần đạt

Hoạt động 1: Tìm hiểu cấu tạo, ký hiệu, số liệu kỹ thuật và ứng dụng của tụ điện.

*GV: Dùng ảnh chụp hoặc tranh vẽ một số loại tụ điện để HS quan sát. Em hãy cho biết cấu tạo của tụ điện?

*HS: Nêu cấu tạo của tụ theo hiểu biết của bản thân.

*GV:Em hãy cho biết các loại tụ điện?

*HS: Lên bảng chỉ trên tranh vẽ từng loại tụ theo hình vẽ.

*GV: Em hãy cho biết trong sơ đồ các mạch điện tụ có kí hiệu như thế nào?

*HS: Lên bảng vẽ các ký hiệu theo yêu cầu của các thầy cô.

*GV: Tụ điện có các thông số cơ bản nào?

*HS: Đọc các thông số trên tụ do các thấy cô đưa cho.

*GV: Em hãy cho biết công dụng của tụ điện?

*HS: Lên bảng vẽ một mạch điện đơn giản trong đó thể hiện công dụng của tụ điện.

II. Tụ điện:

1. Cấu tạo và phân loại:

* Cấu tạo: Gồm các bản cực cách điện với nhau bằng lớp điện môi.

* Phân loại tụ điện: Phổ biến: Tụ giấy, Tụ mi ca, Tụ ni lông. Tụ dầu, Tụ hóa.

2. Kí hiệu tụ điện:

Giáo án môn Công nghệ lớp 12

3. Các số liệu kỹ thuật của tụ:

- Trị số điện dung (C): Là trị số chỉ khả năng tích lũy năng lượng điện trườngcủa tụ điện khi có điện áp đặt lên hai cực của tụ đó.

Giáo án môn Công nghệ lớp 12

- Đơn vị: µF, nF, pF.

- Điện áp định mức (Uđm): Là trị số điện áp lớn nhất cho phếp đặt lên hai đầu cực của tụ điện mà vẫn an toàn.

4. Công dụng của tụ:

- Ngăn cách dòng một chiều và cho dòng xoay chiều đi qua.

- Lọc nguồn.

Hoạt động 2: Tìm hiểu cấu tạo, ký hiệu, số liệu kỹ thuật và ứng dụng của cuộn cảm.

*GV: Dùng ảnh chụp hoặc tranh vẽ một số loại cuộn cảm để HS quan sát.Em hãy cho biết cấu tạo của cuộn cảm?

*HS: Nêu cấu tạo của cuộn theo hiểu biết của bản thân.

*GV: Em hãy cho biết các loại cuộn cảm?

*HS: Lên bảng chỉ trên tranh vẽ từng loại cuộn theo hình vẽ.

*GV: Em hãy cho biết trong sơ đồ các mạch điện cuộn cảm có kí hiệu như thế nào?

*HS: Lên bảng vẽ

*GV: Cuộn cảm có các thông số cơ bản nào?

*HS: Đọc các thông số trên cuộn do các thấy cô đưa cho.

*GV: Em hãy cho biết công dụng của cuộn cảm?

*HS: HS lên bảng vẽ

III. Cuộn cảm:

1. Cấu tạo và phân loại cuộn cảm:

* Cấu tạo: Gồm dây dẫn quấn thành cuộn phía trong có lõi.

* Phân loại cuộn cảm: Cuộn cảm cao tần, Cuộn cảm trung tần, Cuộn cảm âm tần.

2. Ký hiệu cuộn cảm:

3. Các số liệu kỹ thuật của cuộn cảm:

- Trị số điện cảm (L): Là trị số chỉ khả năng tích lũy năng lượng từ trương khi có dòng điện chạy qua.

- Đơn vị: H, mH, µH.

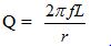
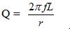
- Hệ số phẩm chất (Q): Đặc trưng cho sự tổn hao năng lượng của cuộn cảm và được đo bằng

Giáo án môn Công nghệ lớp 12

4. Công dụng của cuộn cảm: SGK

V. Củng cố: Qua nội dung bài học các em phải trả lời được và khắc sâu các nội dung sau:

  • Trình bày công dụng của điện trỏ, tụ điện, cuộn cảm?
  • Đọc giá trị 5k; 1,5w; 15μF; 15V ?
  • Vận dụng kiến thức để tìm hiểu các linh kiện trên thực tế.
  • Thái độ an toàn điện.

VI. Dặn dò: Trả lời câu hỏi 1,2,3 sách giáo khoa trang 11. Đọc trước Bài 3 (Các bước chuẩn bị thực hành)

Chọn file muốn tải về:
Đóng Chỉ thành viên VnDoc PRO/PROPLUS tải được nội dung này!
Đóng
79.000 / tháng
Đặc quyền các gói Thành viên
PRO
Phổ biến nhất
PRO+
Tải tài liệu Cao cấp 1 Lớp
30 lượt tải tài liệu
Xem nội dung bài viết
Trải nghiệm Không quảng cáo
Làm bài trắc nghiệm không giới hạn
Mua cả năm Tiết kiệm tới 48%

Có thể bạn quan tâm

Xác thực tài khoản!

Theo Nghị định 147/2024/ND-CP, bạn cần xác thực tài khoản trước khi sử dụng tính năng này. Chúng tôi sẽ gửi mã xác thực qua SMS hoặc Zalo tới số điện thoại mà bạn nhập dưới đây:

Số điện thoại chưa đúng định dạng!
Số điện thoại này đã được xác thực!
Bạn có thể dùng Sđt này đăng nhập tại đây!
Lỗi gửi SMS, liên hệ Admin
Sắp xếp theo
🖼️

Giáo án Công nghệ lớp 12

Xem thêm
🖼️

Gợi ý cho bạn

Xem thêm