Giáo án Công nghệ lớp 12 bài 7: Khái niệm về mạch điện tử - chỉnh lưu nguồn một chiều
Giáo án điện tử môn Công nghệ
Giáo án Công nghệ lớp 12 bài 7: Khái niệm về mạch điện tử - chỉnh lưu nguồn một chiều được VnDoc sưu tầm và giới thiệu để có thể chuẩn bị giáo án và bài giảng hiệu quả, giúp quý thầy cô tiết kiệm thời gian và công sức làm việc. Giáo án môn Công nghệ 12 này được soạn phù hợp quy định Bộ Giáo dục và nội dung súc tích giúp học sinh dễ dàng hiểu bài học hơn.
Giáo án Công nghệ lớp 12 bài 5: Thực hành Điot, tirixto, triac
Giáo án Công nghệ lớp 12 bài 6: Thực hành Tranzito
Giáo án Công nghệ lớp 12 bài 8: Mạch khuếch đại - mạch tạo xung
I. Mục tiêu:
1. Kiến thức: Qua bài học HS cần:
- Biết được khái niệm, phân loại mạch điện tử.
- Hiểu chức năng, nguyên lý làm việc mạch chỉnh lưu cầu, nguồn 1 chiều
2. Kĩ năng:
- Biết sử dụng và đọc: được sơ đồ mạch chỉnh lưu cầu và mạch nguồn một chiều.
- Thành thạo: cách vẽ sơ đồ mạch chỉnh lưu và nguồn 1 chiều.
3. Thái độ: HS rèn luyện: thói quen tìm hiểu mạch chỉnh lưu và mạch nguồn một chiều, học tập nghiêm túc, tích cực.
II. Chuẩn bị bài dạy:
GV: Nghiên cứu kỹ nội dung bài 7 SGK và các tài liệu có liên quan.
Sử dụng thiết bị, phương tiện: Các loại mạch chỉnh lưu thật gồm cả loại tốt và xấu.Tranh vẽ các hình trong SGK. Máy chiếu đa năng nếu có.
HS: Đọc kỹ nội dung bài 7 SGK. Sưu tầm các mạch điện.
III. Phương pháp:Sử dụng pp nêu vấn đề, kết hợp với pp thuyết trình, diễn giảng, đàm thoại, ILO khi cần thiết.
IV. Tiến trình tổ chức dạy học – giáo dục:
1. Ổn định lớp: Kiểm tra sĩ số, tác phong nề nếp, tác phong nghiêm túc của học sinh. Vệ sinh lớp.
2. Kiểm tra bài cũ:Trình bày các bước xác định chân của tranzito.
3. Đặt vấn đề: Các linh kiện điện tử, linh kiện bán dẫn và IC mà chúng ta nghiên cứu ở các bài trước đã được dùng để xây dựng nên các mạch điện dùng trong kỹ thuật điện tử, trong bài này chúng ta nghiên cứu mạch chỉnh lưu và mạch nguồn một chiều.
|
Hoạt động của Giáo viên và Học sinh |
Nội dung cần đạt |
|
Hoạt động 1: Tìm hiểu khái niệm, phân loại mạch điện tử. |
|
|
*GV: Treo tranh hình 7-2, 7-3, 7-4 để học sinh quan sát. ?Em hãy cho biết trong sơ đồ mạch điện gồm những linh kiện nào? ?Em hãy cho biết mạch điện tử là gì? ?Em hãy cho biết các loại mạch điện tử trong thực tế mà em biết? *HS: lên bảng nhận diện các linh kiện điện tử đã được học. HS trả lời theo hiểu biết của các em trong thực tế hằng ngày quan sát được. |
I. Khái niệm, phân loại mạch điện tử. 1. Khái niệm: MĐT là mạch điện mắc phối hợp giữa các linh kiện điện tử để thực hiện một chức năng nào đó trong kỹ thuật điện tử. 2. Phân loại a. Theo chức năng và nhiệm vụ: - Mạch khuếch đại. - Mạch tạo sóng hình sin. - Mạch tạo xung. - Mạch nguồn chỉnh lưu và ổn áp b. Theo phương thức gia công và xử lý tín hiệu: - Mạch kỹ thuật tương tự. - Mạch kỹ thuật số. |
|
Hoạt động 2: Tìm hiểu chỉnh lưu và nguồn một chiều |
|
|
*GV: Giáo viên chỉ giới thiệu phần chỉnh lưu. Dùng tranh vẽ lần lượt giới thiệu mạch chỉnh lưu nửa chu kỳ ?Em hãy cho biết các linh kiện trong mạch chỉnh lưu nửa chu kỳ? ?Em hãy cho biết nguyên lý hoạt động của mạch? Dùng tranh vẽ lần lượt giới thiệu mạch chỉnh lưu toàn kỳ. Gọi HS lên bảng trình bày cấu tạo, nguyên lý làm việc của mạch chỉnh lưu toàn kỳ, mạch chỉnh lưu hình cầu. Treo tranh vẽ mạch nguồn một chiều và yêu cầu
*GV: tách ra từng khối theo công dụng của mạch? Phân tích cho HS hiểu được tại sao phải lựa chọn các khối như vậy? Đưa ra các ưu khuyết điểm của các khối. *HS: Lên bảng trình bày nguyên lý của mạch. -Lên bảng phân mạch theo sự hiểu biết của mình sau đó GV nhận xét . |
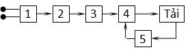
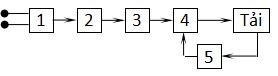
II. Chỉnh lưu và nguồn một chiều. 1. Mạch chỉnh lưu: Công dụng: Mạch chỉnh lưu dùng điốt để chuyển đổi dòng điện xoay chiều thành dòng điện một chiều. a. Mạch chỉnh lưu nửa chu kỳ: b. Mạch chỉnh lưu toàn kỳ: c. Mạch chỉnh lưu hình cầu: (SGK) 2. Nguồn một chiều: a. Sơ đồ khối: - Khối 1: Biến áp nguồn. - Khối 2: Mạch chỉnh lưu. - Khối 3: Mạch lọc nguồn. - Khối 4: Mạch ổn áp. - Khối 5: Mạch bảo vệ. b. Mạch nguồn thực tế: 1. Biến áp hạ áp từ 220V xuống 6 – 24V tuỳ theo yêu cầu của từng máy. 2. Mạch chỉnh lưu hình cầu dùng để đổi nguồn xoay chiều thành một chiều. 3. Mạch lọc dùng tụ điện và cuộn cảm có trị số lớn để san phẳng độ gợn sóng. Mạch ổn áp dùng IC để ổn định điện áp ngõ ra. |
V. Củng cố: Qua nội dung bài học các em phải trả lời được và khắc sâu các nội dung sau:
Hãy nối các linh kiện trên thành mạch chỉnh lưu hình cầu

VI. Dặn dò: Xem lại nội dung bài cũ. chuẩn bị bài 8 MẠCH KHUẾCH ĐẠI – MẠCH TẠO XUNG.
