Giáo án Vật lý 9 bài 2: Điện trở của dây dẫn - Định luật ôm
Giáo án Vật lý 9
Giáo án Vật lý 9 bài 2: Điện trở của dây dẫn - Định luật ôm được chọn lọc từ giáo án của các thầy cô đang giảng dạy bộ môn này trong cả nước. Giáo án cung cấp kiến thức giúp học sinh hiểu đơn vị điện trở, công thức tính điện trở, định luật Ôm. Mời quý thầy cô tham khảo để soạn cho mình một giáo án giảng dạy tốt hơn.
Bài 2: ĐIỆN TRỞ CỦA DÂY DẪN - ĐỊNH LUẬT ÔM
I. MỤC TIÊU:
1. Kiến thức:
- Biết được định nghĩa điện trở và định luật Ôm.
2. Kĩ năng:
- Phát biểu và viết được biểu thức của định luật Ôm.
3. Thái độ:
- Có ý thức vận dụng kiến thức vào cuộc sống thực tế.
- Nghiêm túc trong giờ học.
II. CHUẨN BỊ:
1. GV: Các loại điện trở
2. HS: Máy tính bỏ túi, các loại dây điện trở, bảng tính theo kết quả của bảng 1 và bảng 2.
III. CÁC HOẠT ĐỘNG TRÊN LỚP:
1. Ổn định: (1')
2. Kiểm tra: (4')
Câu hỏi: nêu mối quan hệ giữa cường độ dòng điện vào hiệu điện thế giữa hai đầu dây dẫn?
Đáp án: khi hiệu điện thế giữa hai đầu dây dẫn tăng (giảm) bao nhiêu lần thì cường độ dòng điện cũng tăng (giảm) bấy nhiêu lần.
3. Bài mới:
| HOẠT ĐỘNG CỦA THẦY VÀ TRÒ | NỘI DUNG |
|
HĐ: Điện trở dây dẫn HS: Thảo luận với câu C1 Đại diện các nhóm trình bày Các nhóm tự nhận xét, bổ sung cho câu trả lời của nhau. GV: Tổng hợp ý kiến và đưa ra kết luận chung cho câu C1 HS: Suy nghĩ và trả lời C2 GV: Gọi HS khác nhận xét, bổ sung sau đó đưa ra kết luận chung cho câu C2 GV: Cho HS quan sát các điện trở thực tế và giải thích định nghĩa về điện trở HS: Nghe và nắm bắt thông tin sau đó nêu ý nghĩa của điện trở GV: Tổng hợp ý kiến sau đó đưa ra kết luận chung cho phần này HĐ 2: Định luật Ôm GV: nêu thông tin về hệ thức của đinh luật Ôm và giải thích HS: nắm bắt thông tin và thử phát biểu định luật GV: Tổng hợp ý kiến và đưa ra kết luận chung cho phần này |
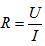
I. Điện trở của dây dẫn 1. Xác định thương số U/I đối với mỗi dây dẫn:
C2: - Đối với mỗi dây dẫn thì U/I không thay đổi - Đối với hai dây dẫn khác nhau thì U/I là khác nhau 2. Điện trở:
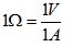
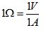
Gọi là điện trở của dây dẫn - Đơn vị của điện trở là Ôm, kí hiệu là Ômega (Ω)
2. Phát biểu định luật: SGK |
HĐ 3: Vận dụng
- HS: suy nghĩ và trả lời C3
- GV: gọi HS khác nhận xét, bổ sung sau đó đưa ra kết luận chung cho câu C3
- HS: thảo luận với câu C4
- Đại diện các nhóm trình bày
- Các nhóm tự nhận xét, bổ sung cho câu trả lời của nhau.
- GV: tổng hợp ý kiến và đưa ra kết luận chung cho câu C4
4. Củng cố: (8')
- Giáo viên hệ thống hóa lại các kiến thức trọng tâm
- Gọi 1 vài học sinh đọc ghi nhớ + có thể em chưa biết
- Hướng dẫn làm bài tập trong SBT
5. Hướng dẫn học ở nhà: (2')
- Học bài và làm các bài tập 2.1 đến 2.4 (Tr5, 6_SBT).
- Chuẩn bị cho giờ sau.
- Mỗi nhóm: Các dây điện trở, 1 ampe kế, 1 vôn kế, 1 công tắc, 1 nguồn điện, các đoạn dây nối.
- Báo cáo thực hành.
