Giáo trình luyện thi đại học môn Vật lý
Giáo trình luyện thi đại học môn Vật lý của thầy Bùi Gia Nội là tài liệu tổng hợp cơ học, sóng cơ, điện xoay chiều, điện từ, sóng ánh sáng, hạt nhân với cách trình bày lý thuyết chi tiết dễ hiểu và bài tập trắc nghiệm môn lý cuối mỗi chương. Đây là tài liệu ôn thi đại học môn Lý cực kì hữu ích 2015 dành cho các bạn học sinh và giáo viên.
Luyện thi đại học môn Lý
CHƯƠNG I: DAO ĐỘNG CƠ HỌC
ĐẠI CƯƠNG VỀ DAO ĐỘNG
1. Dao động: Là những chuyển động qua lại quanh một vị trí cân bằng. (Vị trí cân bằng là vị trí tự nhiên của vật khi chưa dao động, ở đó hợp các lực tác dụng lên vật bằng 0).
2. Dao động tuần hoàn: Là dao động mà trạng thái chuyển động của vật lặp lại như cũ sau những khoảng thời gian bằng nhau. (Trạng thái chuyển động bao gồm tọa độ, vận tốc v gia tốc… cả về hướng và độ lớn).
3. Dao động điều hòa: là dao động được mô tả theo định luật hình sin (hoặc cosin) theo thời gian, phương trình có dạng: x = Asin(ωt +φ) hoặc x = Acos(ωt +φ)
Đồ thị của dao động điều hòa là một đường sin (hình vẽ):

Trong đó:
x: tọa độ (hay vị trí ) của vật.
Acos(ωt + φ): là li độ (độ lệch của vật so với vị trí cân bằng)
A: Biên độ dao động, là li độ cực đại, luôn là hằng số dương
ω: Tần số góc (đo bằng rad/s), luôn là hằng số dương
(ωt +φ): Pha dao động (đo bằng rad), cho phép ta xác định trạng thái dao động của vật tại thời điểm t.
φ: Pha ban đầu, là hằng số dương hoặc âm phụ thuộc vào cách ta chọn mốc thời gian (t = t0).
4. Chu kì, tần số dao động:
* Chu kì T (đo bằng giây (s)) là khoảng thời gian ngắn nhất sau đó trạng thái dao động lập lại như cũ hoặc là thời gian để vật thực hiện một dao động.

* Tần số ƒ (đo bằng héc: Hz) là số chu kì (hay số dao động) vật thực hiện trong một đơn vị thời gian:

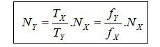
* Gọi Tx,fx là chu kì và tần số cuẩ vật X. Gọi Ty và fy là chu kì và tần số của vật Y. Khi đó trong cùng khoảng thời gian t nếu vật X thực hiện được Nx dao động thì vật Y sẽ thực hiện được Ny dao động và: