Hóa học 11 Cánh Diều bài 17
Theo lộ trình thực hiện Chương trình giáo dục phổ thông 2018 của Bộ Giáo dục và Đào tạo, từ năm học 2023-2024, học sinh các khối lớp 11 sẽ học theo chương trình, sách giáo khoa mới. Để giúp các thầy cô và các em học sinh làm quen với từng bộ sách mới, VnDoc xin giới thiệu tài liệu Hóa học 11 Cánh Diều bài 17. Mời quý bạn đọc cùng tham khảo.
Hóa học 11 Cánh Diều bài 17: Phenol
Mở đầu trang 116 Hoá học 11
Cho ba chất có công thức cấu tạo dưới đây:

a) Chất nào ở trên thuộc loại alcohol?
b) Hợp chất (C) có những đặc điểm cấu tạo nào khác so với hai hợp chất (A) và (B)?
c) Dự đoán tính chất hoá học của hợp chất (C) có khác (A) và (B) hay không.
Lời giải:
a) Chất (B) thuộc loại alcohol do có nhóm – OH liên kết trực tiếp với nguyên tử carbon no.
b) Hợp chất (C) khác hợp chất (A), (B) ở điểm: có nhóm – OH liên kết trực tiếp với nguyên tử carbon của vòng benzene.
c) Dự đoán: Tính chất hoá học của hợp chất (C) khác tính chất hoá học của các hợp chất (A) và (B).
I. Khái niệm
II. Tính chất vật lí
Luyện tập 1 trang 118 Hóa học 11
Cho các chất có công thức sau: C6H5OH, C6H5CH3, C6H5Cl và các giá trị nhiệt độ sôi (không theo thứ tự) là 110 oC, 132 oC, 182 oC. Hãy dự đoán nhiệt độ sôi tương ứng với mỗi chất trên. Giải thích.
Lời giải:
Dự đoán nhiệt độ sôi các chất như sau:
|
Chất |
C6H5CH3 |
C6H5Cl |
C6H5OH |
|
Nhiệt độ sôi |
110 oC |
132 oC |
182 oC |
Giải thích:
- Do có nhóm – OH trong phân tử nên phenol tạo ra liên kết hydrogen giữa các phân tử. Do vậy, phenol có nhiệt độ sôi cao hơn C6H5Cl (có phân tử khối tương đương).
- Do liên kết C – Cl phân cực nên C6H5Cl có nhiệt độ sôi cao hơn C6H5CH3 (có phân tử khối tương đương).
Câu hỏi 1 trang 118 Hóa học 11
Nhận xét đặc điểm cấu tạo của phân tử phenol về nhóm chức và gốc hydrocarbon. Từ đó dự đoán về tính chất hoá học ở nhóm chức (so sánh với alcohol) và ở gốc hydrocarbon (so sánh với benzene).
Lời giải:
Trong phân tử phenol, nhóm – OH liên kết trực tiếp với vòng benzene. Chính nhờ có sự liên kết này, vòng benzene trở thành nhóm hút electron, làm giảm mật độ electron ở nguyên tử oxygen và tăng sự phân cực của liên kết O – H (so với trong phân tử alcohol); đồng thời làm tăng mật độ electron trong vòng benzene, nhất là ở các vị trí ortho và para.
Như vậy, tính acid của phenol mạnh hơn so với alcohol và phản ứng thế nguyên tử H của vòng benzene trong phân tử phenol xảy ra dễ hơn so với benzene.
Luyện tập 2 trang 118 Hóa học 11
Hãy dẫn ra các phương trình hoá học để chứng minh rằng tính acid của phenol mạnh hơn của alcohol.
Lời giải:
Các phương trình hoá học chứng minh tính acid của phenol mạnh hơn tính acid của alcohol:
C6H5OH + NaOH → C6H5ONa + H2O
C2H5OH + NaOH → không phản ứng
C6H5OH + Na2CO3 ⇌ C6H5ONa + NaHCO3
C2H5OH + Na2CO3 → không phản ứng.
III. Tính chất hoá học
Câu hỏi 1 trang 118 Hóa học 11
Nhận xét đặc điểm cấu tạo của phân tử phenol về nhóm chức và gốc hydrocarbon. Từ đó dự đoán về tính chất hoá học ở nhóm chức (so sánh với alcohol) và ở gốc hydrocarbon (so sánh với benzene).
Lời giải:
Trong phân tử phenol, nhóm – OH liên kết trực tiếp với vòng benzene. Chính nhờ có sự liên kết này, vòng benzene trở thành nhóm hút electron, làm giảm mật độ electron ở nguyên tử oxygen và tăng sự phân cực của liên kết O – H (so với trong phân tử alcohol); đồng thời làm tăng mật độ electron trong vòng benzene, nhất là ở các vị trí ortho và para.
Như vậy, tính acid của phenol mạnh hơn so với alcohol và phản ứng thế nguyên tử H của vòng benzene trong phân tử phenol xảy ra dễ hơn so với benzene.
Luyện tập 2 trang 118 Hóa học 11
Hãy dẫn ra các phương trình hoá học để chứng minh rằng tính acid của phenol mạnh hơn của alcohol.
Lời giải:
Các phương trình hoá học chứng minh tính acid của phenol mạnh hơn tính acid của alcohol:
C6H5OH + NaOH → C6H5ONa + H2O
C2H5OH + NaOH → không phản ứng
C6H5OH + Na2CO3 ⇌ C6H5ONa + NaHCO3
C2H5OH + Na2CO3 → không phản ứng.
Thí nghiệm 1 trang 119 Hóa học 11
Phản ứng của phenol và dung dịch NaOH
Chuẩn bị: Dung dịch phenol ở dạng huyền phù, dung dịch NaOH 1M; ống nghiệm.
Tiến hành: Chuẩn bị một ống nghiệm chứa khoảng 1 mL dung dịch phenol dạng huyền phù. Nhỏ từ từ khoảng 2 mL dung dịch sodium hydroxide 1 M vào ống nghiệm. Lắc đều ống nghiệm.
Yêu cầu: Quan sát, mô tả hiện tượng xảy ra và giải thích.
Lời giải:
- Hiện tượng: Dung dịch phenol ở dạng huyền phù trở nên trong suốt sau phản ứng.
- Giải thích: Phenol phản ứng với NaOH thu được muối tan nên sau phản ứng dung dịch trở nên trong suốt. Phương trình hoá học minh hoạ:
C6H5OH + NaOH → C6H5ONa + H2O
Thí nghiệm 2 trang 119 Hóa học 11
Phản ứng của phenol với dung dịch Na2CO3
Chuẩn bị: Dung dịch phenol ở dạng huyền phù, dung dịch Na2CO3 1 M; ống nghiệm. Tiến hành: Cho vào ống nghiệm khoảng 1 mL dung dịch phenol dạng huyền phù. Nhỏ từ từ khoảng 2 mL dung dịch sodium carbonate 1 M vào ống nghiệm. Lắc đều ống nghiệm.
Yêu cầu: Quan sát, mô tả hiện tượng xảy ra và giải thích.
Lời giải:
- Hiện tượng: Dung dịch phenol ở dạng huyền phù trở nên trong hơn sau phản ứng.
- Giải thích: Phenol phản ứng với Na2CO3 thu được muối tan nên sau phản ứng dung dịch trở nên trong hơn. Phương trình hoá học minh hoạ:
C6H5OH + Na2CO3 ⇌ C6H5ONa + NaHCO3.
Thí nghiệm 3 trang 119 Hóa học 11
Phản ứng của phenol với nước bromine
Chuẩn bị: Dung dịch phenol 5%, nước bromine bão hoà, ống nghiệm.
Tiến hành: Cho 0,5 mL dung dịch phenol 5% vào ống nghiệm và thêm vài giọt nước bromine bão hòa. Lắc đều ống nghiệm.
Yêu cầu: Quan sát, mô tả hiện tượng xảy ra và giải thích.
Chú ý an toàn: Phenol và bromine độc nên không để phenol tiếp xúc với da, không hít hơi phenol và bromine.
Lời giải:
- Hiện tượng: Nước bromine mất màu và xuất hiện kết tủa trắng do phenol phản ứng với nước bromine tạo thành sản phẩm thế 2,4,6 – tribromophenol ở dạng kết tủa màu trắng.
Phương trình hoá học:

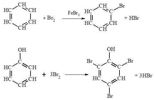
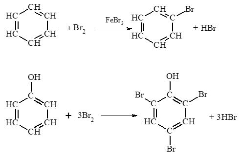
Luyện tập 3 trang 119 Hóa học 11
Hãy dẫn ra các phương trình hoá học để chứng minh phản ứng thế nguyên tử H ở vòng benzene trong phenol dễ hơn benzene.
Lời giải:
Benzene phản ứng với Br2 trong điều kiện đun nóng và có xúc tác FeBr3. Phenol phản ứng với Br2 ngay điều kiện thường và không cần chất xúc tác. Điều đó chứng tỏ do ảnh hưởng của nhóm – OH, phản ứng thế nguyên tử hydrogen ở vòng benzene của phenol xảy ra dễ dàng hơn so với benzene.
Phương trình hoá học chứng minh:

Luyện tập 4 trang 119 Hóa học 11
Có ba ống nghiệm chứa các chất lỏng sau: dung dịch propanol, dung dịch phenol và benzene. Hãy đề xuất một thuốc thử để nhận biết ống nghiệm chứa dung dịch phenol.
Lời giải:
- Đề xuất: Thuốc thử để nhận biết ống nghiệm chứa dung dịch phenol là dung dịch bromine.
- Cách nhận biết:
+ Đánh số thứ tự từng ống nghiệm mất nhãn, trích mẫu thử.
+ Cho lần lượt từng mẫu thử tác dụng với dung dịch bromine:
Nếu xuất hiện kết tủa trắng → mẫu thử là phenol.
Không có kết tủa xuất hiện → mẫu thử là propanol, benzene.
Thí nghiệm 4 trang 120 Hóa học 11
Phản ứng của phenol với nitric acid đặc
Theo dõi mô tả thí nghiệm sau.
Cho khoảng 0,5 g phenol và 1,5 mL dung dịch H2SO4 đặc vào ống nghiệm, sau đó đun nóng hỗn hợp để thu được chất lỏng đồng nhất. Làm lạnh ống nghiệm rồi nhỏ từ từ khoảng 1 mL dung dịch HNO3 đặc vào hỗn hợp, lắc đều. Hỗn hợp trong ống nghiệm nhuốm màu đỏ tối. Đun cách thuỷ hỗn hợp trong 15 phút. Sau đó để nguội rồi rót hỗn hợp vào cốc đựng 20 mL nước lạnh sẽ thấy picric acid tách ra ở dạng kết tủa màu vàng.
Yêu cầu: Viết phương trình hóa học và giải thích hiện tượng xảy ra.
Lời giải:
Phenol phản ứng với dung dịch nitric acid đặc trong dung dịch sulfuric acid đặc tạo ra sản phẩm 2,4,6 – trinitrophenol (picric acid, dạng tinh thể màu vàng).
Phương trình hoá học:

IV. Ứng dụng và điều chế
Câu hỏi 2 trang 120 Hóa học 11
Hãy trình bày một số ứng dụng của phenol trong thực tiễn.
Lời giải:
Một số ứng dụng của phenol trong thực tiễn:
Phenol là nguyên liệu chính để sản xuất bisphenol A, một chất trung gian dùng trong sản xuất nhựa epoxy. Phenol cũng được sử dụng nhiều trong sản xuất nhựa phenol – formaldehyde hay poly(phenol – formaldehyde).
Phenol được dùng để sản xuất phẩm nhuộm, sản xuất thuốc nổ (2,4,6 – trinitrophenol), chất diệt cỏ 2,4 – D (2,4 – dichlorophenoxyacetic acid); chất diệt nấm mốc (các đồng phân của nitrophenol),…
Do có tính diệt khuẩn nên phenol được dùng làm chất khử trùng, tẩy uế. Thuốc xịt chloraseptic chứa 1,4% phenol được dùng làm thuốc chữa đau họng.
Bài tập (trang 121)
1. Bài 1 trang 121 Hóa học 11
Trong các chất có công thức sau, chất nào có nhiệt độ sôi cao nhất?

Lời giải:
Chất có nhiệt độ sôi cao nhất là phenol. Do có nhóm – OH trong phân tử nên phenol tạo ra liên kết hydrogen giữa các phân tử, benzene và chlorobenzene không tạo được liên kết hydrogen giữa các phân tử.
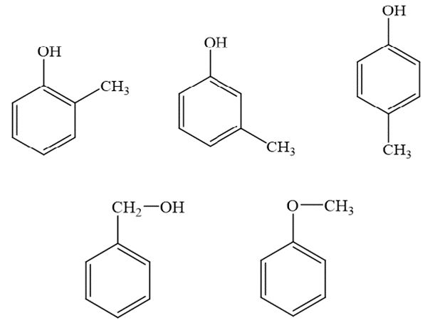
2. Bài 2 trang 121 Hóa học 11
Hãy viết công thức cấu tạo các chất chứa vòng benzene có cùng công thức phân tử C7H8O.
Lời giải:
Các chất chứa vòng benzene có cùng công thức phân tử C7H8O:

3. Bài 3 trang 121 Hóa học 11
Trình bày cách phân biệt các dung dịch sau: dung dịch phenol, dung dịch ethanol, dung dịch glycerol.
Lời giải:
Trích mẫu thử.
Cho từng mẫu thử tác dụng với dung dịch bromine.
+ Xuất hiện kết tủa trắng → dung dịch phenol.

+ Không có hiện tượng xuất hiện → dung dịch ethanol, dung dịch glycerol (nhóm I).
Cho lần lượt từng mẫu thử ở nhóm I tác dụng với Cu(OH)2.
+ Nếu kết tủa tan dần, thu được dung dịch có màu xanh đặc trưng → dung dịch glycerol.

+ Nếu không có hiện tượng xuất hiện → dung dịch ethanol.
4. Bài 4 trang 121 Hóa học 11
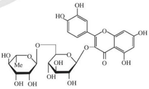
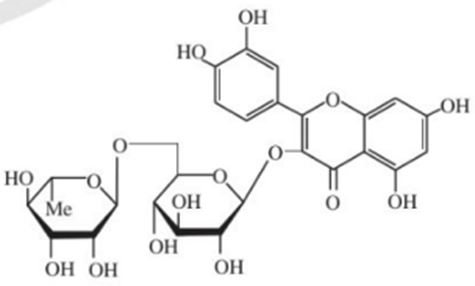
Rutin có nhiều trong hoa hoè. Rutin có tác dụng làm bền vững thành mạch, chống co thắt, chống phóng xạ tia X, chống viêm cầu thận cấp. Rutin có công thức phân tử C27H30O16 và công thức cấu tạo như bên:

a) Phân tử rutin có bao nhiêu nhóm –OH alcohol và bao nhiêu nhóm –OH phenol?
b) Có hai phương pháp tách rutin từ hoa hoè như sau:
- Phương pháp 1: Hoa hoè xử lí bằng dung dịch sodium hydroxyde. Lọc, acid hoá phần nước lọc, thu được rutin.
- Phương pháp 2: Chiết rutin từ hoa hoè bằng nước nóng sau đó để nguội, rutin sẽ tách ra.
Em hãy cho biết mỗi phương pháp trên đã dựa vào tính chất nào của rutin.
Lời giải:
a) Phân tử rutin có 6 nhóm –OH alcohol và 4 nhóm –OH phenol.
b) Phương pháp 1 dựa vào tính chất hoá học của rutin, tác dụng được với sodium hydroxide.
Phương pháp 2 dựa vào tính chất hoá học của rutin, tan nhiều trong nước nóng.
-------------------
Trên đây VnDoc.com vừa gửi tới bạn đọc bài viết Hóa học 11 Cánh Diều bài 17. Hi vọng qua bài viết này bạn đọc có thêm tài liệu để học tập tốt hơn môn Hóa học 11 Cánh diều.