Hóa học 11 Cánh Diều bài 14
Theo lộ trình thực hiện Chương trình giáo dục phổ thông 2018 của Bộ Giáo dục và Đào tạo, từ năm học 2023-2024, học sinh các khối lớp 11 sẽ học theo chương trình, sách giáo khoa mới. Để giúp các thầy cô và các em học sinh làm quen với từng bộ sách mới, VnDoc xin giới thiệu tài liệu Hóa học 11 Cánh Diều bài 14. Mời quý bạn đọc cùng tham khảo.
Hóa học 11 Cánh Diều bài 14: Arene (Hydrocarbon thơm)
Mở đầu trang 92 Hoá học 11
Benzene, toluene, styrene và naphthalene là những hydrocarbon thơm (arene) có công thức cấu tạo như ở Hình 14.1:

Hãy nhận xét điểm giống nhau và khác nhau về cấu tạo của các hợp chất hydrocarbon thơm trên với alkane và alkene.
Lời giải:
Giống nhau: Đều là hydrocarbon, thành phần phân tử chỉ chứa carbon và hydrogen.
Khác nhau: Cấu tạo của các hợp chất hydrocarbon thơm đều có chứa vòng benzene còn alkane và alkene không có chứa vòng benzene.
I. Khái niệm và danh pháp
Luyện tập trang 93 Hóa học 11
Viết công thức cấu tạo và gọi tên các hydrocarbon thơm có công thức phân tử C8H10. Trong các chất trên, cho biết chất nào là đồng phân về số lượng các gốc alkyl gắn với vòng benzene của o – xylene.
Lời giải:
Các đồng phân hydrocarbon thơm có công thức phân tử C8H10:

Chất (3) và (4) là đồng phân về số lượng các gốc alkyl gắn với vòng benzene của o – xylene.
II. Tính chất vật lí
Vận dụng 1 trang 94 Hóa học 11
Trên nhãn chai chứa benzene trong phòng thí nghiệm thường có một số biểu tượng sau:

Cho biết cần chú ý gì khi sử dụng benzene.
Lời giải:
Chú ý khi sử dụng benzene:
: chất dễ cháy.
: chất nguy hiểm cho sức khoẻ.
Vận dụng 2 trang 94 Hóa học 11
Vì sao khu vực có trạm xăng dầu, khu vực có nhiều xe cơ giới qua lại, nơi có khói thuốc lá, … lại được xem là nơi có nguồn hydrocarbon thơm gây tổn hại đến sức khoẻ con người? Hãy tìm hiểu và kể tên một số hydrocarbon thơm thường có trong không khí ở các khu vực trên.
Lời giải:
- Benzene, toluene, xylene, … là các hydrocarbon thơm được thêm vào xăng theo một tỉ lệ thể tích nhất định, giúp tăng chỉ số octane của xăng, nhờ đó nhiên liệu được đốt cháy hiệu quả hơn. Vì thế khu vực có trạm xăng dầu, khu vực có nhiều xe cơ giới qua được xem là nơi có nguồn hydrocarbon thơm gây tổn hại đến sức khoẻ con người.
Trong thành phần của khói thuốc lá có chứa nhiều chất độc hại trong đó có benzene vì thế nơi có khói thuốc lá được xem là nơi có nguồn hydrocarbon thơm gây tổn hại đến sức khoẻ con người.
- Một số hydrocarbon thơm thường có trong không khí ở các khu vực có trạm xăng dầu, khu vực có nhiều xe cơ giới qua lại, nơi có khói thuốc lá, … là benzene, toluene, xylene, …
III. Tính chất hoá học
Thí nghiệm 1 trang 95 Hóa học 11
Nitro hoá benzene
Quan sát video thí nghiệm sau: Cho từ từ 2 mL dung dịch sulfuric acid đặc vào ống nghiệm đã chứa sẵn 1,5 mL dung dịch nitric acid đặc và làm lạnh trong chậu nước đá để tạo hỗn hợp nitro hóa. Nhỏ tiếp từ từ 1 mL benzene vào ống nghiệm và lắc ống nghiệm trong 6 đến 10 phút. Sau đó, rót từ từ hỗn hợp trong ống nghiệm vào cốc chứa 20 đến 30 ml nước lạnh (khoảng 0 °C - 10 °C). Dùng đũa thuỷ tinh khuấy đều hỗn hợp rồi để yên. Quan sát màu của chất lỏng ở đáy cốc.
Viết phương trình phản ứng hóa học đã xảy ra và cho biết nitrobenzene có tan trong nước không.
Lời giải:
Phương trình hoá học:

Nitrobenzene không tan trong nước.
Câu hỏi 1 trang 96 Hóa học 11
Trong Thí nghiệm 1, chất lỏng xuất hiện ở đáy cốc có phải là benzene không? Vì sao?
Lời giải:
Trong Thí nghiệm 1, chất lỏng xuất hiện ở đáy cốc không phải là benzene do benzene nhẹ hơn nước. Chất lỏng này là nitrobenzene.
Thí nghiệm 2 trang 96 Hóa học 11
Chlorine hoá benzene
Theo dõi mô tả thí nghiệm sau.
Cho 5 mL benzene vào bình tam giác 150 mL, sau đó dẫn một lượng nhỏ khí chlorine vào bình. Đậy kín nắp bình rồi đưa ra ngoài ánh nắng. Trong bình xuất hiện khói trắng và trên thành bình thấy xuất hiện một lớp bột 1,2,3,4,5,6-hexachlorocyclohexane màu trắng.
Viết phương trình hoá học xảy ra và cho biết phản ứng chlorine hoá benzene xảy ra thuận lợi trong điều kiện nào? Vì sao hiện nay 1,2,3,4,5,6-hexachlorocyclohexane không còn được sử dụng là thuốc trừ sâu trong nông nghiệp?
Lời giải:
Phương trình hoá học:

Phản ứng chlorine hoá benzene xảy ra thuận lợi trong điều kiện chiếu sáng.
Hiện nay 1,2,3,4,5,6-hexachlorocyclohexane không còn được sử dụng là thuốc trừ sâu trong nông nghiệp do chất này có độc tính đối với sâu bọ, côn trùng và với cả người, chim, thú; là tác nhân gây ung thư, suy gan, suy thận.
Câu hỏi 2 trang 96 Hóa học 11
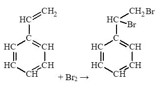
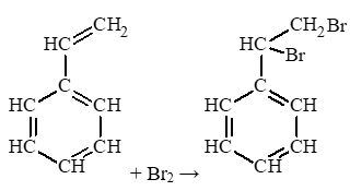
Nhỏ từ từ nước bromine vào ống nghiệm chứa styrene, lắc đều rồi để yên ống nghiệm. Dự đoán hiện tượng xảy ra. Giải thích.
Lời giải:
- Hiện tượng: Dung dịch bromine nhạt dần đến mất màu.
- Phương trình hoá học:

Giải thích:
Cấu tạo phân tử styrene có đặc điểm giống etylene và có đặc điểm giống benzene, do đó có thể dự đoán styrene vừa có tính chất giống alkene, vừa có tính chất giống benzene. Do đó styrene có thể làm mất màu dung dịch bromine ngay điều kiện thường.
Thí nghiệm 3 trang 97 Hóa học 11
Oxi hoá toluene bằng potassium permanganate
Chuẩn bị: Benzene, toluene, dung dịch KMnO4 0,1M; ống nghiệm, kẹp ống nghiệm, đèn cồn.
Tiến hành: Cho vào hai ống nghiệm, mỗi ống khoảng 2 mL dung dịch KMnO4 0,1M. Thêm vào ống nghiệm thứ nhất khoảng 1 mL toluene và vào ống nghiệm thứ hai khoảng 1 mL benzene. Lắc đều các ống nghiệm, sau đó dùng kẹp ống nghiệm kẹp các ống nghiệm rồi lần lượt đun nóng các ống nghiệm trên ngọn lửa đèn cồn trong khoảng 3 phút (vừa đun vừa lắc đều).
Yêu cầu: Quan sát, nhận xét hiện tượng xảy ra; viết phương trình phản ứng (nếu có) để giải thích.
Chú ý an toàn: Benzene và toluene có tính độc.
Lời giải:
- Hiện tượng:
+ Benzene không làm mất màu dung dịch KMnO4 kể cả ở điều kiện thường và khi đun nóng.
+ Toluene không làm mất màu dung dịch KMnO4 ở điều kiện thường, nhưng làm mất màu dung dịch KMnO4 khi đun nóng.
- Phương trình hoá học:

- Giải thích: Mạch nhánh alkyl ở vòng benzene có nhiều tính chất tương tự như hydrocarbon mạch hở. Tuy nhiên, do ảnh hưởng của vòng benzene, mạch nhánh alkyl thường bị gãy mạch ở nguyên tử carbon liên kết trực tiếp với vòng thơm khi tương tác với chất oxi hoá mạnh.
Vận dụng 3 trang 97 Hóa học 11
Benzoic acid là một chất phụ gia được dùng để bảo quản thực phẩm. Để điều chế benzoic acid từ toluene, người ta khuấy và đun sôi toluene với lượng dư dung dịch potassium permanganate trong bình cầu có lắp ống sinh hàn. Sau khi kết thúc phản ứng, vừa lắc vừa thêm từnglượng nhỏ oxalic acid đến khi mất màu tím; lọc bỏ chất rắn, cô đặc phần dung dịch lọc rồi acid hoábằng hydrochloric acid.
Lọc lấy chất rắn, kết tinh lại bằng nước để có sản phẩm sạch.
Cho biết mục đích của các thao tác thực nghiệm (ghi chữ đậm) trong quy trình trên. Nếu hiệu suất của quá trình tổng hợp là 80% thì cần bao nhiêu kg toluene để điều chế được 5 kg benzoic acid?
Lời giải:
- Mục đích của các thao tác:
+ Khuấy và đun sôi: tăng hiệu suất phản ứng.
+ Lọc bỏ chất rắn, cô đặc: loại bỏ tạp chất MnO2, thu dung dịch muối bão hoà.
+ Acid hoá: tạo benzoic acid.
+ Lọc lấy chất rắn, kết tinh lại: thu sản phẩm tinh khiết.
- Ta có sơ đồ:
C6H5CH3 → C6H5COOH

Bài tập (trang 99)
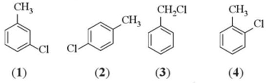
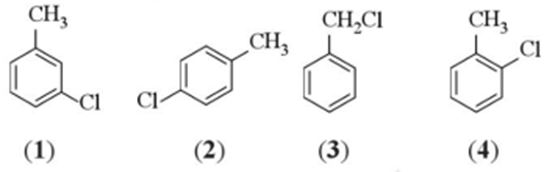
1. Bài 1 trang 99 Hóa học 11
Cho các chất có công thức sau:

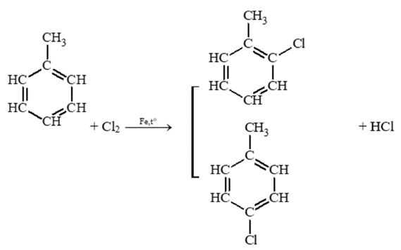
Trong các chất trên, những chất là sản phẩm chính khi cho toluen tác dụng với chlorine trong điều kiện đun nóng và có mặt FeCl3 là
A. (1) và (2).
B. (2) và (3).
C. (1) và (4).
D. (2) và (4).
Lời giải:
Đáp án đúng là: D
Phản ứng thế nguyên tử H ở vòng thơm của toluene ưu tiên xảy ra ở các vị trí ortho và para so với nhóm alkyl.
2. Bài 2 trang 99 Hóa học 11
Toluene và xylene được dùng làm dung môi hoà tan sơn, mực in,... Trong trường hợp hoạ sĩ muốn tranh chậm khô hơn để giữ được độ bóng, mịn của màu sơn thì nên pha sơn bằng toluene hay xylene sẽ cho kết quả tốt hơn? Giải thích.
Lời giải:
Trong trường hợp hoạ sĩ muốn tranh chậm khô hơn để giữ được độ bóng, mịn của màu sơn thì nên pha sơn bằng xylene do xylene khó bay hơi hơn toluene nên làm tranh chậm khô hơn.
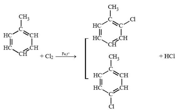
3. Bài 3 trang 99 Hóa học 11
Theo Data Bridge Market Research, trong giai đoạn 2021 – 2028, tốc độ tăng trưởng thương mại của chlorotoluene (bao gồm các đồng phân khác nhau) vào khoảng 6,2% hằng năm và đạt đến 3 654,7 triệu USD vào năm 2028. Chlorotoluene được sử dụng trong các lĩnh vực hoá dược, hoá nông, polymer, dệt,... và được điều chế bằng phản ứng giữa chlorine và toluene. Viết phương trình hoá học và nêu rõ điều kiện của phản ứng trên.
Lời giải:
Phương trình hoá học:

Điều kiện của phản ứng: có mặt bột Fe, đun nóng.
4. Bài 4 trang 99 Hóa học 11
Trình bày phương pháp hoá học để phân biệt các chất benzene, toluene, styrene.
Lời giải:
Đánh số thứ tự từng lọ mất nhãn, trích mỗi lọ một ít sang ống nghiệm đánh số tương ứng.
Cho lần lượt từng mẫu thử tác dụng với dung dịch KMnO4 ở điều kiện thường.
- Dung dịch KMnO4 bị mất màu → styrene.
2KMnO4 + 3C6H5 – CH = CH2 + 4H2O → 3C6H5 – CHOH – CH2OH + 2MnO2 + 2KOH.
- Dung dịch không làm mất màu dung dịch KMnO4 ở điều kiện thường: benzene; toluene. Tiếp tục đun nóng các ống nghiệm.
+ Dung dịch làm mất màu dung dịch KMnO4 khi đun nóng → toluene.
C6H5 – CH3 + 2KMnO4
\(\overset{t^{o} }{\rightarrow}\) C6H5 – COOK + 2MnO2 + KOH + H2O
+ Dung dịch không làm mất màu dung dịch KMnO4 kể cả khi đun nóng → benzene.
5. Bài 5 trang 99 Hóa học 11
Terephthalic acid (p-HOOCC6H4COOH) là nguyên liệu để sản xuất poly(ethylene terephthalate) (PET, loại polymer quan trọng, được sử dụng làm sợi dệt và chai nhựa,...). Viết phương trình hoá học của phản ứng điều chế terephthalic acid từ p-xylene.
Lời giải:

6. Bài 6 trang 99 Hóa học 11
2,4,6-trinitrotoluene dùng để sản xuất thuốc nổ TNT.
a) Viết phương trình hoá học của phản ứng điều chế 2,4,6-trinitrotoluene từ toluene và nitric acid (xúc tác sulfuric acid).
b) Từ 1 tấn toluene điều chế được bao nhiêu kg 2,4,6-trinitrotoluene, biết hiệu suất của phản ứng là 62%.
Lời giải:
a) Phương trình hoá học minh hoạ:

b) Ta có sơ đồ:
C6H5 – CH3 → C6H2(NO2)3CH3

-------------------
Trên đây VnDoc.com vừa gửi tới bạn đọc bài viết Hóa học 11 Cánh Diều bài 14. Hi vọng qua bài viết này bạn đọc có thêm tài liệu để học tập tốt hơn môn Hóa học 11 Cánh diều.