Ôn thi đại học: Nguyên hàm - tích phân
Luyện thi đại học môn toán
Loại File:
PDF
Phân loại:
Tài liệu Tính phí
Để chuẩn bị kiến thức ôn tập thật tốt cho kỳ thi đại học, cao đẳng sắp tới, VnDoc.com giới thiệu tới các bạn tài liệu ôn thi đại học: Nguyên hàm - tích phân .Tài liệu này tổng hợp các công thức cơ bản về nguyên hàm, tích phân để các bạn nắm được chi tiết và cụ thể hơn.
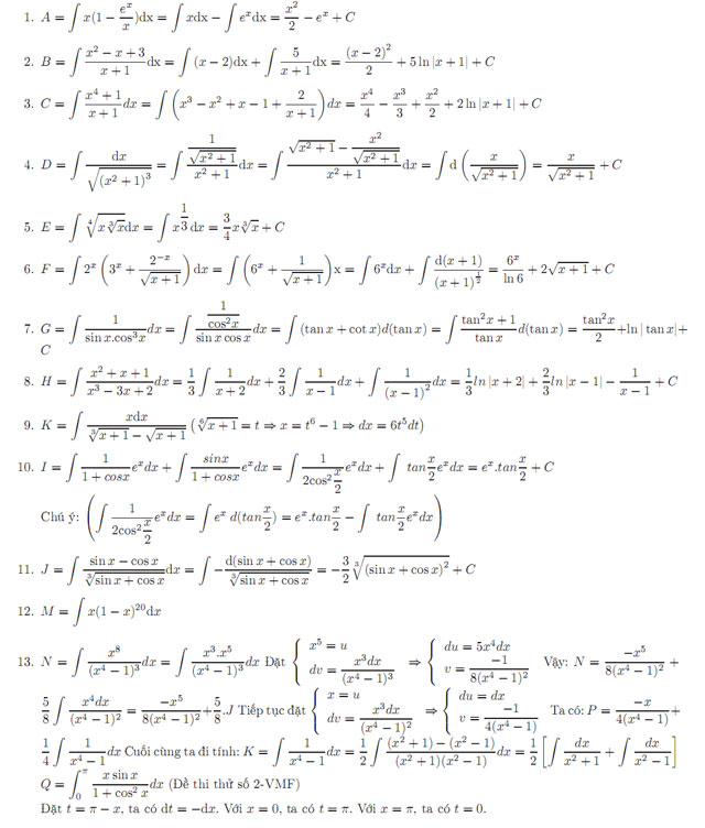
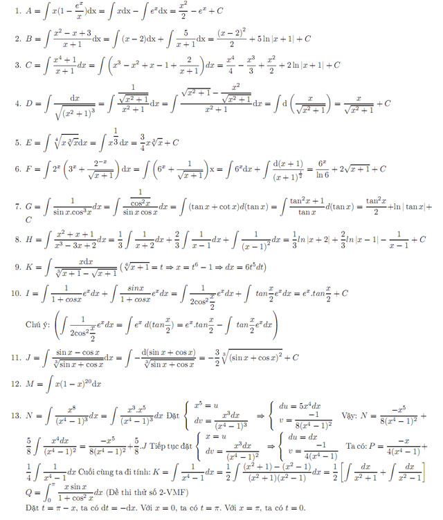
CÔNG THỨC NGUYÊN HÀM - TÍCH PHÂN
NGUYÊN HÀM - TÍCH PHÂN ÔN THI ĐẠI HỌC
Phần 1: Nguyên hàm
Tìm nguyên hàm của các hàm số
