1
Cơ năng đàn hồi của hệ vật và lò xo:VnDoc mời Bài tập Các định luật bảo toàn dạng 5 thuộc chuyên đề Vật lý 10 hỗ trợ học sinh trong quá trình học tập Lý 10 đạt kết quả cao.
Điểm khả dụng: 0 điểm
Bạn sẽ dùng 50 điểm để đổi lấy 1 lượt làm bài.
Bạn không đủ điểm để đổi.
1
Cơ năng đàn hồi của hệ vật và lò xo:2
Chọn đáp án đúng: Cơ năng là:3
Cơ năng là đại lượng:4
Trong quá trình rơi tự do của một vật thì:5
Một vật được ném thẳng đứng từ dưới lên, trong quá trình chuyển động của vật thì:6
Cơ năng đàn hồi là một đại lượng7
Một vật nhỏ được ném lên từ một điểm M phía trên mặt đất, vật lên tới điểm N thì dừng và rơi xuống. Bỏ qua sức cản không khí. Trong quá trình MN thì:8
So sánh không đúng giữa thế năng hấp dẫn với thế năng đàn hồi
9
Điều nào sau đây là sai khi nói về cơ năng?10
Một vật nhỏ được ném thẳng đứng hướng xuống từ một điểm phía trên mặt đất. Trong quá trình vật rơi:
11
Cơ năng của một vật có khối lượng 2kg rơi từ độ cao 5m xuống mặt đất là:Vì cơ năng của hệ được bảo toàn nên cơ năng bằng thế năng lúc ban đầu, hay:
W = W( t = 0 ) = Wđ + Wt = mgh = 100 J.
12
Một vật được ném thẳng đứng lên cao với vận tốc 6 m/s. Lấy g = 10 m/s2. Tính độ cao cực đại của nó.
Khi vật lên đến độc cao cực đại thì v = 0.
Định luật bảo toàn cơ năng cho 2 vị trí bắt đâu ném vật và độ cao cực đại:
W1 = W2 ⇔ Wđ1 + Wt1 = Wđ2 + Wt2.
13
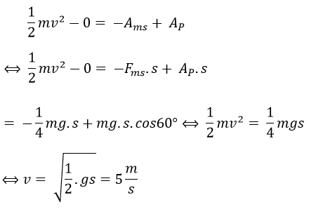
Một vật m trượt không vận tốc ban đầu từ đỉnh xuống chân một mặt phẳng nghiêng có chiều dài 5 m, và nghiêng một góc 30° so với mặt phẳng ngang. Lực ma sát giữa vật và mặt phẳng nghiêng có độ lớn bằng một phần tư trọng lượng của vật. Lấy g = 10 m/s2. Vận tốc của vật ở chân mặt phẳng nghiêng có độ lớn là
Áp định lí biến thiên động năng cho 2 vị trí vật bắt đầu chuyển động và khi vật dừng lại, ta có:
14
Một vật nhỏ m thả không vận tốc ban đầu từ H trượt không ma sát theo mặt uốn như hình vẽ. Để vật có thể trượt tới điểm P trên vành tròn thì phải thỏa mãn điều kiện nào sau đây?

15
Một vận động viên nặng 650 N nhảy với vận tốc ban đầu v0 = 2 m/s từ cầu nhảy ở độ cao 10 m xuống nước theo hướng thẳng đứng xuống dưới. Lấy g = 10 m/s2, sau khi chạm nước người đó chuyển động thêm một độ dời 3 m trong nước theo phương thẳng đứng thì dừng. Độ biến thiên cơ năng của người đó là:
Chọn gốc thế năng tại mặt phân cách giữa nước và không khí.
Cơ năng của người lúc bắt đầu nhảy là:
Wtrước = mgh + (1/2) m.v02 = 6630 J.
Tại vị trí dừng lại, có tọa độ là h’ = -3 m.
Cơ năng lúc người đó dừng lại là:
Wsau = - mgh' = -1950 J
Độ biến thiên cơ năng: ΔW = Wsau - Wtrước = - 8580 J.
Đang tải...
Theo Nghị định 147/2024/ND-CP, bạn cần xác thực tài khoản trước khi sử dụng tính năng này. Chúng tôi sẽ gửi mã xác thực qua SMS hoặc Zalo tới số điện thoại mà bạn nhập dưới đây: