1
Dạng năng lượng tương tác giữa trái đất và vật là:Bài tập Các định luật bảo toàn dạng 4 gồm các câu hỏi và bài tập trắc nghiệm về thế năng thuộc chuyên đề Vật lý 10 hỗ trợ quá trình học tập Lý 10 đạt kết quả cao.
Điểm khả dụng: 0 điểm
Bạn sẽ dùng 50 điểm để đổi lấy 1 lượt làm bài.
Bạn không đủ điểm để đổi.
1
Dạng năng lượng tương tác giữa trái đất và vật là:2
Một vật nằm yên có thể có:3
Biểu thức nào sau đây không phải biểu thức của thế năng?
4
Thế năng của một vật không phụ thuộc vào (xét vật rơi trong trọng trường):
5
Một lò xo có độ cứng k, bị kéo giãn ra một đoạn x. Thế năng đàn hồi lò xo được tính bằng biểu thức:
6
Thế năng đàn hồi của lò xo khi lò xo nén lại một đoạn ( < 0 ) là:

7
So sánh không đúng giữa thế năng hấp dẫn với thế năng đàn hồi?8
Một vật đang chuyển động có thể không có:9
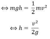
Một vật m được ném thẳng đứng lên cao với vận tốc v từ mặt đất. Gia tốc rơi tự do là g, bỏ qua sức cản không khí. Khi vật có động năng bằng thế năng thì nó ở độ cao so với mặt đất là:

Vị trí động năng bằng thế năng: Wđ = Wt
10
Thế năng hấp dẫn là đại lượng:11
Một lò xo bị nén 5 cm. Biết độ cứng lò xo k = 100 N/m, thế năng của lò xo là:12
Thế năng của vật nặng 2kg ở đáy 1 giếng sâu 10m so với mặt đất tại nơi có gia tốc g=10 m/s2 là bao nhiêu?
13
Một lò xo có độ cứng 100 N/m, một đầu cố định, đầu kia gắn với vặt nhỏ. Khi lò xo bị nén 4 cm thì thế năng đàn hồi của hệ là:
14
Một vật có khối lượng m được ném thẳng đứng lên cao từ mặt đất với vận tốc 7 m/s. Bỏ qua sức cản của không khí. Lấy g = 10 m/s2. Vật đạt được độ cao cực đại so với mặt đất là:
15
Một lò xo bị giãn 4 cm, có thế năng đàn hồi 0,2 J. Độ cứng của lò xo là:
Đang tải...
Theo Nghị định 147/2024/ND-CP, bạn cần xác thực tài khoản trước khi sử dụng tính năng này. Chúng tôi sẽ gửi mã xác thực qua SMS hoặc Zalo tới số điện thoại mà bạn nhập dưới đây: