Giao diện mới của VnDoc Pro: Dễ sử dụng hơn - chỉ tập trung vào lớp bạn quan tâm. Vui lòng chọn lớp mà bạn quan tâm: Lưu và trải nghiệm
Đóng
Điểm danh hàng ngày
  • Hôm nay +3
  • Ngày 2 +3
  • Ngày 3 +3
  • Ngày 4 +3
  • Ngày 5 +3
  • Ngày 6 +3
  • Ngày 7 +5
Bạn đã điểm danh Hôm nay và nhận 3 điểm!
Nhắn tin Zalo VNDOC để nhận tư vấn mua gói Thành viên hoặc tải tài liệu Hotline hỗ trợ: 0936 120 169

Câu hỏi trắc nghiệm môn Vật lý lớp 8 - Phần 2

Đóng
Bạn đã dùng hết 1 lần làm bài Trắc nghiệm miễn phí. Mời bạn mua tài khoản VnDoc PRO để tiếp tục! Tìm hiểu thêm
Mô tả thêm:

Trắc nghiệm môn Vật lý 8

VnDoc xin giới thiệu tới các bạn bộ câu hỏi trắc nghiệm môn Vật lý lớp 8 - Phần 2 với những câu hỏi được xây dựng khoa học và sưu tầm từ nhiều nguồn tài liệu chất lượng, cung cấp cho học sinh tài liệu ôn tập kiến thức trọng tâm của bài cũng như nâng cao khả năng.

Câu hỏi trắc nghiệm Vật lý 8 bài: Lực ma sát - Phần 1

Câu hỏi trắc nghiệm môn Vật lý lớp 8 - Phần 1

Câu hỏi trắc nghiệm môn Vật lý lớp 8 - Phần 3

  • Số câu hỏi: 10 câu
  • Số điểm tối đa: 10 điểm
Bắt đầu làm bài
Bạn còn 1 lượt làm bài tập miễn phí. Hãy mua tài khoản VnDoc PRO để học không giới hạn nhé! Bạn đã HẾT lượt làm bài tập miễn phí! Hãy mua tài khoản VnDoc PRO để làm Trắc nghiệm không giới hạn và tải tài liệu nhanh nhé!
Mua ngay Đổi điểm
Trước khi làm bài bạn hãy
  • 1 Ôn tập kiến thức đã nêu trong phần Mô tả thêm
  • 2 Tìm không gian và thiết bị phù hợp để tập trung làm bài
  • 3 Chuẩn bị sẵn dụng cụ cần dùng khi làm bài như bút, nháp, máy tính
  • 4 Căn chỉnh thời gian làm từng câu một cách hợp lý
  • Câu 1: Nhận biết

    Câu 1:

    Một người đi xe máy trong 6 phút được quãng đường 4 km. Trong các kết quả vận tốc sau kết quả nào sai?
  • Câu 2: Nhận biết

    Câu 2:

    Một người đi quãng đường dài 1,5 km với vận tốc 10m/s. Thời gian để người đó đi hết quãng đường là
  • Câu 3: Nhận biết

    Câu 3:

    Một người đi xe máy với vận tốc 12m/s trong thời gian 20 phút. Quãng đường người đó đi được là
  • Câu 4: Nhận biết

    Câu 4:

    Chuyển động của vật nào sau đây được coi là đều?
  • Câu 5: Nhận biết

    Câu 5:

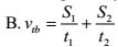
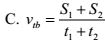
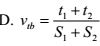
    Một người đi được quãng đường S1 hết thời gian t1 giây, đi quãng đường S2 hết thời gian t2 giây. Vận tốc trung bình của người này trên cả 2 quãng đường S1 và S2 là:
  • Câu 6: Nhận biết

    Câu 6:

    Một người đi bộ đi đều trên đoạn đường đầu dài 2 km với vận tốc 2 m/s, đoạn đường sau dài 2,2 km người đó đi hết 0,5 giờ. Vận tốc trung bình của người đó trên cả đoạn đường là
  • Câu 7: Nhận biết

    Câu 7:

    Một người đi xe máy từ A đến B. Trên đoạn đường đầu người đó đi hết 15 phút. Đoạn đường còn lại người đó đi trong thời gian 30 phút với vận tốc 12m/s. Hỏi đoạn đường dầu dài bao nhiêu? Biết vận tốc trung bình của người đó trên cả quãng đường AB là 36km/h. Hãy chọn câu trả lời đúng.
  • Câu 8: Nhận biết

    Câu 8:

    Một viên bi chuyển động trên một máng nghiêng dài 40cm mất 2s rồi tiếp tục chuyển động trên đoạn đường nằm ngang dài 30cm mất 5s. Vận tốc trung bình của viên bi trên cả 2 đoạn đường là
  • Câu 9: Nhận biết

    Câu 9:

    Một vật chuyển động trong nửa thời gian đầu đi với vận tốc 40 km/h; nửa thời gian sau đi với vận tốc 30 km/h. Vận tốc trung bình của vật trong suốt quá trình chuyển động là
  • Câu 10: Nhận biết

    Câu 10:

    Muốn biểu diễn một véc tơ lực chúng ta cần phải biết các yếu tố

Chúc mừng Bạn đã hoàn thành bài!

Câu hỏi trắc nghiệm môn Vật lý lớp 8 - Phần 2 Kết quả
  • Thời gian làm bài: 00:00:00
  • Số câu đã làm: 0
  • Điểm tạm tính: 0
  • Điểm thưởng: 0

Đấu trường Câu hỏi trắc nghiệm môn Vật lý lớp 8 - Phần 2

Đang tìm đối thủ...

Đang tải...

Xác thực tài khoản!

Theo Nghị định 147/2024/ND-CP, bạn cần xác thực tài khoản trước khi sử dụng tính năng này. Chúng tôi sẽ gửi mã xác thực qua SMS hoặc Zalo tới số điện thoại mà bạn nhập dưới đây:

Số điện thoại chưa đúng định dạng!
Số điện thoại này đã được xác thực!
Bạn có thể dùng Sđt này đăng nhập tại đây!
Lỗi gửi SMS, liên hệ Admin
Sắp xếp theo