1
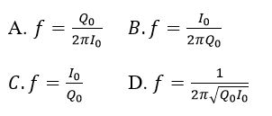
Trong mạch dao động điện từ LC, điện tích cực đại của bản tụ điện là Qo, cường độ dòng điện cực đại là Io. Tần số dao động điện từ tụ do trong mạch làCâu 1: Trong mạch dao động điện từ LC, điện tích cực đại của bản tụ điện là Qo, cường độ dòng điện cực đại là Io. Tần số dao động điện từ tụ do trong mạch là
