Giao diện mới của VnDoc Pro: Dễ sử dụng hơn - chỉ tập trung vào lớp bạn quan tâm. Vui lòng chọn lớp mà bạn quan tâm: Lưu và trải nghiệm
Đóng
Điểm danh hàng ngày
  • Hôm nay +3
  • Ngày 2 +3
  • Ngày 3 +3
  • Ngày 4 +3
  • Ngày 5 +3
  • Ngày 6 +3
  • Ngày 7 +5
Bạn đã điểm danh Hôm nay và nhận 3 điểm!
Nhắn tin Zalo VNDOC để nhận tư vấn mua gói Thành viên hoặc tải tài liệu Hotline hỗ trợ: 0936 120 169

Đề kiểm tra chương 3 môn Đại số lớp 9

Đóng
Bạn đã dùng hết 1 lần làm bài Trắc nghiệm miễn phí. Mời bạn mua tài khoản VnDoc PRO để tiếp tục! Tìm hiểu thêm
Mô tả thêm:

Đề kiểm tra môn Toán lớp 9 có đáp án

Đề kiểm tra chương 3 môn Đại số lớp 9 là một bài test nhỏ nhằm giúp các bạn học sinh lớp 9 củng cố lại kiến thức trong chương 3 môn Đại số qua các câu hỏi về phương trình và hệ phương trình. Ngoài cung cấp lời giải bài tập Toán 9 và soạn văn 9, VnDoc mời bạn tham gia làm bài để rèn luyện kĩ năng giải toán và nắm vững kiến thức bài học nhé! Chúc các bạn học tốt!

  • Số câu hỏi: 10 câu
  • Số điểm tối đa: 10 điểm
Bắt đầu làm bài
Bạn còn 1 lượt làm bài tập miễn phí. Hãy mua tài khoản VnDoc PRO để học không giới hạn nhé! Bạn đã HẾT lượt làm bài tập miễn phí! Hãy mua tài khoản VnDoc PRO để làm Trắc nghiệm không giới hạn và tải tài liệu nhanh nhé!
Mua ngay Đổi điểm
Trước khi làm bài bạn hãy
  • 1 Ôn tập kiến thức đã nêu trong phần Mô tả thêm
  • 2 Tìm không gian và thiết bị phù hợp để tập trung làm bài
  • 3 Chuẩn bị sẵn dụng cụ cần dùng khi làm bài như bút, nháp, máy tính
  • 4 Căn chỉnh thời gian làm từng câu một cách hợp lý
  • Câu 1: Nhận biết

    Câu 1:

    Phương trình nào sau đây là phương trình bậc nhất hai ẩn?
  • Câu 2: Nhận biết

    Câu 2:

    Phương trình bậc nhất hai ẩn ax + by + c = 0 có bao nhiêu nghiệm?
  • Câu 3: Nhận biết

    Câu 3:

    Hệ phương trình  có bao nhiêu nghiệm?
  • Câu 4: Nhận biết

    Câu 4:

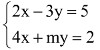
    Hệ phương trình  vô nghiệm khi:
  • Câu 5: Nhận biết

    Câu 5:

    Giải bài toán bằng cách lập hệ phương trình gồm:
  • Câu 6: Nhận biết
    Câu 6:

    Điền từ thích hợp vào chỗ chấm.

    Hệ phương trình với   có ............. nghiệm.

    vô số nghiệm||vô số
    Đáp án là:
    Câu 6:

    Điền từ thích hợp vào chỗ chấm.

    Hệ phương trình với   có ............. nghiệm.

    vô số nghiệm||vô số
  • Câu 7: Nhận biết
    Câu 7: Chỉ ra hai cặp số là nghiệm của phương trình: 2x - 3y = 1
    Trả lời:
    Hai cặp số là nghiệm của phương trình là: (........); (.......)(2; 1); (5; 3)
    Đáp án là:
    Câu 7: Chỉ ra hai cặp số là nghiệm của phương trình: 2x - 3y = 1
    Trả lời:
    Hai cặp số là nghiệm của phương trình là: (........); (.......)(2; 1); (5; 3)
  • Câu 8: Nhận biết
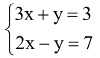
    Câu 8: Giải hệ phương trình sau: 
    Trả lời:
    Cặp nghiệm (x; y) của hệ phương trình là: (........)2; -3
    Nhập các phần tử theo thứ tự, ngăn cách nhau bởi dấu ";"
    Đáp án là:
    Câu 8: Giải hệ phương trình sau: 
    Trả lời:
    Cặp nghiệm (x; y) của hệ phương trình là: (........)2; -3
  • Câu 9: Nhận biết
    Câu 9: Mai và Lan cùng đi chợ mua cam và táo. Mai mua 5kg cam và 5kg táo hết 10.000 đồng. Lan mua 3kg cam và 7kg táo chỉ hết 9.600 đồng (giá cam và táo là không đổi). Hỏi giá cam và táo là bao nhiêu?
    Trả lời:
    Giá cam là: ............ đồng/kg
    Giá táo là: .............. đồng/kg1100; 900
    Nhập các giá trị theo thứ tự, ngăn cách nhau bởi dấu ";"
    Đáp án là:
    Câu 9: Mai và Lan cùng đi chợ mua cam và táo. Mai mua 5kg cam và 5kg táo hết 10.000 đồng. Lan mua 3kg cam và 7kg táo chỉ hết 9.600 đồng (giá cam và táo là không đổi). Hỏi giá cam và táo là bao nhiêu?
    Trả lời:
    Giá cam là: ............ đồng/kg
    Giá táo là: .............. đồng/kg1100; 900
  • Câu 10: Nhận biết
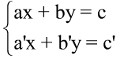
    Câu 10: Cho hệ phương trình: 
    Xác định giá trị của m để (xo; yo) của hệ phương trình (I) thỏa mãn điều kiện x+ yo = 1
    Trả lời:
    Giá trị của m là: ............-11
    Đáp án là:
    Câu 10: Cho hệ phương trình: 
    Xác định giá trị của m để (xo; yo) của hệ phương trình (I) thỏa mãn điều kiện x+ yo = 1
    Trả lời:
    Giá trị của m là: ............-11

Chúc mừng Bạn đã hoàn thành bài!

Đề kiểm tra chương 3 môn Đại số lớp 9 Kết quả
  • Thời gian làm bài: 00:00:00
  • Số câu đã làm: 0
  • Điểm tạm tính: 0
  • Điểm thưởng: 0

Đấu trường Đề kiểm tra chương 3 môn Đại số lớp 9

Đang tìm đối thủ...

Đang tải...

Xác thực tài khoản!

Theo Nghị định 147/2024/ND-CP, bạn cần xác thực tài khoản trước khi sử dụng tính năng này. Chúng tôi sẽ gửi mã xác thực qua SMS hoặc Zalo tới số điện thoại mà bạn nhập dưới đây:

Số điện thoại chưa đúng định dạng!
Số điện thoại này đã được xác thực!
Bạn có thể dùng Sđt này đăng nhập tại đây!
Lỗi gửi SMS, liên hệ Admin
Sắp xếp theo