Giao diện mới của VnDoc Pro: Dễ sử dụng hơn - chỉ tập trung vào lớp bạn quan tâm. Vui lòng chọn lớp mà bạn quan tâm: Lưu và trải nghiệm
Đóng
Điểm danh hàng ngày
  • Hôm nay +3
  • Ngày 2 +3
  • Ngày 3 +3
  • Ngày 4 +3
  • Ngày 5 +3
  • Ngày 6 +3
  • Ngày 7 +5
Bạn đã điểm danh Hôm nay và nhận 3 điểm!
Nhắn tin Zalo VNDOC để nhận tư vấn mua gói Thành viên hoặc tải tài liệu Hotline hỗ trợ: 0936 120 169

Đề kiểm tra cuối kì 1 môn Toán lớp 8

Đóng
Bạn đã dùng hết 1 lần làm bài Trắc nghiệm miễn phí. Mời bạn mua tài khoản VnDoc PRO để tiếp tục! Tìm hiểu thêm
Mô tả thêm:

Đề kiểm tra cuối kì 1 môn Toán lớp 8 

Để chuẩn bị thật tốt cho kì thi cuối kì 1 sắp tới, mời các bạn tham gia làm bài test Đề kiểm tra cuối kì 1 môn Toán lớp 8 trên trang VnDoc.com. Bài test gồm 12 câu hỏi tổng hợp cả kiến thức môn Đại số và Hình học trong học kì 1 sẽ giúp các bạn ôn luyện và hệ thống kiến thức, sẵn sàng cho kì thi và kiểm tra cuối kì 1. Chúc các bạn thi tốt!

Tải đề thi học kì 1 lớp 8 môn Toán, Văn, Anh miễn phí

  • Số câu hỏi: 12 câu
  • Số điểm tối đa: 12 điểm
Bắt đầu làm bài
Bạn còn 1 lượt làm bài tập miễn phí. Hãy mua tài khoản VnDoc PRO để học không giới hạn nhé! Bạn đã HẾT lượt làm bài tập miễn phí! Hãy mua tài khoản VnDoc PRO để làm Trắc nghiệm không giới hạn và tải tài liệu nhanh nhé!
Mua ngay Đổi điểm
Trước khi làm bài bạn hãy
  • 1 Ôn tập kiến thức đã nêu trong phần Mô tả thêm
  • 2 Tìm không gian và thiết bị phù hợp để tập trung làm bài
  • 3 Chuẩn bị sẵn dụng cụ cần dùng khi làm bài như bút, nháp, máy tính
  • 4 Căn chỉnh thời gian làm từng câu một cách hợp lý
  • Câu 1: Nhận biết

    Câu 1:

    Giá trị x thoả mãn x2 + 16 = 8x là:
  • Câu 2: Nhận biết

    Câu 2:

    Kết quả của phép tính 15x2y2z : (3xyz) là:
  • Câu 3: Nhận biết

    Câu 3:

    Kết quả phân tích đa thức 2x – 1 – x2 thành nhân tử là:
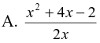
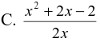
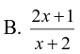
  • Câu 4: Nhận biết

    Câu 4:

  • Câu 5: Nhận biết

    Câu 5:

  • Câu 6: Nhận biết

    Câu 6:

  • Câu 7: Nhận biết

    Câu 7:

    Điều kiện xác định của phân thức (3x - 1)/(9x- 1) là:
  • Câu 8: Nhận biết

    Câu 8:

    Khẳng định nào sau đây là sai?
  • Câu 9: Nhận biết

    Câu 9:

    Cho tam giác ABC vuông tại A, AC = 3cm, BC = 5cm. Diện tích của tam giác ABC bằng:
  • Câu 10: Nhận biết

    Câu 10:

    Trong hình 2 biết ABCD là hình thang vuông, BMC là tam giác đều. Số đo của góc ABC là:
    đề thi ktra môn toán lớp 8
  • Câu 11: Nhận biết

    Câu 11:

    Độ dài hai đường chéo của một hình thoi bằng 4cm và 6cm. Độ dài cạnh hình thoi là:
  • Câu 12: Nhận biết

    Câu 12:

    Tứ giác có hai đường chéo cắt nhau tại trung điểm của mỗi đường là:

Chúc mừng Bạn đã hoàn thành bài!

Đề kiểm tra cuối kì 1 môn Toán lớp 8 Kết quả
  • Thời gian làm bài: 00:00:00
  • Số câu đã làm: 0
  • Điểm tạm tính: 0
  • Điểm thưởng: 0
Tải file làm trên giấy

Đấu trường Đề kiểm tra cuối kì 1 môn Toán lớp 8

Đang tìm đối thủ...

Đang tải...

Xác thực tài khoản!

Theo Nghị định 147/2024/ND-CP, bạn cần xác thực tài khoản trước khi sử dụng tính năng này. Chúng tôi sẽ gửi mã xác thực qua SMS hoặc Zalo tới số điện thoại mà bạn nhập dưới đây:

Số điện thoại chưa đúng định dạng!
Số điện thoại này đã được xác thực!
Bạn có thể dùng Sđt này đăng nhập tại đây!
Lỗi gửi SMS, liên hệ Admin
1 Bình luận
Sắp xếp theo
  • Uy Lê Danh
    Uy Lê Danh

    Câu 4 sai đáp án ạ

    Thích Phản hồi 06/01/22