Giao diện mới của VnDoc Pro: Dễ sử dụng hơn - chỉ tập trung vào lớp bạn quan tâm. Vui lòng chọn lớp mà bạn quan tâm: Lưu và trải nghiệm
Đóng
Điểm danh hàng ngày
  • Hôm nay +3
  • Ngày 2 +3
  • Ngày 3 +3
  • Ngày 4 +3
  • Ngày 5 +3
  • Ngày 6 +3
  • Ngày 7 +5
Bạn đã điểm danh Hôm nay và nhận 3 điểm!
Nhắn tin Zalo VNDOC để nhận tư vấn mua gói Thành viên hoặc tải tài liệu Hotline hỗ trợ: 0936 120 169

Đề thi cuối kì 1 môn Toán lớp 9 Phòng GD và ĐT Bảo Lộc

Đóng
Bạn đã dùng hết 1 lần làm bài Trắc nghiệm miễn phí. Mời bạn mua tài khoản VnDoc PRO để tiếp tục! Tìm hiểu thêm
Mô tả thêm:

Đề kiểm tra cuối kì 1 môn Toán lớp 9 có đáp án

Nhằm giúp các bạn học sinh lớp 9 có thêm tài liệu ôn tập môn Toán, đồng thời rèn luyện kĩ năng giải Toán VnDoc xin giới thiệu tới bạn đọc bài test Đề thi cuối kì 1 môn Toán lớp 9 Phòng GD và ĐT Bảo Lộc. Hi vọng bài test sẽ là một tài liệu bổ ích hỗ trợ cho việc học tập của các bạn đạt hiệu quả cao hơn. Chúc các bạn học tốt! 

  • Thời gian làm: 30 phút
  • Số câu hỏi: 9 câu
  • Số điểm tối đa: 10 điểm
Bắt đầu làm bài
Bạn còn 1 lượt làm bài tập miễn phí. Hãy mua tài khoản VnDoc PRO để học không giới hạn nhé! Bạn đã HẾT lượt làm bài tập miễn phí! Hãy mua tài khoản VnDoc PRO để làm Trắc nghiệm không giới hạn và tải tài liệu nhanh nhé!
Mua ngay Đổi điểm
Trước khi làm bài bạn hãy
  • 1 Ôn tập kiến thức đã nêu trong phần Mô tả thêm
  • 2 Tìm không gian và thiết bị phù hợp để tập trung làm bài
  • 3 Chuẩn bị sẵn dụng cụ cần dùng khi làm bài như bút, nháp, máy tính
  • 4 Căn chỉnh thời gian làm từng câu một cách hợp lý
  • Câu 1: Nhận biết

    Câu 1:

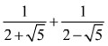
    Biểu thức  có giá trị bằng:
  • Câu 2: Nhận biết

    Câu 2:

    So sánh 2√3 và 3√2 ta được:
  • Câu 3: Nhận biết

    Câu 3:

    Biểu thức  có giá trị bằng:
  • Câu 4: Nhận biết

    Câu 4:

    Đồ thị hàm số y = -2x + 5 không đi qua điểm có tọa độ:
  • Câu 5: Nhận biết

    Câu 5:

    Hàm số nào sau đây là hàm số đồng biến?
  • Câu 6: Nhận biết

    Câu 6:

    Cho ΔABC vuông tại A biết cosB = √3/2.
    Góc C có số đo độ bằng:
  • Câu 7: Nhận biết

    Câu 7:

    Cho (O; R) biết R = 8cm. Một dây AB có độ dài bằng 6cm. Khoảng cách từ O đến AB bằng:
  • Câu 8: Nhận biết

    Câu 8:

    Đường tròn có bán kính bằng 5 thì dây cung có độ dài lớn nhất bằng:
  • Câu 9: Nhận biết
    Câu 9: Cho biểu thức: 
     
    Với x > 0; y > 0 và x ≠ y.
    Tính giá trị của biểu thức P với x = 3 và y = 4 + 2√3
    Trả lời:
    Giá trị của biểu thức P là: ..................1
    Đáp án là:
    Câu 9: Cho biểu thức: 
     
    Với x > 0; y > 0 và x ≠ y.
    Tính giá trị của biểu thức P với x = 3 và y = 4 + 2√3
    Trả lời:
    Giá trị của biểu thức P là: ..................1

Chúc mừng Bạn đã hoàn thành bài!

Đề thi cuối kì 1 môn Toán lớp 9 Phòng GD và ĐT Bảo Lộc Kết quả
  • Thời gian làm bài: 00:00:00
  • Số câu đã làm: 0
  • Điểm tạm tính: 0
  • Điểm thưởng: 0

Đấu trường Đề thi cuối kì 1 môn Toán lớp 9 Phòng GD và ĐT Bảo Lộc

Đang tìm đối thủ...

Đang tải...

Xác thực tài khoản!

Theo Nghị định 147/2024/ND-CP, bạn cần xác thực tài khoản trước khi sử dụng tính năng này. Chúng tôi sẽ gửi mã xác thực qua SMS hoặc Zalo tới số điện thoại mà bạn nhập dưới đây:

Số điện thoại chưa đúng định dạng!
Số điện thoại này đã được xác thực!
Bạn có thể dùng Sđt này đăng nhập tại đây!
Lỗi gửi SMS, liên hệ Admin
Sắp xếp theo