Giao diện mới của VnDoc Pro: Dễ sử dụng hơn - chỉ tập trung vào lớp bạn quan tâm. Vui lòng chọn lớp mà bạn quan tâm: Lưu và trải nghiệm
Đóng
Điểm danh hàng ngày
  • Hôm nay +3
  • Ngày 2 +3
  • Ngày 3 +3
  • Ngày 4 +3
  • Ngày 5 +3
  • Ngày 6 +3
  • Ngày 7 +5
Bạn đã điểm danh Hôm nay và nhận 3 điểm!
Nhắn tin Zalo VNDOC để nhận tư vấn mua gói Thành viên hoặc tải tài liệu Hotline hỗ trợ: 0936 120 169

Đề thi giữa học kì 2 môn Toán lớp 8 năm 2013 - 2014

Đóng
Bạn đã dùng hết 1 lần làm bài Trắc nghiệm miễn phí. Mời bạn mua tài khoản VnDoc PRO để tiếp tục! Tìm hiểu thêm
Mô tả thêm:

Đề kiểm tra giữa học kì 2 môn Toán lớp 8

Đề thi giữa học kì 2 môn Toán lớp 8 năm 2013 - 2014 là một bài thi mẫu trên trang VnDoc.com nhằm giúp các bạn học sinh lớp 8 ôn tập và chuẩn bị cho kì thi, kiểm tra giữa kì 2 sắp tới. Tham gia làm bài test để củng cố và hệ thống lại các dạng toán trong nửa đầu học kì 2 nhé!

  • Số câu hỏi: 10 câu
  • Số điểm tối đa: 10 điểm
Bắt đầu làm bài
Bạn còn 1 lượt làm bài tập miễn phí. Hãy mua tài khoản VnDoc PRO để học không giới hạn nhé! Bạn đã HẾT lượt làm bài tập miễn phí! Hãy mua tài khoản VnDoc PRO để làm Trắc nghiệm không giới hạn và tải tài liệu nhanh nhé!
Mua ngay Đổi điểm
Trước khi làm bài bạn hãy
  • 1 Ôn tập kiến thức đã nêu trong phần Mô tả thêm
  • 2 Tìm không gian và thiết bị phù hợp để tập trung làm bài
  • 3 Chuẩn bị sẵn dụng cụ cần dùng khi làm bài như bút, nháp, máy tính
  • 4 Căn chỉnh thời gian làm từng câu một cách hợp lý
  • Câu 1: Nhận biết

    Câu 1:

    Cho a > b, suy ra:
  • Câu 2: Nhận biết

    Câu 2:

    Phương trình x - 4 = 0 có tập hợp nghiệm là:
  • Câu 3: Nhận biết

    Câu 3:

    Bất phương trình x + 4 ≤ 0 có tập hợp nghiệm là:
  • Câu 4: Nhận biết

    Câu 4:

    Phương trình (x - 1)(x - 2) = 0 có tập nghiệm là:
  • Câu 5: Nhận biết

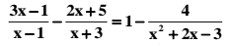
    Câu 5:

    Điều kiện xác định của phương trình:  là:
  • Câu 6: Nhận biết

    Câu 6:

    Nếu ΔM'N'P' đồng dạng với ΔDEF thì ta có:
  • Câu 7: Nhận biết

    Câu 7:

    ΔA'B'C' đồng dạng với ΔABC nếu:
  • Câu 8: Nhận biết

    Câu 8:

    Cho hình vẽ dưới, EF // BC nếu:
  • Câu 9: Nhận biết
    Câu 9: Giải phương trình (x - 1)(x + 2) = 0.
    Tập nghiệm của phương trình là: S = {........}-2; 1
    Nhập các phần tử theo giá trị tăng dần, ngăn cách nhau bởi dấu ";"
    Đáp án là:
    Câu 9: Giải phương trình (x - 1)(x + 2) = 0.
    Tập nghiệm của phương trình là: S = {........}-2; 1
  • Câu 10: Nhận biết
    Câu 10: Một xe máy đi từ thị xã A đến thị xã B với vận tốc 40km/h. Nhưng khi về người ấy đi với vận tốc 50km/h, nên thời gian về ít hơn thời gian đi 1 giờ. Tính khoảng cách hai thị xã A và B?
    Trả lời:
    Khoảng cách hai thị xã A và B là: ............. km.200
    Nhập các giá trị theo thứ tự tăng dần, ngăn cách nhau bởi dấu ";"
    Đáp án là:
    Câu 10: Một xe máy đi từ thị xã A đến thị xã B với vận tốc 40km/h. Nhưng khi về người ấy đi với vận tốc 50km/h, nên thời gian về ít hơn thời gian đi 1 giờ. Tính khoảng cách hai thị xã A và B?
    Trả lời:
    Khoảng cách hai thị xã A và B là: ............. km.200

Chúc mừng Bạn đã hoàn thành bài!

Đề thi giữa học kì 2 môn Toán lớp 8 năm 2013 - 2014 Kết quả
  • Thời gian làm bài: 00:00:00
  • Số câu đã làm: 0
  • Điểm tạm tính: 0
  • Điểm thưởng: 0
Tải file làm trên giấy

Đấu trường Đề thi giữa học kì 2 môn Toán lớp 8 năm 2013 - 2014

Đang tìm đối thủ...

Đang tải...

Xác thực tài khoản!

Theo Nghị định 147/2024/ND-CP, bạn cần xác thực tài khoản trước khi sử dụng tính năng này. Chúng tôi sẽ gửi mã xác thực qua SMS hoặc Zalo tới số điện thoại mà bạn nhập dưới đây:

Số điện thoại chưa đúng định dạng!
Số điện thoại này đã được xác thực!
Bạn có thể dùng Sđt này đăng nhập tại đây!
Lỗi gửi SMS, liên hệ Admin
1 Bình luận
Sắp xếp theo
  • Vyy Trần
    Vyy Trần

    😚


    Thích Phản hồi 30/03/25