Giao diện mới của VnDoc Pro: Dễ sử dụng hơn - chỉ tập trung vào lớp bạn quan tâm. Vui lòng chọn lớp mà bạn quan tâm: Lưu và trải nghiệm
Đóng
Điểm danh hàng ngày
  • Hôm nay +3
  • Ngày 2 +3
  • Ngày 3 +3
  • Ngày 4 +3
  • Ngày 5 +3
  • Ngày 6 +3
  • Ngày 7 +5
Bạn đã điểm danh Hôm nay và nhận 3 điểm!
Nhắn tin Zalo VNDOC để nhận tư vấn mua gói Thành viên hoặc tải tài liệu Hotline hỗ trợ: 0936 120 169

Đề thi giữa học kì 2 môn Vật lý lớp 10 trường THPT Lý Thái Tổ, Bắc Ninh năm học 2016 - 2017

Đóng
Bạn đã dùng hết 1 lần làm bài Trắc nghiệm miễn phí. Mời bạn mua tài khoản VnDoc PRO để tiếp tục! Tìm hiểu thêm
Mô tả thêm:

Đề thi giữa học kì 2 môn Vật lý lớp 10

Để nắm chắc các kiến thức đã học và rèn luyện kỹ năng làm bài, một trong những phương pháp đó là luyện đề. Với mong muốn mang đến cho các em học sinh những kiến thức và các dạng bài mới nhất, Vndoc luôn cập nhật và gửi tới các em nhanh nhất. Các em hãy ôn tập thật tốt với Đề thi giữa học kì 2 môn Vật lý lớp 10 trường THPT Lý Thái Tổ, Bắc Ninh năm học 2016 - 2017, chúc các em đạt kết quả cao!

Làm thêm: Đề thi giữa học kì 2 môn Lịch sử lớp 10 trường THPT Yên Lạc 2, Vĩnh Phúc năm học 2016 - 2017 - Đề 1

                 Đề thi học kì 2 môn Ngữ văn lớp 10 trường THPT Phan Chu Trinh, Ninh Thuận năm học 2015 - 2016

  • Thời gian làm: 50 phút
  • Số câu hỏi: 40 câu
  • Số điểm tối đa: 40 điểm
Bắt đầu làm bài
Bạn còn 1 lượt làm bài tập miễn phí. Hãy mua tài khoản VnDoc PRO để học không giới hạn nhé! Bạn đã HẾT lượt làm bài tập miễn phí! Hãy mua tài khoản VnDoc PRO để làm Trắc nghiệm không giới hạn và tải tài liệu nhanh nhé!
Mua ngay Đổi điểm
Trước khi làm bài bạn hãy
  • 1 Ôn tập kiến thức đã nêu trong phần Mô tả thêm
  • 2 Tìm không gian và thiết bị phù hợp để tập trung làm bài
  • 3 Chuẩn bị sẵn dụng cụ cần dùng khi làm bài như bút, nháp, máy tính
  • 4 Căn chỉnh thời gian làm từng câu một cách hợp lý
  • Câu 1: Nhận biết

    Câu 1:

    Trong các câu sau đây câu nào là sai? Động năng của vật không đổi khi vật
  • Câu 2: Nhận biết

    Câu 2:

    Chọn đáp án đúng. Cánh tay đòn của lực là 
  • Câu 3: Nhận biết

    Câu 3:

    Một con lắc đơn, vật nặng m gắn vào đầu sợi dây nhẹ dài l, đầu kia của sợi dây treo vào điểm cố định. Kéo con lắc lệch góc α0 so với phương thẳng đứng rồi thả nhẹ, biểu thức tính vận tốc cực đại của vật nặng trong quá trình dao động là
  • Câu 4: Nhận biết

    Câu 4:

    Một vật khối lượng 1,0 kg có thế năng 1,0 J đối với mặt đất. Lấy g = 9,8 m/s2. Khi đó, vật ở độ cao
  • Câu 5: Nhận biết

    Câu 5:

    Một vật có khối lượng 2,0kg lúc đầu đứng yên, chịu tác dụng của một lực 1,0N trong khoảng thời gian 2,0 giây. Quãng đường mà vật đi được trong khoảng thời gian đó là
  • Câu 6: Nhận biết

    Câu 6:

    Cặp "lực và phản lực" trong định luật III Niutơn
  • Câu 7: Nhận biết

    Câu 7:

  • Câu 8: Nhận biết

    Câu 8:

    Phương trình chuyển động của một chất điểm có dạng: x = 5+ 60t (x: km, t: h). Chất điểm đó xuất phát từ điểm nào và chuyển động với vận tốc bằng bao nhiêu?
  • Câu 9: Nhận biết

    Câu 9:

    Theo quan điểm chất khí thì không khí mà chúng ta đang hít thở là
  • Câu 10: Nhận biết

    Câu 10:

    Hãy chỉ ra câu sai? Chuyển động tròn đều là chuyển động có các đặc điểm 
  • Câu 11: Nhận biết

    Câu 11:

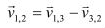
    Các công thức liên hệ giữa vận tốc dài với vận tốc góc, và gia tốc hướng tâm với tốc độ dài của chất điểm chuyển động tròn đều là
  • Câu 12: Nhận biết

    Câu 12:

    Một người thực hiện động tác nằm sấp, chống tay xuống sàn nhà để nâng người lên. Hỏi sàn nhà đẩy người đó như thế nào?
  • Câu 13: Nhận biết

    Câu 13:

    Lò xo có độ cứng k = 200 N/m, một đầu cố định, đầu kia gắn với vật nhỏ. Khi lò xo bị giãn 2cm thì thế năng đàn hồi của hệ bằng
  • Câu 14: Nhận biết

    Câu 14:

    Một viên đạn khối lượng m = 10g bay ngang với vận tốc v1 = 200m/s xuyên vào tấm gỗ dày 5cm. Sau khi xuyên qua tấm gỗ, đạn có vận tốc v2 = 100m/s. Lực cản trung bình của tấm gỗ tác dụng lên viên đạn là
  • Câu 15: Nhận biết

    Câu 15:

    Quá trình nào sau đây, động lượng của ôtô được bảo toàn?
  • Câu 16: Nhận biết

    Câu 16:

    Một gàu nước khối lượng 10 kg được kéo cho chuyển động đều lên độ cao 5m trong khoảng thời gian 1 phút 40 giây (Lấy g = 10 m/s2). Công suất trung bình của lực kéo là
  • Câu 17: Nhận biết

    Câu 17:

    Tại cùng một vị trí xác định trên mặt đất và ở cùng độ cao thì 
  • Câu 18: Nhận biết

    Câu 18:

    Hai xe lăn nhỏ có khối lượng m1 = 200g và m2 = 2kg chuyển động trên mặt phẳng ngang ngược chiều nhau với các vận tốc tương ứng v1 = 2m/s và v2 = 0,8m/s. Sau khi va chạm hai xe dính vào nhau và chuyển động cùng vận tốc. Bỏ qua sức cản . Độ lớn vận tốc sau va chạm là
  • Câu 19: Nhận biết

    Câu 19:

    Chọn đáp án sai
  • Câu 20: Nhận biết

    Câu 20:

    Cho hai lực đồng quy có độ lớn bằng 9N và 12N. Hợp lực có thể có độ lớn là
  • Câu 21: Nhận biết

    Câu 21:

    Một vật nặng rơi từ độ cao 20m xuống mặt đất. Sau bao lâu vật chạm đất? Lấy g = 10 m/s2
  • Câu 22: Nhận biết

    Câu 22:

    Điều kiện cân bằng của một vật chịu tác dụng của ba lực không song song là:

    Ba lực đó phải có giá đồng phẳng, đồng quy và thoả mãn điều kiện 

  • Câu 23: Nhận biết

    Câu 23:

    Một hòn bi nhỏ khối lượng m = 50g lăn không vận tốc đầu từ điểm A có độ cao h dọc theo một đường rãnh trơn ABCDE có dạng như hình bên. Phần BCDE có dạng một đường tròn bán kính R = 30cm. Bỏ qua ma sát. Tìm giá trị nhỏ nhất của h để hòn bi có thể vượt lên tới được điểm cao nhất D trên máng tròn. Lấy g = 10m/s2
                                                     Đề thi giữa học kì 2 môn Vật lý lớp 10
  • Câu 24: Nhận biết

    Câu 24:

    Chọn đáp án đúng. Mô men của một lực đối với một trục quay là đại lượng đặc trưng cho
  • Câu 25: Nhận biết

    Câu 25:

    Một vật được ném lên từ độ cao 1m so với mặt đất với vận tốc đầu 2 m/s. Biết khối lượng của vật bằng 0,5 kg (Lấy g = 10m/s2). Cơ năng của vật so với mặt đất bằng
  • Câu 26: Nhận biết

    Câu 26:

    Một xilanh chứa 100 cm3 khí ở áp suất 2.105 Pa. Pit tông nén đẳng nhiệt khí trong xilanh xuống còn 50 cm3. Áp suất khí trong xilanh lúc này là
  • Câu 27: Nhận biết

    Câu 27:

    Một vật có khối lượng 1 kg rơi tự do xuống đất trong khoảng thời gian 0,5 giây ( Lấy g = 9,8 m/s2). Độ biến thiên động lượng của vật trong khoảng thời gian đó là
  • Câu 28: Nhận biết

    Câu 28:

    Một lượng khí xác định, được xác định bởi bộ ba thông số 
  • Câu 29: Nhận biết

    Câu 29:

    Tính chất nào sau đây không phải là của phân tử ở thể khí?
  • Câu 30: Nhận biết

    Câu 30:

    Một vật trọng lượng 1,0 N có động năng 1,0 J (Lấy g = 10m/s2). Khi đó vận tốc của vật bằng
  • Câu 31: Nhận biết

    Câu 31:

    Dạng cân bằng của nghệ sĩ xiếc đang đứng trên dây là
  • Câu 32: Nhận biết

    Câu 32:

    Một vận động viên có khối lượng 70kg chạy đều hết quãng đường 180m trong thời gian 45 giây. Động năng của vận động viên đó là
  • Câu 33: Nhận biết

    Câu 33:

    Một hòn đá có khối lượng 5 kg, bay với vận tốc 72 km/h. Động lượng của hòn đá là
  • Câu 34: Nhận biết

    Câu 34:

    Chọn phát biểu đúng. Vec tơ tổng động lượng của một hệ cô lập là một đại lượng 
  • Câu 35: Nhận biết

    Câu 35:

    Đơn vị của động lượng là
  • Câu 36: Nhận biết

    Câu 36:

    Phải treo một vật có trọng lượng bằng bao nhiêu vào lò xo có độ cứng k = 100N/m để nó dãn ra được 10 cm? Lấy g = 10m/s2
  • Câu 37: Nhận biết

    Câu 37:

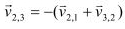
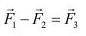
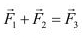
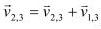
    Công thức cộng vận tốc
  • Câu 38: Nhận biết

    Câu 38:

    Một người kéo một hòm gỗ trượt trên sàn nhà bằng một dây có phương hợp với phương ngang một góc 600. Lực tác dụng lên dây bằng 150N. Công của lực đó thực hiện được khi hòm trượt đi được 10 mét là
  • Câu 39: Nhận biết

    Câu 39:

    Quá trình biến đổi trạng thái trong đó nhiệt độ được giữ không đổi gọi là quá trình
  • Câu 40: Nhận biết

    Câu 40:

    Khi một tên lửa chuyển động thì cả vận tốc và khối lượng của nó đều thay đổi. Khi khối lượng giảm một nửa, vận tốc tăng gấp hai thì động năng của tên lửa

Chúc mừng Bạn đã hoàn thành bài!

Đề thi giữa học kì 2 môn Vật lý lớp 10 trường THPT Lý Thái Tổ, Bắc Ninh năm học 2016 - 2017 Kết quả
  • Thời gian làm bài: 00:00:00
  • Số câu đã làm: 0
  • Điểm tạm tính: 0
  • Điểm thưởng: 0

Đấu trường Đề thi giữa học kì 2 môn Vật lý lớp 10 trường THPT Lý Thái Tổ, Bắc Ninh năm học 2016 - 2017

Đang tìm đối thủ...

Đang tải...

Xác thực tài khoản!

Theo Nghị định 147/2024/ND-CP, bạn cần xác thực tài khoản trước khi sử dụng tính năng này. Chúng tôi sẽ gửi mã xác thực qua SMS hoặc Zalo tới số điện thoại mà bạn nhập dưới đây:

Số điện thoại chưa đúng định dạng!
Số điện thoại này đã được xác thực!
Bạn có thể dùng Sđt này đăng nhập tại đây!
Lỗi gửi SMS, liên hệ Admin
Sắp xếp theo