Giao diện mới của VnDoc Pro: Dễ sử dụng hơn - chỉ tập trung vào lớp bạn quan tâm. Vui lòng chọn lớp mà bạn quan tâm: Lưu và trải nghiệm
Đóng
Điểm danh hàng ngày
  • Hôm nay +3
  • Ngày 2 +3
  • Ngày 3 +3
  • Ngày 4 +3
  • Ngày 5 +3
  • Ngày 6 +3
  • Ngày 7 +5
Bạn đã điểm danh Hôm nay và nhận 3 điểm!
Nhắn tin Zalo VNDOC để nhận tư vấn mua gói Thành viên hoặc tải tài liệu Hotline hỗ trợ: 0936 120 169

Đề thi học kì 2 môn Toán lớp 8 Trường THCS Phạm Công Bình năm 2015 - 2016

Đóng
Bạn đã dùng hết 1 lần làm bài Trắc nghiệm miễn phí. Mời bạn mua tài khoản VnDoc PRO để tiếp tục! Tìm hiểu thêm
Mô tả thêm:

Đề kiểm tra cuối kì 2 môn Toán lớp 8 có đáp án

Với mục tiêu giúp các bạn học sinh lớp 8 có đầy đủ tài liệu ôn tập và củng cố lại kiến thức, chuẩn bị cho kì thi cuối học kì 2 đang đến gần VnDoc xin giới thiệu bài test Đề thi học kì 2 môn Toán lớp 8 Trường THCS Phạm Công Bình năm 2015 - 2016. Bài thi có đi kèm với phần đáp án và hướng dẫn giải giúp các bạn dễ dàng so sánh và đối chiếu kết quả sau khi hoàn thành bài thi. Chúc các bạn thi tốt!

  • Thời gian làm: 90 phút
  • Số câu hỏi: 17 câu
  • Số điểm tối đa: 17 điểm
Bắt đầu làm bài
Bạn còn 1 lượt làm bài tập miễn phí. Hãy mua tài khoản VnDoc PRO để học không giới hạn nhé! Bạn đã HẾT lượt làm bài tập miễn phí! Hãy mua tài khoản VnDoc PRO để làm Trắc nghiệm không giới hạn và tải tài liệu nhanh nhé!
Mua ngay Đổi điểm
Trước khi làm bài bạn hãy
  • 1 Ôn tập kiến thức đã nêu trong phần Mô tả thêm
  • 2 Tìm không gian và thiết bị phù hợp để tập trung làm bài
  • 3 Chuẩn bị sẵn dụng cụ cần dùng khi làm bài như bút, nháp, máy tính
  • 4 Căn chỉnh thời gian làm từng câu một cách hợp lý
  • Câu 1: Nhận biết

    I. Trắc nghiệm

    Câu 1:
    Phương trình nào sau đây là phương trình bậc nhất một ẩn?
  • Câu 2: Nhận biết

    Câu 2:

    Tập nghiệm của phương trình x – 1 = 0 là:
  • Câu 3: Nhận biết

    Câu 3:

    Điều kiện xác định của phương trình Đề thi học kì 2 môn toán lớp 8 là:
  • Câu 4: Nhận biết

    Câu 4:

    Trong các phương trình sau, phương trình nào vô nghiệm:
  • Câu 5: Nhận biết

    Câu 5:

    Nghiệm của bất phương trình 4 - 2x < 6 là:
  • Câu 6: Nhận biết

    Câu 6:

    Hình sau biểu diễn tập nghiệm của bất phương trình nào?
    Đề thi học kì 2 môn toán lớp 8

  • Câu 7: Nhận biết

    Câu 7:

    Bất phương trình nào sau đây là bất phương trình bậc nhất một ẩn:

  • Câu 8: Nhận biết

    Câu 8:

    Nếu tam giác ABC có MN // BC, (M ∈ AB, N  AC) theo định lý Talet ta có:

  • Câu 9: Nhận biết

    Câu 9:

    Cho ΙaΙ = 3 thì:

  • Câu 10: Nhận biết

    Câu 10:

    Nếu M'N'P' đồng dạng với DEF thì ta có tỉ lệ thức nào đúng nhất?

  • Câu 11: Nhận biết

    Câu 11:

    Dựa vào hình vẽ trên cho biết x = ?
    Đề thi học kì 2 môn toán lớp 8

  • Câu 12: Nhận biết

    Câu 12:

    Hình hộp chữ nhật là hình có bao nhiêu mặt?

  • Câu 13: Nhận biết
    II. Tự luận Câu 1:
    a. Giải phương trình: (3x - 2)(4x + 5) = 0
    Trả lời: 
    Tập nghiệm của phương trình là: S = {...........}-5/4; 2/3
    Nhập các giá trị theo thứ tự tăng dần, ngăn cách nhau bởi dấu ";"
    Đáp án là:
    II. Tự luận Câu 1:
    a. Giải phương trình: (3x - 2)(4x + 5) = 0
    Trả lời: 
    Tập nghiệm của phương trình là: S = {...........}-5/4; 2/3
  • Câu 14: Nhận biết
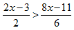
    b. Giải bất phương trình sau: Đề thi học kì 2 môn toán lớp 8
    Trả lời:
    Nghiệm của phương trình là: ...............x < 1
    Đáp án là:
    b. Giải bất phương trình sau: Đề thi học kì 2 môn toán lớp 8
    Trả lời:
    Nghiệm của phương trình là: ...............x < 1
  • Câu 15: Nhận biết
    Câu 2:

    Một ca nô xuôi dòng từ bến A đến bến B mất 4 giờ và ngược dòng từ bến B về bến A mất 5 giờ. Tính khoảng cách giữa hai điểm A và B, biết rằng vận tốc của dòng nước là 2km/h.
    Trả lời:
    Khoảng cách giữa hai điểm A và B là: .......... km.

    80
    Đáp án là:
    Câu 2:

    Một ca nô xuôi dòng từ bến A đến bến B mất 4 giờ và ngược dòng từ bến B về bến A mất 5 giờ. Tính khoảng cách giữa hai điểm A và B, biết rằng vận tốc của dòng nước là 2km/h.
    Trả lời:
    Khoảng cách giữa hai điểm A và B là: .......... km.

    80

    Gọi x (km) là khoảng cách giữa hai điểm A và B (điều kiện x > 0)
    Lập được phương trình: x/4 - 2 = x/5 + 2
    Giải phương trình tìm được x = 80.
    Vậy khoảng cách giữa A và B là 80km.

  • Câu 16: Nhận biết
    Câu 3:

    Cho tam giác ABC vuông tại A, AB = 8cm, AC = 6cm, AD là tia phân giác góc A, D  BC.
    a. Tính DB/DC
    Trả lời:
    DB/DC = .............

    4/3
    Đáp án là:
    Câu 3:

    Cho tam giác ABC vuông tại A, AB = 8cm, AC = 6cm, AD là tia phân giác góc A, D  BC.
    a. Tính DB/DC
    Trả lời:
    DB/DC = .............

    4/3

    AD là phân giác góc A của tam giác ABC nên:
    DB/DC = AB/AC => DB/DC = 8/6 = 4/3

  • Câu 17: Nhận biết
    b. Tính SΔAHB/SΔCHA.
    Trả lời:
    SΔAHB/SΔCHA = ....................16/9
    Nhập kết quả dưới dạng phân số tối giản
    Đáp án là:
    b. Tính SΔAHB/SΔCHA.
    Trả lời:
    SΔAHB/SΔCHA = ....................16/9

    ΔAHB đồng dạng với ΔCHA => AH/CH = HB/HA = AB/AC = k
    => k = AB/AC = 4/3
    Vì ΔAHB đồng dạng với ΔCHA nên ta có: SΔAHB/SΔCHA = k2 = (4/3)2 = 16/9

Chúc mừng Bạn đã hoàn thành bài!

Đề thi học kì 2 môn Toán lớp 8 Trường THCS Phạm Công Bình năm 2015 - 2016 Kết quả
  • Thời gian làm bài: 00:00:00
  • Số câu đã làm: 0
  • Điểm tạm tính: 0
  • Điểm thưởng: 0

Đấu trường Đề thi học kì 2 môn Toán lớp 8 Trường THCS Phạm Công Bình năm 2015 - 2016

Đang tìm đối thủ...

Đang tải...

Xác thực tài khoản!

Theo Nghị định 147/2024/ND-CP, bạn cần xác thực tài khoản trước khi sử dụng tính năng này. Chúng tôi sẽ gửi mã xác thực qua SMS hoặc Zalo tới số điện thoại mà bạn nhập dưới đây:

Số điện thoại chưa đúng định dạng!
Số điện thoại này đã được xác thực!
Bạn có thể dùng Sđt này đăng nhập tại đây!
Lỗi gửi SMS, liên hệ Admin
Sắp xếp theo