1. x2 - 7 = -6

1 x = 1, x = -1
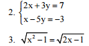
2 x = 2, y = 1
3 x = 2
Câu 2 a. Rút gọn biểu thức:
(với x ≥ 0, x ≠ 1)4x
b Tìm hai số tự nhiên biết: Số lớn chia cho số bé được thương là 6, tích hai số không thay đổi nếu số lớn bớt đi 6 và số bé tăng thêm 2.
Trả lời: Số lớn là ..., số bé là ...12, 2
1. x2 - 7 = -6

1 x = 1, x = -1
2 x = 2, y = 1
3 x = 2
Câu 2 a. Rút gọn biểu thức:
(với x ≥ 0, x ≠ 1)4x
b Tìm hai số tự nhiên biết: Số lớn chia cho số bé được thương là 6, tích hai số không thay đổi nếu số lớn bớt đi 6 và số bé tăng thêm 2.
Trả lời: Số lớn là ..., số bé là ...12, 2