Giao diện mới của VnDoc Pro: Dễ sử dụng hơn - chỉ tập trung vào lớp bạn quan tâm. Vui lòng chọn lớp mà bạn quan tâm: Lưu và trải nghiệm
Đóng
Điểm danh hàng ngày
  • Hôm nay +3
  • Ngày 2 +3
  • Ngày 3 +3
  • Ngày 4 +3
  • Ngày 5 +3
  • Ngày 6 +3
  • Ngày 7 +5
Bạn đã điểm danh Hôm nay và nhận 3 điểm!
Nhắn tin Zalo VNDOC để nhận tư vấn mua gói Thành viên hoặc tải tài liệu Hotline hỗ trợ: 0936 120 169

Đề thi khảo sát chất lượng đầu năm môn Toán lớp 7 Trường THCS Yên Lạc, Vĩnh Phúc

Đóng
Bạn đã dùng hết 1 lần làm bài Trắc nghiệm miễn phí. Mời bạn mua tài khoản VnDoc PRO để tiếp tục! Tìm hiểu thêm
Mô tả thêm:

Đề kiểm tra đầu năm môn Toán lớp 7 

Nhằm giúp các bạn học sinh lớp 7 ôn tập và hệ thống lại kiến thức môn Toán trước khi bước vào năm học mới VnDoc xin giới thiệu bài test Đề thi khảo sát chất lượng đầu năm môn Toán lớp 7 Trường THCS Yên Lạc, Vĩnh Phúc. Với các dạng câu hỏi và bài tập bám sát nội dung cơ bản của chương trình học bài test sẽ giúp các bạn củng cố và rèn luyện kĩ năng làm bài.

  • Số câu hỏi: 13 câu
  • Số điểm tối đa: 13 điểm
Bắt đầu làm bài
Bạn còn 1 lượt làm bài tập miễn phí. Hãy mua tài khoản VnDoc PRO để học không giới hạn nhé! Bạn đã HẾT lượt làm bài tập miễn phí! Hãy mua tài khoản VnDoc PRO để làm Trắc nghiệm không giới hạn và tải tài liệu nhanh nhé!
Mua ngay Đổi điểm
Trước khi làm bài bạn hãy
  • 1 Ôn tập kiến thức đã nêu trong phần Mô tả thêm
  • 2 Tìm không gian và thiết bị phù hợp để tập trung làm bài
  • 3 Chuẩn bị sẵn dụng cụ cần dùng khi làm bài như bút, nháp, máy tính
  • 4 Căn chỉnh thời gian làm từng câu một cách hợp lý
  • Câu 1: Nhận biết

    Phần 1: Trắc nghiệm

    Câu 1:
    Số cặp số nguyên (a; b) trong đó a ≠ b; a chia hết cho b và b chia hết cho a là:
  • Câu 2: Nhận biết

    Câu 2:

    Cho biết (a - 23)(8 - b)(c - 2007) = 100. Kết quả sai sẽ là:
  • Câu 3: Nhận biết

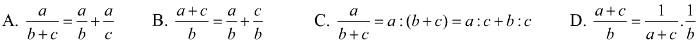
    Câu 3:

    Đẳng thức đúng trong các đẳng thức sau là:
    Đề thi đầu năm môn toán lớp 7
  • Câu 4: Nhận biết

    Câu 4:

    Từ 1/2003 + a/b = 0 suy ra:
  • Câu 5: Nhận biết

    Câu 5:

    Cho 5 điểm trong đó không có ba điểm nào thẳng hàng. Cứ qua hai điểm ta vẽ một đường thẳng. Số đường thẳng vẽ được trong hình vẽ là:
  • Câu 6: Nhận biết

    Câu 6:

    Cho ba điểm A, B, C thẳng hàng theo thứ tự đó, biết AC = 2 AB. Khi đó:
  • Câu 7: Nhận biết
    Phần 2: Tự luận Câu 1: Tìm x, biết:
    a) [(6x - 39) : 7].4 = 12
    Trả lời: x = .........10
    Đáp án là:
    Phần 2: Tự luận Câu 1: Tìm x, biết:
    a) [(6x - 39) : 7].4 = 12
    Trả lời: x = .........10
  • Câu 8: Nhận biết
    b) 2448 : [119 - (x - 6)] = 24 Trả lời: x = .........23
    Đáp án là:
    b) 2448 : [119 - (x - 6)] = 24 Trả lời: x = .........23
  • Câu 9: Nhận biết
    c) 5x + 3 + 5x = 126.53
    Trả lời:
    x = .........3
    Đáp án là:
    c) 5x + 3 + 5x = 126.53
    Trả lời:
    x = .........3
  • Câu 10: Nhận biết
    Câu 2: Tính bằng cách hợp lý a) Đề thi chất lượng đầu năm môn toán lớp 7 = ............99/100
    Nhập kết quả dưới dạng phân số tối giản.
    Đáp án là:
    Câu 2: Tính bằng cách hợp lý a) Đề thi chất lượng đầu năm môn toán lớp 7 = ............99/100
  • Câu 11: Nhận biết
    b) Đề thi chất lượng đầu năm môn toán lớp 7 = ...........8/51
    Đáp án là:
    b) Đề thi chất lượng đầu năm môn toán lớp 7 = ...........8/51
  • Câu 12: Nhận biết
    Câu 3: Tìm tất cả các số nguyên n để biểu thức A = (2n + 2007)/(n + 2) với (n ≠ -2) có giá trị nguyên.
    Trả lời:
    Tập hợp a giá trị nguyên của n để A có giá trị nguyên là: {...........}-2005; -3; -1; 2001
    Nhập các giá trị theo thứ tự tăng dần, ngăn cách nhau bởi dấu ";"
    Đáp án là:
    Câu 3: Tìm tất cả các số nguyên n để biểu thức A = (2n + 2007)/(n + 2) với (n ≠ -2) có giá trị nguyên.
    Trả lời:
    Tập hợp a giá trị nguyên của n để A có giá trị nguyên là: {...........}-2005; -3; -1; 2001
  • Câu 13: Nhận biết
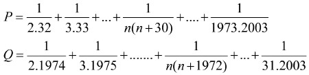
    Câu 4: Tính P/Q biết:
    Đề thi chất lượng đầu năm môn toán lớp 7
    Trả lời:
    P/Q = ............986/15
    Đáp án là:
    Câu 4: Tính P/Q biết:
    Đề thi chất lượng đầu năm môn toán lớp 7
    Trả lời:
    P/Q = ............986/15

Chúc mừng Bạn đã hoàn thành bài!

Đề thi khảo sát chất lượng đầu năm môn Toán lớp 7 Trường THCS Yên Lạc, Vĩnh Phúc Kết quả
  • Thời gian làm bài: 00:00:00
  • Số câu đã làm: 0
  • Điểm tạm tính: 0
  • Điểm thưởng: 0

Đấu trường Đề thi khảo sát chất lượng đầu năm môn Toán lớp 7 Trường THCS Yên Lạc, Vĩnh Phúc

Đang tìm đối thủ...

Đang tải...

Xác thực tài khoản!

Theo Nghị định 147/2024/ND-CP, bạn cần xác thực tài khoản trước khi sử dụng tính năng này. Chúng tôi sẽ gửi mã xác thực qua SMS hoặc Zalo tới số điện thoại mà bạn nhập dưới đây:

Số điện thoại chưa đúng định dạng!
Số điện thoại này đã được xác thực!
Bạn có thể dùng Sđt này đăng nhập tại đây!
Lỗi gửi SMS, liên hệ Admin
Sắp xếp theo