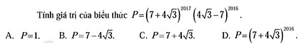
Câu 1:
B
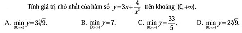
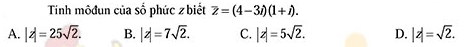
Đáp án là:
Câu 1:
B




















