Giao diện mới của VnDoc Pro: Dễ sử dụng hơn - chỉ tập trung vào lớp bạn quan tâm. Vui lòng chọn lớp mà bạn quan tâm: Lưu và trải nghiệm
Đóng
Điểm danh hàng ngày
  • Hôm nay +3
  • Ngày 2 +3
  • Ngày 3 +3
  • Ngày 4 +3
  • Ngày 5 +3
  • Ngày 6 +3
  • Ngày 7 +5
Bạn đã điểm danh Hôm nay và nhận 3 điểm!
Nhắn tin Zalo VNDOC để nhận tư vấn mua gói Thành viên hoặc tải tài liệu Hotline hỗ trợ: 0936 120 169

Đề thi Olympic Tiếng Anh lớp 10 vòng 5 năm 2013 - 2014

Đóng
Bạn đã dùng hết 1 lần làm bài Trắc nghiệm miễn phí. Mời bạn mua tài khoản VnDoc PRO để tiếp tục! Tìm hiểu thêm
Mô tả thêm:

Đề thi Tiếng Anh qua mạng (IOE) lớp 10 có đáp án

Đề thi Olympic Tiếng Anh (IOE) lớp 10 vòng 5 năm học 2013 - 2014 có đáp án kèm theo được VnDoc sưu tầm, chọn lọc giúp các em học sinh ôn tập và củng cố kiến thức, nhằm đạt kết quả cao trong các vòng tiếp theo của cuộc thi Olympic giải Tiếng Anh qua mạng năm học 2013 - 2014. Sau đây mời các em cùng tham khảo.

  • Số câu hỏi: 10 câu
  • Số điểm tối đa: 10 điểm
Bắt đầu làm bài
Bạn còn 1 lượt làm bài tập miễn phí. Hãy mua tài khoản VnDoc PRO để học không giới hạn nhé! Bạn đã HẾT lượt làm bài tập miễn phí! Hãy mua tài khoản VnDoc PRO để làm Trắc nghiệm không giới hạn và tải tài liệu nhanh nhé!
Mua ngay Đổi điểm
Trước khi làm bài bạn hãy
  • 1 Ôn tập kiến thức đã nêu trong phần Mô tả thêm
  • 2 Tìm không gian và thiết bị phù hợp để tập trung làm bài
  • 3 Chuẩn bị sẵn dụng cụ cần dùng khi làm bài như bút, nháp, máy tính
  • 4 Căn chỉnh thời gian làm từng câu một cách hợp lý
  • Câu 1: Nhận biết

    Câu 1:

    Which of these is the solution set for the equation |x – 7| + 5 = 17?

  • Câu 2: Nhận biết

    Câu 2:

    Factor: 2m3 - 10m2 + 8m?

  • Câu 3: Nhận biết

    Câu 3:

     Đề thi Olympic Tiếng Anh lớp 10

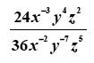
    Which of the following is equivalent to the expression shown above?

  • Câu 4: Nhận biết

    Câu 4:

    If x/7 - y/2 = 1, which statement best explains how the value of y changes each time x is increased by 1 unit?

  • Câu 5: Nhận biết

    Câu 5:

    Solve: x/3 = (x - 6)/4?

  • Câu 6: Nhận biết

    Câu 6:

    Solve: 4x(x + 1) - (x + 1) = 0?

  • Câu 7: Nhận biết

    Câu 7:

    Solve: 3x + 5 < x - 3?

  • Câu 8: Nhận biết

    Câu 8:

         Đề thi Olympic Tiếng Anh lớp 10

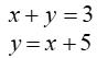
    Which of these graphs could be used to find the solution for the system of equations above?

  • Câu 9: Nhận biết

    Câu 9:

               Đề thi Olympic Tiếng Anh lớp 10

    Which of these equations represents the data in the table?

  • Câu 10: Nhận biết

    Câu 10:

    If f(x) = -x2 + 2x - 3, what is f(4)?

Chúc mừng Bạn đã hoàn thành bài!

Đề thi Olympic Tiếng Anh lớp 10 vòng 5 năm 2013 - 2014 Kết quả
  • Thời gian làm bài: 00:00:00
  • Số câu đã làm: 0
  • Điểm tạm tính: 0
  • Điểm thưởng: 0

Đấu trường Đề thi Olympic Tiếng Anh lớp 10 vòng 5 năm 2013 - 2014

Đang tìm đối thủ...

Đang tải...

Xác thực tài khoản!

Theo Nghị định 147/2024/ND-CP, bạn cần xác thực tài khoản trước khi sử dụng tính năng này. Chúng tôi sẽ gửi mã xác thực qua SMS hoặc Zalo tới số điện thoại mà bạn nhập dưới đây:

Số điện thoại chưa đúng định dạng!
Số điện thoại này đã được xác thực!
Bạn có thể dùng Sđt này đăng nhập tại đây!
Lỗi gửi SMS, liên hệ Admin
Sắp xếp theo