Giao diện mới của VnDoc Pro: Dễ sử dụng hơn - chỉ tập trung vào lớp bạn quan tâm. Vui lòng chọn lớp mà bạn quan tâm: Lưu và trải nghiệm
Đóng
Điểm danh hàng ngày
  • Hôm nay +3
  • Ngày 2 +3
  • Ngày 3 +3
  • Ngày 4 +3
  • Ngày 5 +3
  • Ngày 6 +3
  • Ngày 7 +5
Bạn đã điểm danh Hôm nay và nhận 3 điểm!
Nhắn tin Zalo VNDOC để nhận tư vấn mua gói Thành viên hoặc tải tài liệu Hotline hỗ trợ: 0936 120 169

Đề thi Olympic Tiếng Anh lớp 11 vòng 12 năm 2013 - 2014

Đóng
Bạn đã dùng hết 1 lần làm bài Trắc nghiệm miễn phí. Mời bạn mua tài khoản VnDoc PRO để tiếp tục! Tìm hiểu thêm
Mô tả thêm:

Đề thi Tiếng Anh qua mạng (IOE) lớp 11

Đề thi Olympic Tiếng Anh (IOE) lớp 11 vòng 112 năm học 2013 - 2014 được VnDoc sưu tầm, chọn lọc giúp các em học sinh ôn tập và củng cố kiến thức, nhằm đạt kết quả cao trong các vòng tiếp theo của cuộc thi Olympic giải Tiếng Anh qua mạng năm học 2013 - 2014. Sau đây mời các em cùng tham khảo.

  • Số câu hỏi: 10 câu
  • Số điểm tối đa: 10 điểm
Bắt đầu làm bài
Bạn còn 1 lượt làm bài tập miễn phí. Hãy mua tài khoản VnDoc PRO để học không giới hạn nhé! Bạn đã HẾT lượt làm bài tập miễn phí! Hãy mua tài khoản VnDoc PRO để làm Trắc nghiệm không giới hạn và tải tài liệu nhanh nhé!
Mua ngay Đổi điểm
Trước khi làm bài bạn hãy
  • 1 Ôn tập kiến thức đã nêu trong phần Mô tả thêm
  • 2 Tìm không gian và thiết bị phù hợp để tập trung làm bài
  • 3 Chuẩn bị sẵn dụng cụ cần dùng khi làm bài như bút, nháp, máy tính
  • 4 Căn chỉnh thời gian làm từng câu một cách hợp lý
  • Câu 1: Nhận biết

    Câu 1:

    When John exercises, he walks at an average rate of 1.75 miles every half hour. At this rate, how many miles can John walk in 3 hours?

  • Câu 2: Nhận biết

    Câu 2:

    Simplify the expression: (−5x3)(3x4)

  • Câu 3: Nhận biết

    Câu 3:

    Đề thi Olympic Tiếng Anh lớp 11

    Which equation represents the function shown in the accompanying graph?

  • Câu 4: Nhận biết

    Câu 4:

    Đề thi Olympic Tiếng Anh lớp 11

    A meteorologist drew the accompanying graph to show the changes in relative humidity during a 24-hour period in New York City. What is the range of this set of data?

  • Câu 5: Nhận biết

    Câu 5:

    The measure of the vertex angle of an isosceles triangle is 75°. What is the measure of one of the base angles of the triangle?

  • Câu 6: Nhận biết

    Câu 6:

    Đề thi Olympic Tiếng Anh lớp 11

    The food area of a small shopping mall is located between three stores. Each of the three stores is a square as shown above. Which is the closest approximation of the length of a wall of Store 3?

  • Câu 7: Nhận biết

    Câu 7:

    The zoomster function z used in space flight engineering is defined as z(q) = 4q + 1/2. If, for some number u, z(u + 1/2) = 1/2, what is the value of u?

  • Câu 8: Nhận biết

    Câu 8:

    The flight paths of two Thunderbird jets are plotted on a Cartesian coordinate plane, and the equations of the jets' flight paths are represented by y = 2x + 3 and y = 0.5x . The best approximation of the intersection of the flight paths is

  • Câu 9: Nhận biết

    Câu 9:

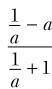
    Which expression is equivalent to the complex fraction Đề thi Olympic Tiếng Anh lớp 11?

  • Câu 10: Nhận biết

    Câu 10:

    Angela's house is 3 miles north and 6 miles east of the center of town. Cathy's house is 2 miles south and 5 miles west of the center of town. What is the shortest distance between the girls' houses? Round the answer to the nearest whole mile.

Chúc mừng Bạn đã hoàn thành bài!

Đề thi Olympic Tiếng Anh lớp 11 vòng 12 năm 2013 - 2014 Kết quả
  • Thời gian làm bài: 00:00:00
  • Số câu đã làm: 0
  • Điểm tạm tính: 0
  • Điểm thưởng: 0

Đấu trường Đề thi Olympic Tiếng Anh lớp 11 vòng 12 năm 2013 - 2014

Đang tìm đối thủ...

Đang tải...

Xác thực tài khoản!

Theo Nghị định 147/2024/ND-CP, bạn cần xác thực tài khoản trước khi sử dụng tính năng này. Chúng tôi sẽ gửi mã xác thực qua SMS hoặc Zalo tới số điện thoại mà bạn nhập dưới đây:

Số điện thoại chưa đúng định dạng!
Số điện thoại này đã được xác thực!
Bạn có thể dùng Sđt này đăng nhập tại đây!
Lỗi gửi SMS, liên hệ Admin
Sắp xếp theo