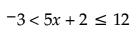
Câu 1

What is the order of these numbers from least to greatest?
VnDoc xin giới thiệu tới các bạn học sinh tài liệu tham khảo hữu ích cho quá trình rèn luyện ngữ pháp tiếng anh cũng như nâng cao trình độ trong môn này thông qua các câu hỏi tại bài tập trắc nghiệm Đề thi Olympic Tiếng Anh lớp 11 vòng 15 năm 2013 - 2014.
Đang tải...
Theo Nghị định 147/2024/ND-CP, bạn cần xác thực tài khoản trước khi sử dụng tính năng này. Chúng tôi sẽ gửi mã xác thực qua SMS hoặc Zalo tới số điện thoại mà bạn nhập dưới đây: