Giao diện mới của VnDoc Pro: Dễ sử dụng hơn - chỉ tập trung vào lớp bạn quan tâm. Vui lòng chọn lớp mà bạn quan tâm: Lưu và trải nghiệm
Đóng
Điểm danh hàng ngày
  • Hôm nay +3
  • Ngày 2 +3
  • Ngày 3 +3
  • Ngày 4 +3
  • Ngày 5 +3
  • Ngày 6 +3
  • Ngày 7 +5
Bạn đã điểm danh Hôm nay và nhận 3 điểm!
Nhắn tin Zalo VNDOC để nhận tư vấn mua gói Thành viên hoặc tải tài liệu Hotline hỗ trợ: 0936 120 169

Đề thi Olympic Tiếng Anh lớp 11 vòng 19 năm 2013 - 2014

Đóng
Bạn đã dùng hết 1 lần làm bài Trắc nghiệm miễn phí. Mời bạn mua tài khoản VnDoc PRO để tiếp tục! Tìm hiểu thêm
Mô tả thêm:

Đề thi Tiếng Anh qua mạng (IOE) lớp 11

Đề thi Olympic Tiếng Anh lớp 11 vòng 19 năm 2013 - 2014 được VnDoc biên soạn và tổng hợp chi tiết nhằm cung cấp cho các em học sinh tài liệu tham khảo hữu ích trong quá trình ôn luyện ngữ pháp tiếng anh.

Đề thi Olympic Tiếng Anh lớp 11 vòng 17 năm 2013 - 2014

Đề thi Olympic Tiếng Anh lớp 11 vòng 18 năm 2013 - 2014

  • Số câu hỏi: 10 câu
  • Số điểm tối đa: 10 điểm
Bắt đầu làm bài
Bạn còn 1 lượt làm bài tập miễn phí. Hãy mua tài khoản VnDoc PRO để học không giới hạn nhé! Bạn đã HẾT lượt làm bài tập miễn phí! Hãy mua tài khoản VnDoc PRO để làm Trắc nghiệm không giới hạn và tải tài liệu nhanh nhé!
Mua ngay Đổi điểm
Trước khi làm bài bạn hãy
  • 1 Ôn tập kiến thức đã nêu trong phần Mô tả thêm
  • 2 Tìm không gian và thiết bị phù hợp để tập trung làm bài
  • 3 Chuẩn bị sẵn dụng cụ cần dùng khi làm bài như bút, nháp, máy tính
  • 4 Căn chỉnh thời gian làm từng câu một cách hợp lý
  • Câu 1: Nhận biết

    Câu 1

    Ben was earning a monthly salary of $5 000 before he changed jobs. At his new job he earns 10% less than he did at his old job. If after one year at his new job Ben receives a pay increase of 15%, how much will he then be earning per month?

  • Câu 2: Nhận biết

    Câu 2


    In a science experiment, a solution has an initial temperature of 20 °C, as shown above. If the temperature, T, of the solution drops 2.8 °C/h, then which of the following equations can be used to calculate the temperature of the solution after 4 hours?

  • Câu 3: Nhận biết

    Câu 3

    What is the solution to 2(3 - x) ≤ 8?

  • Câu 4: Nhận biết

    Câu 4

    What is the solution set to the equation: x2 + 2x − 15 = 0?

  • Câu 5: Nhận biết

    Câu 5


    Which of the following equations represents the relationship between the variables x and y in the graph shown above?

  • Câu 6: Nhận biết

    Câu 6


    The list above shows Rick's yearly vehicle expenses. If Rick works 8 hours/day, 5 days/week, and takes home $10/hour, then what is the least number of complete weeks he must work in order to pay for all his yearly vehicle expenses?

  • Câu 7: Nhận biết

    Câu 7

    A piggy bank contains only quarters and nickels, and there is a total of 60 coins. The total value of the coins in the bank is $7.40. How many quarters are in the piggy bank?

  • Câu 8: Nhận biết

    Câu 8

    If x = -3, what is the value of x2 + 3(x + 2)?

  • Câu 9: Nhận biết

    Câu 9

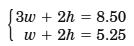
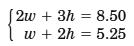
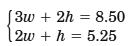
    Sam purchased two bottles of water and three hot dogs at the ballpark for $8.50. Mary purchased one bottle of water and two hot dogs for $5.25. What system of equations could be solved to determine the prices in dollars of a hot dog (h) and a bottle of water (w)?
  • Câu 10: Nhận biết

    Câu 10

    Sam draws two polygons that are similar. The first polygon has a perimeter of 16 cm and the second polygon has a perimeter of 10 cm. If the shortest side of the first polygon has a length of 4 cm, then the corresponding side of the second polygon has a length of

Chúc mừng Bạn đã hoàn thành bài!

Đề thi Olympic Tiếng Anh lớp 11 vòng 19 năm 2013 - 2014 Kết quả
  • Thời gian làm bài: 00:00:00
  • Số câu đã làm: 0
  • Điểm tạm tính: 0
  • Điểm thưởng: 0

Đấu trường Đề thi Olympic Tiếng Anh lớp 11 vòng 19 năm 2013 - 2014

Đang tìm đối thủ...

Đang tải...

Xác thực tài khoản!

Theo Nghị định 147/2024/ND-CP, bạn cần xác thực tài khoản trước khi sử dụng tính năng này. Chúng tôi sẽ gửi mã xác thực qua SMS hoặc Zalo tới số điện thoại mà bạn nhập dưới đây:

Số điện thoại chưa đúng định dạng!
Số điện thoại này đã được xác thực!
Bạn có thể dùng Sđt này đăng nhập tại đây!
Lỗi gửi SMS, liên hệ Admin
Sắp xếp theo