Giao diện mới của VnDoc Pro: Dễ sử dụng hơn - chỉ tập trung vào lớp bạn quan tâm. Vui lòng chọn lớp mà bạn quan tâm: Lưu và trải nghiệm
Đóng
Điểm danh hàng ngày
  • Hôm nay +3
  • Ngày 2 +3
  • Ngày 3 +3
  • Ngày 4 +3
  • Ngày 5 +3
  • Ngày 6 +3
  • Ngày 7 +5
Bạn đã điểm danh Hôm nay và nhận 3 điểm!
Nhắn tin Zalo VNDOC để nhận tư vấn mua gói Thành viên hoặc tải tài liệu Hotline hỗ trợ: 0936 120 169

Đề thi Olympic Tiếng Anh lớp 11 vòng 27 năm 2013 - 2014

Đóng
Bạn đã dùng hết 1 lần làm bài Trắc nghiệm miễn phí. Mời bạn mua tài khoản VnDoc PRO để tiếp tục! Tìm hiểu thêm
Mô tả thêm:

Đề thi Tiếng Anh qua mạng (IOE) lớp 11

VnDoc xin giới thiệu tới các bạn bài thi trắc nghiệm Đề thi Olympic Tiếng Anh lớp 11 vòng 27 năm 2013 - 2014 với những câu hổi bổ ích sẽ giúp các em dễ dàng ôn luyện lại kiến thức cũng như được làm quen với nhiều bài tập mới.

Đề thi Olympic Tiếng Anh lớp 11 vòng 25 năm 2013 - 2014

Đề thi Olympic Tiếng Anh lớp 11 vòng 26 năm 2013 - 2014

 

  • Số câu hỏi: 10 câu
  • Số điểm tối đa: 10 điểm
Bắt đầu làm bài
Bạn còn 1 lượt làm bài tập miễn phí. Hãy mua tài khoản VnDoc PRO để học không giới hạn nhé! Bạn đã HẾT lượt làm bài tập miễn phí! Hãy mua tài khoản VnDoc PRO để làm Trắc nghiệm không giới hạn và tải tài liệu nhanh nhé!
Mua ngay Đổi điểm
Trước khi làm bài bạn hãy
  • 1 Ôn tập kiến thức đã nêu trong phần Mô tả thêm
  • 2 Tìm không gian và thiết bị phù hợp để tập trung làm bài
  • 3 Chuẩn bị sẵn dụng cụ cần dùng khi làm bài như bút, nháp, máy tính
  • 4 Căn chỉnh thời gian làm từng câu một cách hợp lý
  • Câu 1: Nhận biết

    Câu 1

    The Cineplex movie theater sold 280 tickets to a comedy, 175 tickets to a drama, and 245 tickets to an action film. What percentage of the total tickets sold were to the action film? (Round your answer to the nearest percent.)

  • Câu 2: Nhận biết

    Câu 2


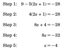
    A student tried to solve the equation above but made a mistake. In which step did the mistake first appear?

  • Câu 3: Nhận biết

    Câu 3

    A drink contains 20% cranberry juice and the rest is apple juice. What is the ratio of cranberry juice to apple juice?

  • Câu 4: Nhận biết

    Câu 4


    Use the ruler on the Mathematics Chart to measure the side lengths of rectangle PQRS and rectangle P′Q′R′S′ to the nearest 0.1 centimeter. Which of the following is closest to the scale factor used to dilate rectangle PQRS to create rectangle P′Q′R′S′?

  • Câu 5: Nhận biết

    Câu 5

    Aida divides a number greater than 100 by a number greater than 10. Which statement about Aida's quotient is always true?

  • Câu 6: Nhận biết

    Câu 6

    If y is a function of x in y = (1/2)x + 3, which of the following statements is true?

  • Câu 7: Nhận biết

    Câu 7

    Solve for k: k – 9 = 36

  • Câu 8: Nhận biết

    Câu 8


    The table above shows ordered pairs of a linear function. What are the x- and y-intercepts for the graph of this linear function?

  • Câu 9: Nhận biết

    Câu 9

    Penelope opened a savings account with $200. If she withdraws x dollars from her account, which expression represents the new balance?

  • Câu 10: Nhận biết

    Câu 10

    If c = 5 and d = 3, what is the value of 2c + c(d2 – 6)?

Chúc mừng Bạn đã hoàn thành bài!

Đề thi Olympic Tiếng Anh lớp 11 vòng 27 năm 2013 - 2014 Kết quả
  • Thời gian làm bài: 00:00:00
  • Số câu đã làm: 0
  • Điểm tạm tính: 0
  • Điểm thưởng: 0

Đấu trường Đề thi Olympic Tiếng Anh lớp 11 vòng 27 năm 2013 - 2014

Đang tìm đối thủ...

Đang tải...

Xác thực tài khoản!

Theo Nghị định 147/2024/ND-CP, bạn cần xác thực tài khoản trước khi sử dụng tính năng này. Chúng tôi sẽ gửi mã xác thực qua SMS hoặc Zalo tới số điện thoại mà bạn nhập dưới đây:

Số điện thoại chưa đúng định dạng!
Số điện thoại này đã được xác thực!
Bạn có thể dùng Sđt này đăng nhập tại đây!
Lỗi gửi SMS, liên hệ Admin
Sắp xếp theo