Giao diện mới của VnDoc Pro: Dễ sử dụng hơn - chỉ tập trung vào lớp bạn quan tâm. Vui lòng chọn lớp mà bạn quan tâm: Lưu và trải nghiệm
Đóng
Điểm danh hàng ngày
  • Hôm nay +3
  • Ngày 2 +3
  • Ngày 3 +3
  • Ngày 4 +3
  • Ngày 5 +3
  • Ngày 6 +3
  • Ngày 7 +5
Bạn đã điểm danh Hôm nay và nhận 3 điểm!
Nhắn tin Zalo VNDOC để nhận tư vấn mua gói Thành viên hoặc tải tài liệu Hotline hỗ trợ: 0936 120 169

Đề thi Olympic Tiếng Anh lớp 11 vòng 3 năm 2013 - 2014

Đóng
Bạn đã dùng hết 1 lần làm bài Trắc nghiệm miễn phí. Mời bạn mua tài khoản VnDoc PRO để tiếp tục! Tìm hiểu thêm
Mô tả thêm:

Đề thi Tiếng Anh qua mạng (IOE) lớp 11

Đề thi Olympic Tiếng Anh (IOE) lớp 11 vòng 3 năm học 2013 - 2014 có đáp án kèm theo được VnDoc sưu tầm, chọn lọc giúp các em học sinh ôn tập và củng cố kiến thức, nhằm đạt kết quả cao trong các vòng tiếp theo của cuộc thi Olympic giải Tiếng Anh qua mạng năm học 2013 - 2014. Sau đây mời các em cùng tham khảo.

  • Số câu hỏi: 10 câu
  • Số điểm tối đa: 10 điểm
Bắt đầu làm bài
Bạn còn 1 lượt làm bài tập miễn phí. Hãy mua tài khoản VnDoc PRO để học không giới hạn nhé! Bạn đã HẾT lượt làm bài tập miễn phí! Hãy mua tài khoản VnDoc PRO để làm Trắc nghiệm không giới hạn và tải tài liệu nhanh nhé!
Mua ngay Đổi điểm
Trước khi làm bài bạn hãy
  • 1 Ôn tập kiến thức đã nêu trong phần Mô tả thêm
  • 2 Tìm không gian và thiết bị phù hợp để tập trung làm bài
  • 3 Chuẩn bị sẵn dụng cụ cần dùng khi làm bài như bút, nháp, máy tính
  • 4 Căn chỉnh thời gian làm từng câu một cách hợp lý
  • Câu 1: Nhận biết

    Câu 1:

    Đề thi Olympic Tiếng Anh lớp 11
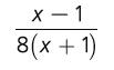
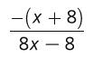
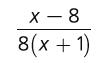
    Which expression is equivalent to the expression above if no denominators equal zero?

  • Câu 2: Nhận biết

    Câu 2:

    Đề thi Olympic Tiếng Anh lớp 11

    The daily high temperatures in degrees Fahrenheit (°F) in Chattanooga Tennesseefor two 1-week periods are listed above. What is the interquartile range for these data over the two weeks?

  • Câu 3: Nhận biết

    Câu 3:

    A grocery store manager wants to determine how many servings of fresh fruit her adult customers eat per day. She randomly surveys adult customers in the produce aisle of her store about their eating habits. Which statement best explains why her survey could be biased?

  • Câu 4: Nhận biết

    Câu 4:

    Jen and Barry's ice cream stand has three types of cones, six flavors of ice cream, and four kinds of sprinkles. If a serving consists of a cone, one flavor of ice cream, and one kind of sprinkles, how many different servings are possible?

  • Câu 5: Nhận biết

    Câu 5:

    What is the range of the equation: y = -|x - 8| + 3?

  • Câu 6: Nhận biết

    Câu 6:

    Super Painters charges $1.00 per square foot plus an additional fee of $25.00 to paint a living room. If x represents the area of the walls of Francesca's living room, in square feet, and y represents the cost, in dollars, which graph best represents the cost of painting her living room?

  • Câu 7: Nhận biết

    Câu 7:

    Đề thi Olympic Tiếng Anh lớp 11

    The population growth of Boomtown is shown in the accompanying graph. If the same pattern of population growth continues, what will the population of Boomtown be in the year 2020?

  • Câu 8: Nhận biết

    Câu 8:

    Đề thi Olympic Tiếng Anh lớp 11

    A company analyzes wind patterns to determine whether to install windmills in Kingsport, Tennessee, to generate electricity. The graph above shows the average monthly wind speeds in Kingsport over a two-year period. A function describing this graph is a transformation of the parent sine function y = sinx. Which value is closest to the amplitude of this transformed function?

  • Câu 9: Nhận biết

    Câu 9:

    If a + 3b = 13 and a + b = 5, the value of b is

  • Câu 10: Nhận biết

    Câu 10:

    Đề thi Olympic Tiếng Anh lớp 11

    What is the value of the expression above?

Chúc mừng Bạn đã hoàn thành bài!

Đề thi Olympic Tiếng Anh lớp 11 vòng 3 năm 2013 - 2014 Kết quả
  • Thời gian làm bài: 00:00:00
  • Số câu đã làm: 0
  • Điểm tạm tính: 0
  • Điểm thưởng: 0

Đấu trường Đề thi Olympic Tiếng Anh lớp 11 vòng 3 năm 2013 - 2014

Đang tìm đối thủ...

Đang tải...

Xác thực tài khoản!

Theo Nghị định 147/2024/ND-CP, bạn cần xác thực tài khoản trước khi sử dụng tính năng này. Chúng tôi sẽ gửi mã xác thực qua SMS hoặc Zalo tới số điện thoại mà bạn nhập dưới đây:

Số điện thoại chưa đúng định dạng!
Số điện thoại này đã được xác thực!
Bạn có thể dùng Sđt này đăng nhập tại đây!
Lỗi gửi SMS, liên hệ Admin
Sắp xếp theo