Giao diện mới của VnDoc Pro: Dễ sử dụng hơn - chỉ tập trung vào lớp bạn quan tâm. Vui lòng chọn lớp mà bạn quan tâm: Lưu và trải nghiệm
Đóng
Điểm danh hàng ngày
  • Hôm nay +3
  • Ngày 2 +3
  • Ngày 3 +3
  • Ngày 4 +3
  • Ngày 5 +3
  • Ngày 6 +3
  • Ngày 7 +5
Bạn đã điểm danh Hôm nay và nhận 3 điểm!
Nhắn tin Zalo VNDOC để nhận tư vấn mua gói Thành viên hoặc tải tài liệu Hotline hỗ trợ: 0936 120 169

Đề thi Olympic Tiếng Anh lớp 9 vòng 16 năm 2013 - 2014

Đóng
Bạn đã dùng hết 1 lần làm bài Trắc nghiệm miễn phí. Mời bạn mua tài khoản VnDoc PRO để tiếp tục! Tìm hiểu thêm
Mô tả thêm:

Đề thi Tiếng Anh qua mạng (IOE) lớp 9

VnDoc xin giới thiệu tới các bạn Đề thi Olympic Tiếng Anh lớp 9 vòng 16 năm 2013 - 2014 được biên soạn kỹ lưỡng và chi tiết nhằm mang đến tài liệu ôn tập ngữ pháp tiếng anh hữu ích nhất với những câu hỏi về kiến thức môn toán được thể hiện qua ngôn ngữ tiếng anh.

Đề thi Olympic Tiếng Anh lớp 9 vòng 15 năm 2013 - 2014

Đề thi Olympic Tiếng Anh lớp 9 vòng 14 năm 2013 - 2014

  • Số câu hỏi: 10 câu
  • Số điểm tối đa: 10 điểm
Bắt đầu làm bài
Bạn còn 1 lượt làm bài tập miễn phí. Hãy mua tài khoản VnDoc PRO để học không giới hạn nhé! Bạn đã HẾT lượt làm bài tập miễn phí! Hãy mua tài khoản VnDoc PRO để làm Trắc nghiệm không giới hạn và tải tài liệu nhanh nhé!
Mua ngay Đổi điểm
Trước khi làm bài bạn hãy
  • 1 Ôn tập kiến thức đã nêu trong phần Mô tả thêm
  • 2 Tìm không gian và thiết bị phù hợp để tập trung làm bài
  • 3 Chuẩn bị sẵn dụng cụ cần dùng khi làm bài như bút, nháp, máy tính
  • 4 Căn chỉnh thời gian làm từng câu một cách hợp lý
  • Câu 1: Nhận biết

    Câu 1

    If x > 0, what is 30 percent of 15x?

  • Câu 2: Nhận biết

    Câu 2

    The percent increase from 8 to 14 is equal to the percent increase from 20 to what number?

  • Câu 3: Nhận biết

    Câu 3

    Which of the following is equal in value to 1 plus (100 percent of 1)?

  • Câu 4: Nhận biết

    Câu 4

    A store has 660 books in stock. If 30 percent of these books are on sale, how many books are not on sale?

  • Câu 5: Nhận biết

    Câu 5

    A special lottery is to be held to select the student who will live in the only deluxe room in a dormitory. There are 100 seniors, 150 juniors, and 200 sophomores who applied. Each senior's name is placed in the lottery 3 times; each junior's name, 2 times; and each sophomore's name, 1 time. If a student's name is chosen at random from the names in the lottery, what is the probability that a senior's name will be chosen?

  • Câu 6: Nhận biết

    Câu 6


    The table above shows the temperatures at noon, in degrees Fahrenheit, in a city in Hawaii over a oneweek period. If m represents the median of these temperatures, f represents the temperature that occurred most often, and a represents the average (arithmetic mean) of these seven temperatures, which of the following is the correct order of m, f, and a?

  • Câu 7: Nhận biết

    Câu 7

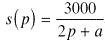
    The projected sales volume of a video game cartridge is given by the function , where s is the number of cartridges sold, in thousands; p is the price per cartridge, in dollars; and a is a constant. If according to the projections, 100,000 cartridges are sold at $10 per cartridge, how many cartridges will be sold at $20 per cartridge?

  • Câu 8: Nhận biết

    Câu 8


    In the xy-coordinate plane above, line l contains the points (0, 0) and (1, 2). If line m (not shown) contains the point (0, 0) and is perpendicular to l, what is an equation of m?

  • Câu 9: Nhận biết

    Câu 9


    I. 15

    II. 20
    III. 22

    If two sides of the triangle above have lengths 5 and 6, the perimeter of the triangle could be which of the above?

  • Câu 10: Nhận biết

    Câu 10

    If x > 1 and , what is the value of m?

Chúc mừng Bạn đã hoàn thành bài!

Đề thi Olympic Tiếng Anh lớp 9 vòng 16 năm 2013 - 2014 Kết quả
  • Thời gian làm bài: 00:00:00
  • Số câu đã làm: 0
  • Điểm tạm tính: 0
  • Điểm thưởng: 0

Đấu trường Đề thi Olympic Tiếng Anh lớp 9 vòng 16 năm 2013 - 2014

Đang tìm đối thủ...

Đang tải...

Xác thực tài khoản!

Theo Nghị định 147/2024/ND-CP, bạn cần xác thực tài khoản trước khi sử dụng tính năng này. Chúng tôi sẽ gửi mã xác thực qua SMS hoặc Zalo tới số điện thoại mà bạn nhập dưới đây:

Số điện thoại chưa đúng định dạng!
Số điện thoại này đã được xác thực!
Bạn có thể dùng Sđt này đăng nhập tại đây!
Lỗi gửi SMS, liên hệ Admin
Sắp xếp theo