Giao diện mới của VnDoc Pro: Dễ sử dụng hơn - chỉ tập trung vào lớp bạn quan tâm. Vui lòng chọn lớp mà bạn quan tâm: Lưu và trải nghiệm
Đóng
Điểm danh hàng ngày
  • Hôm nay +3
  • Ngày 2 +3
  • Ngày 3 +3
  • Ngày 4 +3
  • Ngày 5 +3
  • Ngày 6 +3
  • Ngày 7 +5
Bạn đã điểm danh Hôm nay và nhận 3 điểm!
Nhắn tin Zalo VNDOC để nhận tư vấn mua gói Thành viên hoặc tải tài liệu Hotline hỗ trợ: 0936 120 169

Đề thi Olympic Tiếng Anh lớp 9 vòng 21 năm 2013 - 2014

Đóng
Bạn đã dùng hết 1 lần làm bài Trắc nghiệm miễn phí. Mời bạn mua tài khoản VnDoc PRO để tiếp tục! Tìm hiểu thêm
Mô tả thêm:

Đề thi Tiếng Anh qua mạng (IOE) lớp 9

Nhằm giúp các em học sinh ôn tập và củng cố kiến thức, đạt được kết quả cao trong các vòng tiếp theo của cuộc thi Olympic giải Tiếng Anh qua mạng, VnDoc xin giới thiệu Đề thi Olympic Tiếng Anh lớp 9 vòng 21 năm 2013 - 2014. Mời các em tham khảo và cùng thử đánh giá khả năng bản thân.

Đề thi Olympic Tiếng Anh lớp 9 vòng 19 năm 2013 - 2014

Đề thi Olympic Tiếng Anh lớp 9 vòng 20 năm 2013 - 2014

  • Số câu hỏi: 10 câu
  • Số điểm tối đa: 10 điểm
Bắt đầu làm bài
Bạn còn 1 lượt làm bài tập miễn phí. Hãy mua tài khoản VnDoc PRO để học không giới hạn nhé! Bạn đã HẾT lượt làm bài tập miễn phí! Hãy mua tài khoản VnDoc PRO để làm Trắc nghiệm không giới hạn và tải tài liệu nhanh nhé!
Mua ngay Đổi điểm
Trước khi làm bài bạn hãy
  • 1 Ôn tập kiến thức đã nêu trong phần Mô tả thêm
  • 2 Tìm không gian và thiết bị phù hợp để tập trung làm bài
  • 3 Chuẩn bị sẵn dụng cụ cần dùng khi làm bài như bút, nháp, máy tính
  • 4 Căn chỉnh thời gian làm từng câu một cách hợp lý
  • Câu 1: Nhận biết

    Câu 1

    Pipe A can fill a tank in 8 hours. When both pipe A and pipe B are used, the tank is filled in 5 hours. How long, in hours, would it take pipe B alone to fill the tank?

  • Câu 2: Nhận biết

    Câu 2

    Jack and Jill sat at the ends of an 18-foot long seesaw where the fulcrum was placed in the middle of the board. By placing a 20-pound weight 3 feet in front of Jill, they were in bal-ance. If Jack weighs 140 pounds, which equation could be used to determine Jill's weight (x) in pounds?

  • Câu 3: Nhận biết

    Câu 3


    When the expression above is simplified, the numerator is: 

  • Câu 4: Nhận biết

    Câu 4


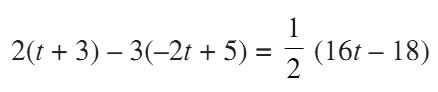
    Solve for t in the expression above.

  • Câu 5: Nhận biết

    Câu 5

    What is the value of c if x2 + 7x + c is a perfect square?

  • Câu 6: Nhận biết

    Câu 6


    The figure shows the graph of y = x2 – 2x – 3. The expression x2 – 2x – 3 is less than zero when:

  • Câu 7: Nhận biết

    Câu 7

    The vertex of the parabola represented by y = x2 + 8x + 13 is in which quadrant?

  • Câu 8: Nhận biết

    Câu 8


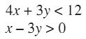
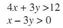
    The shaded region above is determined by which pair of inequalities?

  • Câu 9: Nhận biết

    Câu 9


    Which of the following is an equation for line m?

  • Câu 10: Nhận biết

    Câu 10

    Two planes intersect at line AB. Each plane contains a line that does not intersect AB. Which of the following terms describes the relationship between these two lines?

Chúc mừng Bạn đã hoàn thành bài!

Đề thi Olympic Tiếng Anh lớp 9 vòng 21 năm 2013 - 2014 Kết quả
  • Thời gian làm bài: 00:00:00
  • Số câu đã làm: 0
  • Điểm tạm tính: 0
  • Điểm thưởng: 0

Đấu trường Đề thi Olympic Tiếng Anh lớp 9 vòng 21 năm 2013 - 2014

Đang tìm đối thủ...

Đang tải...

Xác thực tài khoản!

Theo Nghị định 147/2024/ND-CP, bạn cần xác thực tài khoản trước khi sử dụng tính năng này. Chúng tôi sẽ gửi mã xác thực qua SMS hoặc Zalo tới số điện thoại mà bạn nhập dưới đây:

Số điện thoại chưa đúng định dạng!
Số điện thoại này đã được xác thực!
Bạn có thể dùng Sđt này đăng nhập tại đây!
Lỗi gửi SMS, liên hệ Admin
Sắp xếp theo