Giao diện mới của VnDoc Pro: Dễ sử dụng hơn - chỉ tập trung vào lớp bạn quan tâm. Vui lòng chọn lớp mà bạn quan tâm: Lưu và trải nghiệm
Đóng
Điểm danh hàng ngày
  • Hôm nay +3
  • Ngày 2 +3
  • Ngày 3 +3
  • Ngày 4 +3
  • Ngày 5 +3
  • Ngày 6 +3
  • Ngày 7 +5
Bạn đã điểm danh Hôm nay và nhận 3 điểm!
Nhắn tin Zalo VNDOC để nhận tư vấn mua gói Thành viên hoặc tải tài liệu Hotline hỗ trợ: 0936 120 169

Đề thi Olympic Tiếng Anh lớp 9 vòng 31 năm 2013 - 2014

Đóng
Bạn đã dùng hết 1 lần làm bài Trắc nghiệm miễn phí. Mời bạn mua tài khoản VnDoc PRO để tiếp tục! Tìm hiểu thêm
Mô tả thêm:

Đề thi Tiếng Anh qua mạng (IOE) lớp 9

VnDoc xin giới thiệu tới các bạn tài liệu tham khảo hỗ trợ quá trình ôn luyện ngữ pháp tiếng anh, làm quen với nhiều dạng câu cũng như các dạng bài toán tiếng anh khác nhau. Cùng bắt đầu làm Đề thi Olympic Tiếng Anh lớp 9 vòng 31 năm 2013 - 2014 ngay thôi nào!

Đề thi Olympic Tiếng Anh lớp 9 vòng 29 năm 2013 - 2014

Đề thi Olympic Tiếng Anh lớp 9 vòng 30 năm 2013 - 2014

  • Số câu hỏi: 10 câu
  • Số điểm tối đa: 10 điểm
Bắt đầu làm bài
Bạn còn 1 lượt làm bài tập miễn phí. Hãy mua tài khoản VnDoc PRO để học không giới hạn nhé! Bạn đã HẾT lượt làm bài tập miễn phí! Hãy mua tài khoản VnDoc PRO để làm Trắc nghiệm không giới hạn và tải tài liệu nhanh nhé!
Mua ngay Đổi điểm
Trước khi làm bài bạn hãy
  • 1 Ôn tập kiến thức đã nêu trong phần Mô tả thêm
  • 2 Tìm không gian và thiết bị phù hợp để tập trung làm bài
  • 3 Chuẩn bị sẵn dụng cụ cần dùng khi làm bài như bút, nháp, máy tính
  • 4 Căn chỉnh thời gian làm từng câu một cách hợp lý
  • Câu 1: Nhận biết

    Câu 1

    Which expression is equivalent to ( 5y3 + 2y - 8 )/( y - 1 )?

  • Câu 2: Nhận biết

    Câu 2

     If h(x) = 2x and g(x) = 3x2 + 1, what is h(g(x))?

  • Câu 3: Nhận biết

    Câu 3

    Carmen wants to survey students to determine how often they use the Internet. Which group would be the best to survey?

  • Câu 4: Nhận biết

    Câu 4

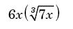
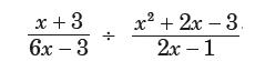
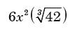
    Which expression is equivalent to 

  • Câu 5: Nhận biết

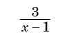
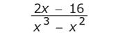
    Câu 5

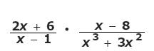
    Which expression is equivalent to 

  • Câu 6: Nhận biết

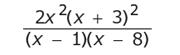
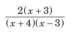
    Câu 6

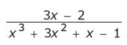
    Which expression is equivalent to 

  • Câu 7: Nhận biết

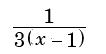
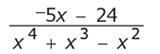
    Câu 7

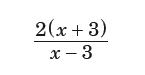
    Which expression is equivalent to 

  • Câu 8: Nhận biết

    Câu 8


    A circle of area 25π circumscribes a regular pentagon as shown. To the nearest tenth, what is the length of an arc joining two adjacent vertices?
  • Câu 9: Nhận biết

    Câu 9

    What are the zeros of the polynomial p(x) = x3 − 2x2 − 23x + 60?

  • Câu 10: Nhận biết

    Câu 10

    Simplify: (64x5)/4x2

     

Chúc mừng Bạn đã hoàn thành bài!

Đề thi Olympic Tiếng Anh lớp 9 vòng 31 năm 2013 - 2014 Kết quả
  • Thời gian làm bài: 00:00:00
  • Số câu đã làm: 0
  • Điểm tạm tính: 0
  • Điểm thưởng: 0

Đấu trường Đề thi Olympic Tiếng Anh lớp 9 vòng 31 năm 2013 - 2014

Đang tìm đối thủ...

Đang tải...

Xác thực tài khoản!

Theo Nghị định 147/2024/ND-CP, bạn cần xác thực tài khoản trước khi sử dụng tính năng này. Chúng tôi sẽ gửi mã xác thực qua SMS hoặc Zalo tới số điện thoại mà bạn nhập dưới đây:

Số điện thoại chưa đúng định dạng!
Số điện thoại này đã được xác thực!
Bạn có thể dùng Sđt này đăng nhập tại đây!
Lỗi gửi SMS, liên hệ Admin
Sắp xếp theo