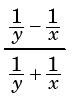
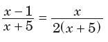
Câu 1
Simplify: 
Nhằm giúp học sinh có thể rèn luyện được ngữ pháp cùng cách xử lý câu tiếng anh trong các môn học khác nhau VnDoc xin giới thiệu bài thi trắc nghiệm đánh giá Đề thi Olympic Tiếng Anh lớp 9 vòng 35 năm 2013 - 2014. Cùng bắt đầu làm bài và theo dõi số điểm mình sẽ đạt được thôi nào!
Đang tải...
Theo Nghị định 147/2024/ND-CP, bạn cần xác thực tài khoản trước khi sử dụng tính năng này. Chúng tôi sẽ gửi mã xác thực qua SMS hoặc Zalo tới số điện thoại mà bạn nhập dưới đây: