Giao diện mới của VnDoc Pro: Dễ sử dụng hơn - chỉ tập trung vào lớp bạn quan tâm. Vui lòng chọn lớp mà bạn quan tâm: Lưu và trải nghiệm
Đóng
Điểm danh hàng ngày
  • Hôm nay +3
  • Ngày 2 +3
  • Ngày 3 +3
  • Ngày 4 +3
  • Ngày 5 +3
  • Ngày 6 +3
  • Ngày 7 +5
Bạn đã điểm danh Hôm nay và nhận 3 điểm!
Nhắn tin Zalo VNDOC để nhận tư vấn mua gói Thành viên hoặc tải tài liệu Hotline hỗ trợ: 0936 120 169

Đề thi thử THPT Quốc gia môn Sinh học năm 2016 tỉnh Bình Thuận

Đóng
Bạn đã dùng hết 1 lần làm bài Trắc nghiệm miễn phí. Mời bạn mua tài khoản VnDoc PRO để tiếp tục! Tìm hiểu thêm
Mô tả thêm:

Đề thi thử đại học môn Sinh có đáp án

VnDoc xin giới thiệu tới các bạn học sinh lớp 12 một tài liệu ôn tập môn Sinh, đó là Đề thi thử THPT Quốc gia môn Sinh học năm 2016 tỉnh Bình Thuận. Tham gia làm bài để đánh giá trình độ năng lực bản thân và kịp thời bổ sung các kiến thức còn thiếu để đạt kết quả cao trong kì thi THPT Quốc gia năm 2016 sắp tới. Chúc các bạn thi tốt!

  • Thời gian làm: 90 phút
  • Số câu hỏi: 50 câu
  • Số điểm tối đa: 50 điểm
Bắt đầu làm bài
Bạn còn 1 lượt làm bài tập miễn phí. Hãy mua tài khoản VnDoc PRO để học không giới hạn nhé! Bạn đã HẾT lượt làm bài tập miễn phí! Hãy mua tài khoản VnDoc PRO để làm Trắc nghiệm không giới hạn và tải tài liệu nhanh nhé!
Mua ngay Đổi điểm
Trước khi làm bài bạn hãy
  • 1 Ôn tập kiến thức đã nêu trong phần Mô tả thêm
  • 2 Tìm không gian và thiết bị phù hợp để tập trung làm bài
  • 3 Chuẩn bị sẵn dụng cụ cần dùng khi làm bài như bút, nháp, máy tính
  • 4 Căn chỉnh thời gian làm từng câu một cách hợp lý
  • Câu 1: Nhận biết

    Câu 1:

    Khi nói về cơ quan tương đồng, có mấy ví dụ sau đây là đúng?

    (1). Tuyến nọc độc của rắn và tuyến nước bọt,       (2). Củ khoai lang và củ khoai tây,

    (3). Gai cây hoàng liên và gai cây hoa hồng,           (4). Chân chuột chũi và chân dế dũi,

    (5). Vòi hút của bướm và mỏ chim ruồi,                 (6). Cánh dơi, cánh chim.

  • Câu 2: Nhận biết

    Câu 2:

    Bằng chứng tiến hóa trực tiếp là:

  • Câu 3: Nhận biết

    Câu 3:

    Trong quá trình nhân đôi ADN, enzim ARN pôlymeraza có vai trò:

  • Câu 4: Nhận biết

    Câu 4:

    Về hệ sinh thái, có mấy phát biểu sau đây là đúng?

    (1). Hệ sinh thái nhân tạo có độ đa dạng sinh học cao hơn so với hệ sinh thái tự nhiên.

    (2). Một hệ nhân tạo vẫn được gọi là hệ sinh thái nếu thiếu thành phần các loài động vật.

    (3). Hệ sinh thái tự nhiên là một hệ mở, tự điều chỉnh.

    (4). Dựa vào nguồn gốc để phân loại ta có hệ sinh thái tự nhiên và hệ sinh nhân tạo.

  • Câu 5: Nhận biết

    Câu 5:

    Cho các ví dụ thể hiện các mối quan hệ sinh thái như sau: - hải quỳ và cua - cây nắp ấm bắt mồi - kiến và cây kiến - virut và tế bào vật chủ - cây tầm gửi và cây chủ - cá mẹ ăn cá con - địa y - tỉa thưa ở thực vật - sáo đậu trên lưng trâu - cây mọc theo nhóm - tảo biển làm chết cá nhỏ ở vùng xung quanh - khi gặp nguy hiểm, đàn trâu rừng xếp thành vòng tròn, đưa con non và con già vào giữa.

    Có mấy nhận định sau đây là đúng khi phân tích đặc điểm của các mối quan hệ sinh thái trong các ví dụ trên?

    (1). Quan hệ sinh thái giữa các sinh vật diễn ra trong quần xã và cả trong quần thể.

    (2). Có 6 ví dụ thể hiện mối quan hệ gây hại cho ít nhất một loài sinh vật.

    (3). Có 6 ví dụ thể hiện mối quan hệ hỗ trợ trong quần xã.

    (4). Không có ví dụ nào ở trên thể hiện mối quan hệ hội sinh.

    (5). Có 2 ví dụ thể hiện mối quan hệ kí sinh.

    (6). Có một ví dụ thể hiện mối quan hệ ức chế cảm nhiễm hay hợp tác.

  • Câu 6: Nhận biết

    Câu 6:

    Về thành phần cấu trúc của hệ sinh thái, có bao nhiêu phát biểu sau đây là sai?

    (1). Tất cả các loài vi sinh vật đều được xếp vào nhóm sinh vật phân giải.

    (2). Trong hệ sinh thái, vật chất được truyền một chiều từ sinh vật sản xuất qua các bậc dinh dưỡng tới môi trường và không được tái sử dụng.

    (3). Sinh vật đóng vai trò quan trọng nhất trong việc truyền năng lượng từ môi trường vô sinh vào trong hệ sinh thái là nhóm sinh vật phân giải như vi khuẩn, nấm.

    (4). Hệ sinh thái bao gồm quần xã sinh vật và sinh cảnh, trong đó các cá thể sinh vật trong quần xã có tác động lẫn nhau và tác động qua lại với sinh cảnh.

  • Câu 7: Nhận biết

    Câu 7:

    Một kỹ thuật tạo giống bò được mô tả như hình dưới đây:

    Đề thi thử THPT Quốc gia môn Sinh học năm 2016

    Với kỹ thuật tạo giống này, có bao nhiêu phát biểu sau đây là đúng?

    (1). Đây là kỹ thuật cấy truyền phôi.

    (2). Các bò con được sinh ra đều có kiểu gen khác nhau và cùng giới.

    (3). Các bò con được sinh ra đều là bò đực hoặc bò cái.

    (4). Kỹ thuật trên cho phép tạo ra một số lượng lớn các con bò có kiểu gen khác nhau.

  • Câu 8: Nhận biết

    Câu 8:

    Ở sinh vật nhân thực, nguyên tắc bổ sung giữa G-X, A-U và ngược lại được thể hiện trong cấu trúc phân tử và quá trình nào sau đây?

    (1) Quá trình phiên mã, (2) Phân tử tARN, (3) Phân tử rARN, (4) Quá trình dịch mã.

  • Câu 9: Nhận biết

    Câu 9:

    Cho các thành phần: (1) mARN của gen cấu trúc, (2) Các loại nuclêôtit A, U, G, X, (3) ARN pôlymeraza, (4) ADN ligaza, (5) ADN pôlymeraza.

    Có mấy thành phần tham gia vào quá trình phiên mã các gen cấu trúc của Opêron Lac ở E.coli?

  • Câu 10: Nhận biết

    Câu 10:

    Khi ADN nhân đôi, tác nhân gây đột biến 5-BU tác động sẽ gây ra loại đột biến:

  • Câu 11: Nhận biết

    Câu 11:

    Giả sử năng lượng tích lũy của các sinh vật trong một chuỗi thức ăn như sau: sinh vật sản xuất là 3x106 Kcal; sinh vật tiêu thụ bậc 1 là 14x105 Kcal; sinh vật tiêu thụ bậc 2 là 196 x103 Kcal; sinh vật tiêu thụ bậc 3 là 15x103 Kcal; sinh vật tiêu thụ bậc 4 là 1.620 Kcal.

    Hiệu suất sinh thái giữa bậc dinh dưỡng cấp 4 so với cấp 2 và động vật ăn thịt cấp 3 so với động vật ăn thịt cấp 1 lần lượt là:

  • Câu 12: Nhận biết

    Câu 12:

    Ở cà độc dược, bộ nhiễm sắc thể 2n = 24. Một tế bào sinh dưỡng nguyên phân không bình thường khi có một nhiễm sắc thể kép không phân li, kết thúc quá trình nguyên phân này sẽ tạo ra:

  • Câu 13: Nhận biết

    Câu 13:

    Trong lịch sử phát triển sự sống trên trái đất, thực vật có hoa xuất hiện ở: 

  • Câu 14: Nhận biết

    Câu 14:

    Có các phát biểu sau về mã di truyền:

    (1). Với bốn loại nuclêotit có thể tạo ra tối đa 64 cođon mã hóa các axit amin.

    (2). Mỗi cođon chỉ mã hóa cho một loại axit amin gọi là tính đặc hiệu của mã di truyền.

    (3). Với ba loại nuclêotit A, U, G có thể tạo ra tối đa 27 cođon mã hóa các axit amin.

    (4). Anticođon của axit amin mêtiônin là 5'AUG3'.

    Phương án trả lời đúng là:

  • Câu 15: Nhận biết

    Câu 15:

    Trong các phát biểu sau đây về ưu thế lai, có mấy phát biểu đúng?

    (1). Khi lai giữa hai dòng thuần chủng có kiểu gen khác nhau, phép lai thuận có thể không tạo ưu thế lai nhưng phép lai nghịch lại có thể tạo được ưu thế lai và ngược lại;

    (2). Khi lai giữa hai dòng thuần có kiểu gen khác nhau, ưu thế lai biểu hiện ở đời F1 và tăng dần qua các thế hệ;

    (3). Các con lai F1 có ưu thế lai được giữ lại làm giống;

    (4). Khi lai các cá thể thuộc cùng một dòng thuần chủng luôn cho con lai có ưu thế lai.   

  • Câu 16: Nhận biết

    Câu 16:

    Có các phát biểu về vai trò của đột biến đối với quá trình tiến hóa như sau:

    (1). Đột biến cấu trúc nhiễm sắc thể góp phần hình thành loài mới.

    (2). Đột biến nhiễm sắc thể thường gây chết cho thể đột biến, do đó không có ý nghĩa đối với quá trình tiến hóa.

    (3). Đột biến là nhân tố tiến hóa vì làm thay đổi tần số alen và thành phần kiểu gen của quần thể.

    (4). Đột biến gen cung cấp nguyên liệu cho quá trình tiến hóa.

    Phương án trả lời đúng là:

  • Câu 17: Nhận biết

    Câu 17:

    Ở người, bệnh điếc bẩm sinh do gen lặn nằm trên nhiễm sắc thể thường quy định, bệnh mù màu do gen lặn nằm trên vùng không tương đồng của nhiễm sắc thể giới tính X. Một cặp vợ chồng, có anh vợ bị mù màu, em vợ bị điếc bẩm sinh; mẹ chồng bị điếc bẩm sinh, những người khác trong gia đình không ai bị một trong hai hoặc bị cả hai bệnh này. Xác suất để đứa con trai đầu lòng của cặp vợ chồng này không bị đồng thời cả hai bệnh nói trên là:

  • Câu 18: Nhận biết

    Câu 18:

    Về ý nghĩa nguyên phân, có bao nhiêu phương án trả lời đúng?

    (1) Duy trì tình đặc trưng của bộ nhiễm sắc thể qua các thế hệ tế bào; (2) Tạo ra các biến dị tổ hợp phong phú; (3) Tạo ra các giao tử đơn bội từ các tế bào lưỡng bội; (4) Đảm bảo sự thay thế và đổi mới tế bào ở cơ thể đa bào; (5) Là cơ sở của sự sinh sản vô tính; (6) Cho phép thụ tinh phục hồi bộ nhiễm sắc thể của loài.

  • Câu 19: Nhận biết

    Câu 19:

    Trong một đầm lầy tự nhiên, cá chép và cá trê sử dụng ốc bươu vàng làm thức ăn, cá chép là thức ăn của rái cá. Do điều kiện môi trường khắc nghiệt làm cho kích thước của các quần thể nói trên đều giảm mạnh đến kích thước tối thiểu. Sau một thời gian, nếu điều kiện môi trường thuận lợi trở lại thì quần thể khôi phục kích thước nhanh nhất là:

  • Câu 20: Nhận biết

    Câu 20:

     Ở một quần thể ngẫu phối, mỗi gen quy định một tính trạng, alen trội là trội hoàn toàn. Thế hệ ban đầu có tỉ lệ kiểu gen là: 0,4 AaBb : 0,2 Aabb : 0,2 aaBb : 0,2 aabb. Theo lý thuyết ở F1 có:

  • Câu 21: Nhận biết

    Câu 21:

    Phương pháp nào sau đây được dùng để tạo ra giống cây khác loài?
    (1) lai tế bào xôma - (2) lai khác dòng, khác thứ - (3) lai xa kèm đa bội hóa - (4) nuôi cấy tế bào.

  • Câu 22: Nhận biết

    Câu 22:

    Ở một loài động vật, biết mỗi tính trạng do một gen quy định và alen trội là trội hoàn toàn, khi không có đột biến phát sinh, hoán vị gen xảy ra ở cả hai giới với tần số là 20%. Cho phép lai:  Đề thi thử đại học môn sinh. Theo lý thuyết, kết luận nào sau đây là đúng?

  • Câu 23: Nhận biết

    Câu 23:

    Một loài thực vật, khi cho giao phấn giữa cây quả dẹt với cây quả bầu dục thu được F1 gồm toàn cây quả dẹt. Cho cây F1 lai với cây đồng hợp lặn về các cặp gen, thu được đời con có kiểu hình phân li theo tỉ lệ là 1 quả dẹt : 2 quả tròn : 1 quả bầu dục. Cho cây F1 tự thụ phấn thu được F2, cho tất cả các cây quả tròn F2 giao phấn với nhau thu được F3. Lấy ngẫu nhiên một cây F3 đem trồng; nếu đột biến không phát sinh, theo lí thuyết, xác suất để cây này có kiểu hình quả bầu dục là:

  • Câu 24: Nhận biết

    Câu 24:

    Ở một loài thực vật, cho cây thân cao, hoa đỏ dị hợp về tất cả các cặp gen giao phấn với nhau, đời con thu được F1 tỉ lệ là 9 cao, đỏ : 3 cao, trắng : 4 thấp, trắng. Biết tính trạng chiều cao cây do cặp gen Dd quy định; tính trạng màu hoa do sự tương tác giữa hai cặp alen Aa và Bb quy định, quá trình giảm phân không xảy ra đột biến và hoán vị gen. Có mấy phép lai sau đây không phù hợp với kết quả trên?
    Đề thi thử đại học môn sinh
  • Câu 25: Nhận biết

    Câu 25:

    Có các phát biểu sau về đặc điểm của hiện tượng tự phối:
    (1). Qua nhiều thế hệ tự phối, tỉ lệ kiểu gen dị hợp giảm dần, tỉ lệ kiểu gen đồng hợp tăng dần.
    (2). Sự tự phối qua các thế hệ làm tăng sự đa dạng di truyền trong quần thể.
    (3). Sự tự phối bắt buộc qua nhiều thế hệ hình thành những dòng thuần có kiểu gen khác nhau.
    (4). Giao phối gần qua các thế hệ không làm thay đổi tần số alen và thành phần kiểu gen trong quần thể.
    Phương án trả lời đúng là:

  • Câu 26: Nhận biết

    Câu 26:

    Ở người, tính trạng nhóm máu do một gen có 3 alen (IA, IB, IO) nằm trên nhiễm sắc thể thường quy định. Một quần thể ở trạng thái cân bằng di truyền, có tần số các alen là: IA = 0,5; IB = 0,2; IO = 0,3. Có mấy phát biểu sau đây là đúng?
    (1). Người có nhóm máu AB chiếm tỉ lệ 10% .
    (2). Người nhóm máu O chiếm tỉ lệ 9%.
    (3). Có 3 kiểu gen đồng hợp về tính trạng nhóm máu.
    (4). Người nhóm máu A chiếm tỉ lệ 35% .
    (5). Trong số những người có nhóm máu A, người đồng hợp chiếm tỉ lệ 5/11.

  • Câu 27: Nhận biết

    Câu 27:

    Một loài động vật, locut gen quy định màu sắc lông gồm 2 alen, trong đó các kiểu gen khác nhau về locut này quy định các kiểu hình khác nhau; locut quy định màu mắt gồm 2 alen, alen trội là trội hoàn toàn. Hai locut này cùng nằm trên nhiễm sắc thể giới tính X tại vùng không tương đồng. Cho biết không xảy ra đột biến, theo lý thuyết, số loại kiểu gen và số loại kiểu hình tối đa của cả 2 giới ở hai locut trên là:

  • Câu 28: Nhận biết

    Câu 28:

    Trong các mối quan hệ sinh thái sau, mối quan hệ có thể gây hại cho sinh vật là
    (1) cạnh tranh khác loài, (2) ức chế - cảm nhiễm, (3) con mồi và vật dữ, (4) hội sinh, (5) vật kí sinh và vật chủ, (6) cộng sinh.

  • Câu 29: Nhận biết

    Câu 29:

    Theo lý thuyết, khi không xảy ra đột biến, đời con của phép lai nào sau đây sẽ có nhiều loại kiểu gen nhất?
    Đề thi thử đại học môn sinh
  • Câu 30: Nhận biết

    Câu 30:

    Ở cừu, tính trạng có sừng do một gen có hai alen quy định (alen B: có sừng, alen b: không sừng), nhưng kiểu gen Bb có sừng ở cừu đực và không sừng ở cừu cái. Trong một quần thể cân bằng di truyền có thành phần kiểu gen ở cừu đực và cừu cái đều là 0,01 BB : 0,18 Bb : 0,81 bb; quần thể này có 1.000 con cừu với tỉ lệ đực, cái như nhau. Có mấy phát biểu sau đây đúng?
    (1). Số cá thể không sừng là 500 con.
    (2). Số cá thể có sừng ở cừu đực là 90 con.
    (3). Tỉ lệ cá thể cừu đực dị hợp trong số cá thể có sừng của cả quần thể chiếm 90%.
    (4). Số cá thể cừu đực không sừng là 5 con; số cá thể cừu cái có sừng là 405 con.

  • Câu 31: Nhận biết

    Câu 31:

    Quan hệ hỗ trợ giữa các cá thể trong quần thể có ý nghĩa: (1) Đảm bảo cho quần thể thích nghi tốt hơn với điều kiện môi trường, (2) Giúp quần thể sinh vật duy trì mật độ phù hợp với sức chứa của môi trường, (3) Tạo hiệu quả nhóm, giúp sinh vật khai thác tối ưu nguồn sống, (4) Loại bỏ các cá thể yếu, giữ lại các cá thể có đặc điểm thích nghi với môi trường, (5) Tăng khả năng sống sót và sinh sản của các cá thể trong quần thể.

  • Câu 32: Nhận biết

    Câu 32:

    Các tế bào phát sinh giao tử tại vùng chín của một cơ thể đực có kiểu gen Đề thi thử đại học môn sinh giảm phân hình thành giao tử. Biết quá trình giảm phân xảy ra bình thường và có 1/3 số tế bào xảy ra hoán vị gen. Theo lý thuyết, số lượng tế bào sinh dục chín tối thiểu tham gia giảm phân để thu được số loại giao tử tối đa mang các gen trên là:

  • Câu 33: Nhận biết

    Câu 33:

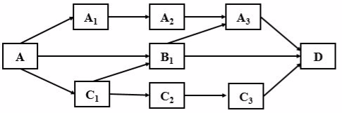
    Cho sơ đồ lưới thức ăn dưới nước trong hệ sinh thái như sau: 
    Đề thi thử đại học môn sinh

    Có bao nhiêu nhận xét sau đây là đúng?
    (1). Lưới thức ăn này có tối đa 6 chuỗi thức ăn.
    (2). Giả sử môi trường bị ô nhiễm, mức độ nhiễm độc cao nhất là loài B1.
    (3). Loài A3 tham gia vào 3 chuỗi thức ăn khác nhau, trong đó có 1 chuỗi loài A3 đóng vai trò sinh vật tiêu thụ bậc 3, 2 chuỗi loài A3 đóng vai trò sinh vật tiêu thụ bậc 2.
    (4). Loài B1 tham gia nhiều chuỗi thức ăn hơn loài A2.
    (5). Nếu số lượng loài A1 giảm thì số lượng loài A2 cũng giảm.
    (6). Loài D chắc chắn là vi sinh vật.
      

  • Câu 34: Nhận biết

    Câu 34:

    Ở ruồi giấm, tính trạng màu thân và độ dài cánh được quy định bởi 2 cặp gen alen có quan hệ trội lặn hoàn toàn (A: thân xám, a: thân đen; B: cánh dài, b: cánh cụt) cùng nằm trên một cặp nhiễm sắc thể (NST) thường. Alen D quy định mắt đỏ trội hoàn toàn so với alen d quy định mắt trắng nằm trên NST giới tính X, không có alen tương ứng trên NST Y. Phép lai giữa các cá thể thân xám, cánh dài, mắt đỏ với nhau thu được F1 có kiểu hình thân đen, cánh dài, mắt trắng chiếm tỉ lệ 5%. Trong trường hợp không xảy ra đột biến, theo lý thuyết, có mấy kết luận sau đây là đúng?
    (1). Tỉ lệ ruồi thân xám, cánh dài, mắt đỏ ở F1 chiếm tỉ lệ 32,5%.
    (2). Ở đời F1 có 32 loại kiểu gen khác nhau.
    (3). Tỉ lệ ruồi đực mang cả ba tính trạng trội ở F1 chiếm 13,75%.
    (4). Tỉ lệ ruồi cái F1 có kiểu hình thân đen, cánh cụt, mắt đỏ chiếm tỉ lệ 5%.

  • Câu 35: Nhận biết

    Câu 35:

    Khi cho P thuần chủng khác nhau về các cặp tính trạng tương phản giao phấn với nhau thu được F1 gồm toàn cây thân cao, hoa tím. Cho F1 lai với cây thứ 1 thu được đời con có tỉ lệ kiểu hình là 1 thân cao, hoa tím : 1 thân thấp, hoa trắng. Cho cây F1 lai với cây thứ 2 thu được đời con có tỉ lệ kiểu hình 3:1. Biết rằng A: thân cao, a: thân thấp; B: hoa tím; b: hoa trắng. Kiểu gen của cây F1, cây thứ 1 và cây thứ 2 lần lượt là:
    Đề thi thử đại học môn sinh
  • Câu 36: Nhận biết

    Câu 36:

    Một quần thể sinh vật có alen A bị đột biến thành alen a, alen b bị đột biến thành alen B và alen C bị đột biến thành alen c. Biết các cặp gen phân li độc lập, tác động riêng lẻ và alen trội là trội hoàn toàn. Có các nhận định sau về quần thể trên:
    (1) Có tối đa 30 kiểu gen quy định các tính trạng trên.
    (2) Có tối đa 10 loại kiểu hình.
    (3) Các kiểu gen aaBbCc, aaBBcc đều biểu hiện thành thể đột biến ở cả ba locut.
    (4). Có tối đa 6 loại kiểu gen dị hợp về 2 trong 3 cặp gen.

  • Câu 37: Nhận biết

    Câu 37:

    Một số hệ quả của các dạng đột biến cấu trúc nhiễm sắc thể (NST) là:
    (1) Làm thay đổi trình tự phân bố của các gen trên NST.
    (2) Làm giảm hoặc gia tăng số lượng gen trên NST.
    (3) Làm thay đổi thành phần các gen trong nhóm liên kết.
    (4) Làm cho một gen nào đó đang hoạt động có thể bị bất hoạt.
    (5) Có thể làm giảm khả năng sinh sản của thể đột biến.
    (6) Luôn làm thay đổi chiều dài của phân tử ADN trong cấu trúc của NST đó.
    Trong các hệ quả nói trên, có bao nhiêu hệ quả là của đột biến đảo đoạn NST?

  • Câu 38: Nhận biết

    Câu 38:

    Ở một loài thực vật, cặp nhiễm sắc thể số 1 chứa cặp gen Aa; cặp nhiễm sắc thể số 3 chứa cặp gen Bb. Nếu ở tất cả các tế bào phát sinh giao tử, cặp nhiễm sắc thể số 1 không phân li trong giảm phân II, cặp nhiễm sắc thể số 3 phân li bình thường thì cơ thể có kiểu gen AaBb giảm phân sẽ tạo ra các loại giao tử là:

  • Câu 39: Nhận biết

    Câu 39:

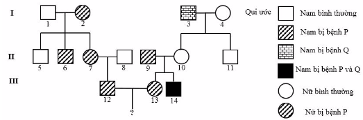
    Nghiên cứu sự di truyền của bệnh P, Q bằng phương pháp phả hệ, đã có được sơ đồ sau:
    Đề thi thử đại học môn sinh

    Xác suất để cặp vợ chồng ở thế hệ thứ III (12, 13) trong sơ đồ phả hệ trên sinh con không mắc cả hai bệnh (P và Q) là bao nhiêu?

  • Câu 40: Nhận biết

    Câu 40:

    Có các phát biểu sau đây về mức phản ứng:
    (1). Mức phản ứng là tập hợp các kiểu hình của cùng một kiểu gen tương ứng với điều kiện môi trường.
    (2). Mức phản ứng là kết quả sự tự điều chỉnh của kiểu hình trong giới hạn tương ứng với môi trường.
    (3). Tính trạng số lượng có mức phản ứng rộng, tính trạng chất lượng có mức phản ứng hẹp.
    (4). Mức phản ứng do môi trường quy định, không di truyền.
    Phương án trả lời đúng là:

  • Câu 41: Nhận biết

    Câu 41:

    Có các phát biểu sau về quá trình hình thành loài mới:
    (1). Quá trình hình thành loài mới chỉ diễn ra trong cùng khu vực địa lí.
    (2). Hình thành loài mới bằng cách li sinh thái là con đường hình thành loài nhanh nhất.
    (3). Hình thành loài mới bằng cách li địa lí có thể có sự tham gia của các yếu tố ngẫu nhiên.
    (4). Hình thành loài mới bằng cơ chế lai xa và đa bội hóa phổ biến ở thực vật.
    Phương án trả lời đúng là:

  • Câu 42: Nhận biết

    Câu 42:

    Gen M ở vi khuẩn có trình tự nuclêotit trên mạch mã gốc như sau:
    Đề thi thử đại học môn sinh

    Theo bảng mã di truyền, axit amin alanin được mã hóa bởi 4 bộ mã (triplet): 3’XGA5’; 3’XGG5’; 3’XGT5’; 3’XGX5’. Biết gen M trên quy định tổng hợp chuỗi pôlipeptit có 33 axit amin. Đã có những nhận định sau khi phân tích các dữ liệu trên:
    (1). Các cođon của axit amin alanin là 5’GXU3’; 5’GXX3’; 5’GXA3’; 5’GXG3’.
    (2). Đột biến thay thế cặp nuclêotit A - T ở vị trí 27 bằng cặp nuclêotit G - X và thay thế cặp nuclêotit X - G ở vị trí 57 bằng cặp nuclêotit A - T tạo ra alen mới quy định tổng hợp chuỗi pôlipeptit thay đổi 2 axit amin so với chuỗi pôlipeptit do gen M quy định tổng hợp.
    (3). Đột biến thay thế cặp nuclêotit ở vị trí 88 tạo ra alen mới quy định tổng hợp chuỗi pôlipeptit thay đổi một axit amin so với chuỗi pôlipeptit do gen M quy định tổng hợp.
    (4). Đột biến mất một cặp nuclêotit ở vị trí 99 tạo ra alen mới quy định tổng hợp chuỗi pôlipeptit ngắn hơn so với chuỗi pôlipeptit do gen M quy định tổng hợp.
    Phương án trả lời đúng là:

  • Câu 43: Nhận biết

    Câu 43:

    Gen D bị đột biến thành gen d. Cặp alen Dd cùng nhân đôi một số lần đã lấy từ môi trường nội bào tổng số nuclêotit loại A và G là 93.000, trong đó số nuclêotit loại A môi trường cung cấp cho alen D là 21.731, còn số nuclêotit loại G môi trường cung cấp cho alen d là 24.800. Biết chiều dài của hai alen đều bằng 510 nm, đột biến chỉ liên quan đến một cặp nuclêotit. Khẳng định nào sau đây không đúng?

  • Câu 44: Nhận biết

    Câu 44:

    Nếu kích thước của quần thể giảm xuống mức tối thiểu, quần thể dễ rơi vào trạng thái suy giảm và có thể bị diệt vong. Có các phát biểu sau đây:
    (1). Số lượng cá thể quá ít nên sự giao phối gần thường xảy ra, đe dọa sự tồn tại của quần thể.
    (2). Sự hỗ trợ giữa các cá thể giảm mạnh, khả năng chống chọi với thay đổi của môi trường giảm.
    (3). Khả năng sinh sản giảm do cá thể đực ít có cơ hội gặp cá thể cái.
    (4). Quần thể tăng trưởng theo đường cong hình chữ J.
    Phương án trả lời đúng là:

  • Câu 45: Nhận biết

    Câu 45:

    Ở một loài thực vật, gen A quy định hoa đỏ, gen B quy định quả tròn là trội hoàn toàn so với gen a quy định hoa trắng, gen b quy định quả dài nằm trên 2 cặp nhiễm sắc thể. Khi lai cây thuần chủng (P) hoa đỏ, quả tròn với cây hoa trắng, quả dài thu được F1, cho cây F1 tự thụ phấn thu được F2, kết quả tự thụ phấn F2 thu được F3. Theo lý thuyết, trong số các cây F3 thì tỉ lệ kiểu hình hoa đỏ, quả tròn thu được là:

  • Câu 46: Nhận biết

    Câu 46:

    Theo quan điểm của thuyết tiến hóa hiện đại, có mấy phát biểu sau đây là đúng?
    (1). Thực chất của chọn lọc tự nhiên là phân hóa khả năng sống sót và sinh sản của các cá thể trong loài.
    (2). Giao phối không ngẫu nhiên không chỉ làm thay đổi tần số alen mà còn làm thay đổi thành phần kiểu gen của quần thể.
    (3). Yếu tố ngẫu nhiên là nhân tố duy nhất làm thay đổi tần số alen của quần thể ngay cả khi không xảy ra đột biến và không có chọn lọc tự nhiên.
    (4). Chọn lọc tự nhiên đào thải alen lặn làm thay đổi tần số alen chậm hơn so với trường hợp chọn lọc chống lại alen trội.

  • Câu 47: Nhận biết

    Câu 47:

    Về diễn thế sinh thái thứ sinh, có mấy phát biểu sau đây là đúng?
    (1) Xuất hiện ở môi trường trống trơn (chưa có quần xã sinh vật từng sống).
    (2) Có sự biến đổi tuần tự của quần xã qua các giai đoạn tương ứng với sự biến đổi của môi trường.
    (3) Song song với quá trình biến đổi của quần xã trong diễn thế là quá trình biến đổi về các điều kiện tự nhiên của môi trường.
    (4) Kết quả cuối cùng sẽ hình thành một quần xã đỉnh cực.
    (5) Song song với quá trình diễn thế, có sự biến đổi về cấu trúc của quần xã sinh vật.
    (6) Quá trình diễn thế có thể do tác động của nhân tố bên ngoài quần xã hoặc do tác động trong nội bộ quần xã.

  • Câu 48: Nhận biết

    Câu 48:

    Ở hệ sinh thái dưới nước, các loài giáp xác ăn thực vật phù du, trong đó sinh khối của quần thể giáp xác luôn lớn hơn sinh khối của quần thể thực vật phù du nhưng giáp xác vẫn không thiếu thức ăn. Có các phát biểu sau:
    (1). Giáp xác sử dụng thức ăn tiết kiệm nên tiêu thụ rất ít thực vật phù du.
    (2). Giáp xác là động vật tiêu thụ nên luôn có sinh khối lớn hơn con mồi.
    (3). Thực vật phù du có chu trình sống ngắn, tốc độ sinh sản nhanh.
    (4). Thực vật phù du chứa nhiều chất dinh dưỡng cho nên giáp xác sử dụng rất ít thức ăn.
    Phát biểu đúng là:

  • Câu 49: Nhận biết

    Câu 49:

    Ở một loài thực vật, tính trạng chiều cao cây được quy định bởi 4 cặp gen không alen phân li độc lập và tương tác theo kiểu cộng gộp. Mỗi alen trội trong kiểu gen làm cho cây cao thêm 5 cm. Cây thấp nhất có chiều cao là 80 cm. Cho giao phấn cây thấp nhất với cây cao nhất để thu F1, cho F1 tự thụ phấn thu được F2. Theo lý thuyết, nếu lấy ngẫu nhiên một cây F2 có chiều cao 95 cm thì xác suất cây này mang một cặp gen dị hợp là:

  • Câu 50: Nhận biết

    Câu 50:

    Ở một loài côn trùng, A (mắt dẹt), a (mắt lồi); B (mắt đỏ), b (mắt trắng). Các gen trội là trội hoàn toàn, cá thể có kiểu gen đồng hợp AA bị chết ở giai đoạn phôi. Trong phép lai AaBb x AaBb, người ta thu được F1 có 480 cá thể. Theo lý thuyết, số cá thể F1 có mắt lồi, màu trắng là:

Chúc mừng Bạn đã hoàn thành bài!

Đề thi thử THPT Quốc gia môn Sinh học năm 2016 tỉnh Bình Thuận Kết quả
  • Thời gian làm bài: 00:00:00
  • Số câu đã làm: 0
  • Điểm tạm tính: 0
  • Điểm thưởng: 0

Đấu trường Đề thi thử THPT Quốc gia môn Sinh học năm 2016 tỉnh Bình Thuận

Đang tìm đối thủ...

Đang tải...

Xác thực tài khoản!

Theo Nghị định 147/2024/ND-CP, bạn cần xác thực tài khoản trước khi sử dụng tính năng này. Chúng tôi sẽ gửi mã xác thực qua SMS hoặc Zalo tới số điện thoại mà bạn nhập dưới đây:

Số điện thoại chưa đúng định dạng!
Số điện thoại này đã được xác thực!
Bạn có thể dùng Sđt này đăng nhập tại đây!
Lỗi gửi SMS, liên hệ Admin
Sắp xếp theo