Giao diện mới của VnDoc Pro: Dễ sử dụng hơn - chỉ tập trung vào lớp bạn quan tâm. Vui lòng chọn lớp mà bạn quan tâm: Lưu và trải nghiệm
Đóng
Điểm danh hàng ngày
  • Hôm nay +3
  • Ngày 2 +3
  • Ngày 3 +3
  • Ngày 4 +3
  • Ngày 5 +3
  • Ngày 6 +3
  • Ngày 7 +5
Bạn đã điểm danh Hôm nay và nhận 3 điểm!
Nhắn tin Zalo VNDOC để nhận tư vấn mua gói Thành viên hoặc tải tài liệu Hotline hỗ trợ: 0936 120 169

Đề thi thử THPT Quốc gia môn Sinh học năm 2016 Trường THPT Chuyên Bến Tre (Lần 1)

Đóng
Bạn đã dùng hết 1 lần làm bài Trắc nghiệm miễn phí. Mời bạn mua tài khoản VnDoc PRO để tiếp tục! Tìm hiểu thêm
Mô tả thêm:

Đề thi thử đại học môn Sinh có đáp án

Đề thi thử THPT Quốc gia môn Sinh học năm 2016 Trường THPT Chuyên Bến Tre (Lần 1) là một bài thi mẫu mà VnDoc muốn chia sẻ tới các bạn học sinh lớp 12 với mục tiêu giúp các bạn rèn luyện và làm quen với dạng đề thi, chuẩn bị cho kì thi THPT Quốc gia năm 2016 sắp tới. Chúc các bạn ôn tập tốt!

  • Thời gian làm: 90 phút
  • Số câu hỏi: 50 câu
  • Số điểm tối đa: 50 điểm
Bắt đầu làm bài
Bạn còn 1 lượt làm bài tập miễn phí. Hãy mua tài khoản VnDoc PRO để học không giới hạn nhé! Bạn đã HẾT lượt làm bài tập miễn phí! Hãy mua tài khoản VnDoc PRO để làm Trắc nghiệm không giới hạn và tải tài liệu nhanh nhé!
Mua ngay Đổi điểm
Trước khi làm bài bạn hãy
  • 1 Ôn tập kiến thức đã nêu trong phần Mô tả thêm
  • 2 Tìm không gian và thiết bị phù hợp để tập trung làm bài
  • 3 Chuẩn bị sẵn dụng cụ cần dùng khi làm bài như bút, nháp, máy tính
  • 4 Căn chỉnh thời gian làm từng câu một cách hợp lý
  • Câu 1: Nhận biết

    Câu 1:

    Tập hợp sinh vật nào sau đây là quần thể sinh vật?

  • Câu 2: Nhận biết

    Câu 2:

    Đối với quá trình tiến hóa, đột biến và di - nhập gen đều có vai trò:

  • Câu 3: Nhận biết

    Câu 3:

    Trong các mức cấu trúc siêu hiển vi của nhiễm sắc thể điển hình ở sinh vật nhân thực, mức cấu trúc nào sau đây có đường kính 30 nm?

  • Câu 4: Nhận biết

    Câu 4:

    Khi nói về quá trình nhân đôi ADN, phát biểu nào sau đây đúng?

  • Câu 5: Nhận biết

    Câu 5:

    Công nghệ gen đã đạt được thành tựu nào sau đây?

  • Câu 6: Nhận biết

    Câu 6:

    Trong lịch sử phát triển của sinh giới qua các đại địa chất, thực vật có hoa xuất hiện ở:

  • Câu 7: Nhận biết

    Câu 7:

    Ở những loài sinh sản hữu tính, từ một quần thể ban đầu tách thành hai hoặc nhiều quần thể khác nhau. Nếu các nhân tố tiến hoá đã tạo ra sự phân hoá về vốn gen giữa các quần thể này, thì cơ chế cách li nào sau đây khi xuất hiện sẽ đánh dấu sự hình thành loài mới?

  • Câu 8: Nhận biết

    Câu 8:

    Bằng chứng tiến hóa nào sau đây được xem là bằng chứng giải phẫu so sánh?

  • Câu 9: Nhận biết

    Câu 9:

    Khi nói về ưu thế lai, phát biểu nào sau đây không đúng?

  • Câu 10: Nhận biết

    Câu 10:

    Côđon nào sau đây quy định tín hiệu mở đầu quá trình dịch mã?

  • Câu 11: Nhận biết

    Câu 11:

    Loại nuclêôtit nào sau đây không phải là đơn phân cấu tạo nên phân tử mARN?

  • Câu 12: Nhận biết

    Câu 12:

    Khi nói về giới hạn sinh thái, phát biểu nào sau đây đúng?

  • Câu 13: Nhận biết

    Câu 13:

    Loại đột biến nào sau đây có thể làm thay đổi số lượng gen ở hai nhóm gen liên kết?

  • Câu 14: Nhận biết

    Câu 14:

    Khi nói về các đặc trưng cơ bản của quần thể sinh vật, phát biểu nào sau đây đúng?

  • Câu 15: Nhận biết

    Câu 15:

    Hãy sắp xếp trình tự đúng để làm tiêu bản tạm thời nhiễm sắc thể (NST) của tế bào tinh hoàn châu chấu đực.

    (1) Dùng kéo cắt bỏ cánh, chân của châu chấu đực.

    (2) Tay trái cần phần đầu ngực, tay phải kéo phần bụng ra (tách khỏi ngực) sẽ có một số nội quan trong đó có tinh hoàn bung ra.

    (3) Đưa tinh hoàn lên phiến kính, nhỏ vào đó vài giọt nước cất.

    (4) Dùng kim mổ tách mỡ xung quanh tinh hoàn, gạt sạch mỡ ra khỏi phiến kính.

    (5) Đậy lá kính, dùng ngón tay ấn nhẹ lên mặt lá kính cho tế bào dàn đều và làm vỡ tế bào để NST bung ra.

    (6) Nhỏ vài giọt oocxêin axêtic lên tinh hoàn để nhuộm trong thời gian 15 - 20 phút.

    (7) Đưa tiêu bản lên kính để quan sát: lúc đầu dùng bội giác nhỏ để xác định các tế bào, sau đó dùng bội giác lớn hơn.

    (8) Đếm số lượng và qua sát hình thái của NST.

  • Câu 16: Nhận biết

    Câu 16:

    Một giống lúa có alen A gây bệnh vàng lùn, để tạo thể đột biến mang kiểu gen aa có khả năng kháng bệnh này người ta tiến hành các bước sau:

    (1) Chọn lọc các cây có khả năng kháng bệnh.

    (2) Xử lí hạt giống bằng tia phóng xạ để gây đột biến, gieo hạt mọc thành cây.

    (3) Cho các cây con nhiễm tác nhân gây bệnh.

    (4) Cho các cây kháng bệnh lai với nhau hoặc tự thụ phấn tạo dòng thuần.

    Thứ tự đúng là:

  • Câu 17: Nhận biết

    Câu 17:

    Trong việc điều hòa hoạt động theo mô hình cấu trúc opêron Lac ở vi khuẩn E.coli, gen điều hòa:

  • Câu 18: Nhận biết

    Câu 18:

    Theo thuyết tiến hóa hiện đại, phát biểu nào sau đây không đúng?

  • Câu 19: Nhận biết

    Câu 19:

    Khi nói về kích thước quần thể sinh vật, phát biểu nào sau đây đúng?

  • Câu 20: Nhận biết

    Câu 20:

    Vai trò của các yếu tố ngẫu nhiên và di – nhập gen trong quá trình hình thành loài mới là:

  • Câu 21: Nhận biết

    Câu 21:

    Trong thực tế sản xuất giống cây trồng, người ta dùng phương pháp tự thụ phấn để tạo ra các dòng thuần, sau đó cho các dòng thuần lai với nhau nhằm mục đích:

  • Câu 22: Nhận biết

    Câu 22:

    Điều nào sau đây đúng khi nói về sự di truyền của các gen trong tế bào nhân thực ở động vật lưỡng bội?

  • Câu 23: Nhận biết

    Câu 23:

    Khi nói về quần thể ngẫu phối, phát biểu nào sau đây đúng?

  • Câu 24: Nhận biết

    Câu 24:

    Phát biểu nào sau đây không đúng khi nói về ổ sinh thái?

  • Câu 25: Nhận biết

    Câu 25:

    Ở sinh vật nhân thực, gen nằm ở vị trí nào sau đây tồn tại thành từng cặp alen?

  • Câu 26: Nhận biết

    Câu 26:

    Sự biến động số lượng cá thể của quần thể sinh vật nào sau đây thuộc kiểu biến động theo chu kì?

  • Câu 27: Nhận biết

    Câu 27:

    Khi nói về các bệnh và hội chứng bệnh di truyền ở người, phát biểu nào sau đây đúng?

  • Câu 28: Nhận biết

    Câu 28:

    Điều nào sau đây chưa chính xác khi nói về hậu quả của các dạng đột biến?

  • Câu 29: Nhận biết

    Câu 29:

    Trong kĩ thuật chuyển gen, thể truyền plasmit có các đặc điểm:
    (1) Có dấu chuẩn hoặc gen đánh dấu.
    (2) Khi đưa vào tế bào chủ dễ chấp nhận.
    (3) Không có khả năng nhân đôi độc lập với hệ gen tế bào nhận.
    (4) Có thể nhân đôi, phiên mã bình thường như các ADN trong tế bào chất của tế bào chủ.
    (5) Có kích thước lớn, dễ xâm nhập tế bào chủ.
    Số phương án đúng là:

  • Câu 30: Nhận biết

    Câu 30:

    Bản chất của quy luật phân li theo Menđen là:

  • Câu 31: Nhận biết

    Câu 31:

    Theo thuyết tiến hóa hiện đại, phát biểu nào sau đây không đúng?

  • Câu 32: Nhận biết

    Câu 32:

    Ở một loài thực vật, xét 2 tính trạng, mỗi tính trạng đều do một gen có 2 alen quy định, alen trội là trội hoàn toàn. Hai gen này cùng nằm trên một nhiễm sắc thể thường, hoán vị gen xảy ra ở cả quá trình phát sinh giao tử đực và giao tử cái. Giao phấn hai cây thuần chủng, tương phản về kiểu gen, mỗi cây chỉ trội về 1 trong 2 tính trạng trên (P), thu được F1. Cho F1 giao phấn với nhau, thu được F2. Biết rằng không xảy ra đột biến. Theo lí thuyết, kết luận nào sau đây về F2 sai?

  • Câu 33: Nhận biết

    Câu 33:

    Ở đậu Hà Lan, alen A quy định thân cao trội hoàn toàn so với alen a quy định thân thấp. Thế hệ xuất phát (P) của một quần thể gồm toàn cây thân cao, trong đó tỉ lệ cây thân cao có kiểu gen dị hợp tử là 0,4. Quần thể tự thụ phấn liên tiếp qua các thế hệ. Biết rằng quần thể không chịu tác động của các nhân tố tiến hóa khác. Theo lí thuyết, ở thế hệ F2 của quần thể, cây thân cao chiếm tỉ lệ:
  • Câu 34: Nhận biết

    Câu 34:

    Một loài thực vật lưỡng bội có 12 nhóm gen liên kết. Do đột biến, ở một quần thể thuộc loài này đã xuất hiện hai thể đột biến khác nhau là thể bốn và thể tứ bội. Số lượng nhiễm sắc thể có trong một tế bào sinh dưỡng của thể bốn và thể tứ bội này lần lượt là:

  • Câu 35: Nhận biết

    Câu 35:

    Ở người alen B quy định kiểu hình hói đầu, alen b quy định kiểu hình bình thường, kiểu gen Bb quy định hói đầu ở nam và bình thường ở nữ. Quan sát một quần thể cân bằng có 10% người hói đầu. Cấu trúc di truyền của quần thể là:

  • Câu 36: Nhận biết

    Câu 36:

    Ba tế bào sinh tinh đều có kiểu gen Đề thi thử đại học môn sinh giảm phân bình thường nhưng xảy ra hoán vị gen ở một trong ba tế bào. Theo lí thuyết, số loại giao tử tối đa được tạo ra là:

  • Câu 37: Nhận biết

    Câu 37:

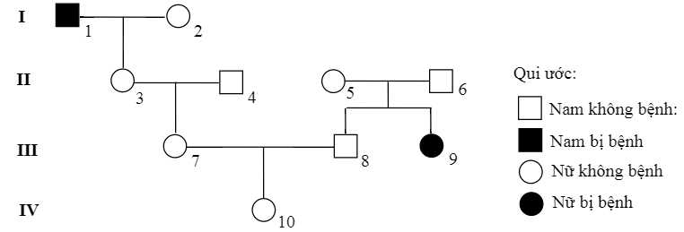
    Cho sơ đồ phả hệ mô tả sự di truyền một bệnh ở người do một trong hai alen của một gen qui định, alen trội là trội hoàn toàn.
    Đề thi thử đại học môn sinh

    Biết rằng không xảy ra đột biến mới và người đàn ông II. 4 đến từ một quần thể khác đang ở trạng thái cân bằng di truyền có tần số alen gây bệnh là 0,2. Xác suất để IV. 10 không mang alen gây bệnh là bao nhiêu?

  • Câu 38: Nhận biết

    Câu 38:

    Ở một loài thực vật, tính trạng màu sắc hoa do một gen có hai alen quy định. Cho cây hoa đỏ thuần chủng giao phấn với cây hoa trắng thuần chủng (P), thu được F1 toàn cây hoa đỏ. F1 tự thụ phấn, thu được F2 có kiểu hình phân li theo tỉ lệ: 75% cây hoa đỏ : 25% cây hoa trắng. Biết rằng sự biểu hiện của gen không phụ thuộc vào môi trường. Dựa vào kết quả trên, hãy cho biết trong các kết luận sau, có bao nhiêu kết luận đúng?
    (1) Đời con của một cặp bố mẹ bất kì đều có tỉ lệ kiểu gen giống tỉ lệ kiểu hình.
    (2) Chỉ cần dựa vào kiểu hình cũng có thể phân biệt được cây có kiểu gen đồng hợp tử và cây có kiểu gen dị hợp tử.
    (3) Nếu cho các cây hoa đỏ ở F2 giao phấn với các cây hoa trắng, thu được đời con có kiểu hình phân li theo tỉ lệ 2 cây hoa đỏ : 1 cây hoa trắng.
    (4) Màu sắc hoa là kết quả sự tương tác giữa các gen không alen.

  • Câu 39: Nhận biết

    Câu 39:

    Cho phép lai P: Đề thi thử đại học môn sinh, thu được F1. Trong tổng số cá thể F1, số cá thể không mang alen trội của các gen trên chiếm 1%. Biết rằng không xảy ra đột biến nhưng xảy ra hoán vị gen ở 2 giới với tần số bằng nhau. Theo lí thuyết, ở F1 số cá thể cái mang alen trội của cả 3 gen trên chiếm tỉ lệ:

  • Câu 40: Nhận biết

    Câu 40:

    Ở một quần thể động vật ngẫu phối, xét một gen nằm trên nhiễm sắc thể thường gồm 2 alen, alen A trội hoàn toàn so với alen a. Dưới tác động của chọn lọc tự nhiên, những cá thể có kiểu hình lặn bị đào thải hoàn toàn ngay sau khi sinh ra. Thế hệ xuất phát (P) của quần thể này có cấu trúc di truyền là 0,8AA : 0,2Aa. Cho rằng không có tác động của các nhân tố tiến hóa khác. Theo lí thuyết, thế hệ F4 của quần thể này có tần số alen A là:
  • Câu 41: Nhận biết

    Câu 41:

    Giả sử có hai cây khác loài có kiểu gen AaBb và DDEe. Người ta sử dụng công nghệ tế bào để tạo ra các cây con từ hai cây này. Theo lí thuyết, trong các phát biểu sau về các cây con, có bao nhiêu phát biểu đúng?
    (1) Các cây con được tạo ra do nuôi cấy tế bào sinh dưỡng của từng cây có kiểu gen AaBb hoặc DDEe.
    (2) Nuôi cấy hạt phấn riêng rẽ của từng cây sau đó lưỡng bội hóa sẽ thu được 6 dòng thuần chủng có kiểu gen khác nhau.
    (3) Trong số các cây con được tạo ra do nuôi cấy hạt phấn của từng cây và gây lưỡng bội hóa, có cây mang kiểu gen DDEe.
    (4) Cây con được tạo ra do lai tế bào sinh dưỡng (dung hợp tế bào trần) của hai cây với nhau có kiểu gen AaBbDDEe.

  • Câu 42: Nhận biết

    Câu 42:

    Cho giao phối giữa gà trống chân cao, lông xám với gà mái cùng kiểu hình (P), thu được ở F1:
    - Giới đực: 75% chân cao, lông xám : 25% chân cao, lông vàng.
    - Giới cái: 30% chân cao, lông xám : 7,5% chân thấp, lông xám : 42,5% chân thấp, lông vàng : 20% chân cao, lông vàng.
    Biết rằng không xảy ra đột biến, tính trạng chiều cao chân do một cặp gen có hai alen (A, a) qui định. Trong các nhận định sau đây, có bao nhiêu nhận định phù hợp với kết quả trên?
    (1) Gen qui định chiều cao chân nằm trên vùng không tương đồng của nhiễm sắc thể X, không có alen tương ứng trên Y.
    (2) Ở F1, gà lông xám và gà lông vàng có tỉ lệ tương ứng là 9 : 7.
    (3) Một trong hai cặp gen qui định màu lông gà nằm trên vùng không tương đồng của nhiễm sắc thể X.
    (4) Gà trống (P) xảy ra hoán vị gen với tần số 40%.
    (5) Gà trống chân cao, lông xám, thuần chủng ở F1 chiếm tỉ lệ 5%.
    (6) Ở F1 có 4 kiểu gen qui định gà mái chân cao, lông vàng.

  • Câu 43: Nhận biết

    Câu 43:

    Ở người, xét một gen nằm trên nhiễm sắc thể thường có hai alen: alen A không gây bệnh trội hoàn toàn so với alen a gây bệnh. Một người phụ nữ bình thường nhưng có em trai bị bệnh kết hôn với một người đàn ông bình thường nhưng có em gái bị bệnh, những người khác trong cả hai gia đình trên đều không bị bệnh. Cặp vợ chồng này dự kiến sinh hai người con, khả năng để trong số đó có một người không bệnh là bao nhiêu?

  • Câu 44: Nhận biết

    Câu 44:

    Cho biết các gen phân li độc lập, trội lặn hoàn toàn, mỗi gen qui định một tính trạng. Xét phép lai (P): AaBbDDEe x aaBbDdEe. Tính theo lí thuyết, ở thế hệ con (F1), tỉ lệ kiểu hình mang hai tính trạng trội và tỉ lệ kiểu gen mang bốn alen lặn lần lượt là:
  • Câu 45: Nhận biết

    Câu 45:

    Ở một loài thực vật lưỡng bội, alen A quy định thân cao trội hoàn toàn so với alen a quy định thân thấp; alen B quy định hoa đỏ trội hoàn toàn so với alen b quy định hoa vàng, các gen phân li độc lập. Cho 3 cây thân thấp, hoa đỏ (P) tự thụ phấn, trong đó có 1 cây mang kiểu gen thuần chủng, thu được F1. Biết rằng không có đột biến xảy ra. Theo lí thuyết, tỉ lệ kiểu hình của F1 là:

  • Câu 46: Nhận biết

    Câu 46:

    Ở một loài thực vật, xét 2 gen nằm trong nhân tế bào, mỗi gen đều có 2 alen, các gen phân li độc lập cùng qui định một tính trạng. Cho hai cây (P) thuần chủng khác nhau về cả hai cặp gen giao phấn với nhau, thu được F1. Cho F1 lai với cơ thể đồng hợp tử lặn về cả hai cặp gen, thu được Fa. Biết không xảy ra đột biến, sự biểu hiện của gen không phụ thuộc vào điều kiện môi trường. Theo lí thuyết, trong các trường hợp về tỉ lệ kiểu hình sau đây, có tối đa bao nhiêu trường hợp phù hợp với tỉ lệ kiểu hình của Fa?
    (1) Tỉ lệ 9 : 3 : 3 : 1. (2) Tỉ lệ 3 : 1. (3) Tỉ lệ 1 : 1.
    (4) Tỉ lệ 3 : 3 : 1 : 1. (5) Tỉ lệ 1 : 2 : 1. (6) Tỉ lệ 1 : 1 : 1 : 1.

  • Câu 47: Nhận biết

    Câu 47:

    Một loài động vật có 2n = 8 nhiễm sắc thể (NST) (mỗi cặp NST gồm một chiếc có nguồn gốc từ bố và một chiếc có nguồn gốc từ mẹ). Nếu trong quá trình giảm phân tạo tinh trùng có 40% số tế bào xảy ra trao đổi chéo tại một điểm ở cặp NST số 1; 8% số tế bào xảy ra trao đổi chéo tại một điểm ở cặp NST số 3; cặp NST số 2 và số 4 không có trao đổi chéo. Theo lí thuyết, loại tinh trùng mang tất cả các NST đều có nguồn gốc từ bố chiếm tỉ lệ là bao nhiêu?

  • Câu 48: Nhận biết

    Câu 48:

    Ở một loài động vật giao phối, xét phép lai ♂ AaBbx ♀ AaBb. Giả sử trong quá trình giảm phân của cơ thể đực, ở một số tế bào, cặp nhiễm sắc thể mang cặp gen Bb không phân li trong giảm phân I, các sự kiện khác diễn ra bình thường; cơ thể cái giảm phân bình thường. Theo lí thuyết, sự kết hợp ngẫu nhiên giữa các loại giao tử đực và cái trong thụ tinh có thể tạo ra tối đa bao nhiêu loại hợp tử 2n + 1 với kiểu gen khác nhau?

  • Câu 49: Nhận biết

    Câu 49:

    Một loài thực vật có bộ nhiễm sắc thể lưỡng bội 2n = 12. Cho hai cây thuộc loài này giao phấn với nhau tạo ra các hợp tử. Giả sử từ một hợp tử trong số đó (hợp tử Y) nguyên phân liên tiếp 6 lần, ở kì giữa của lần nguyên phân thứ sáu, người ta đếm được trong tất cả các tế bào con có tổng cộng 704 crômatit. Cho biết quá trình nguyên phân không xảy ra đột biến. Hợp tử Y có thể được hình thành do sự thụ tinh giữa:

  • Câu 50: Nhận biết

    Câu 50:

    Ở một loài thực vật, khi cho cây (P) tự thụ phấn, ở F1 thu được tỉ lệ kiểu hình:
    46,6875% hoa đỏ, thân cao.
    9,5625% hoa đỏ, thân thấp.
    28,3125% hoa trắng, thân cao.
    15,4375% hoa trắng, thân thấp.
    Biết rằng tính trạng chiều cao cây do một gen có hai alen qui định.
    Điều nào sau đây không đúng?

Chúc mừng Bạn đã hoàn thành bài!

Đề thi thử THPT Quốc gia môn Sinh học năm 2016 Trường THPT Chuyên Bến Tre (Lần 1) Kết quả
  • Thời gian làm bài: 00:00:00
  • Số câu đã làm: 0
  • Điểm tạm tính: 0
  • Điểm thưởng: 0

Đấu trường Đề thi thử THPT Quốc gia môn Sinh học năm 2016 Trường THPT Chuyên Bến Tre (Lần 1)

Đang tìm đối thủ...

Đang tải...

Xác thực tài khoản!

Theo Nghị định 147/2024/ND-CP, bạn cần xác thực tài khoản trước khi sử dụng tính năng này. Chúng tôi sẽ gửi mã xác thực qua SMS hoặc Zalo tới số điện thoại mà bạn nhập dưới đây:

Số điện thoại chưa đúng định dạng!
Số điện thoại này đã được xác thực!
Bạn có thể dùng Sđt này đăng nhập tại đây!
Lỗi gửi SMS, liên hệ Admin
Sắp xếp theo