Giao diện mới của VnDoc Pro: Dễ sử dụng hơn - chỉ tập trung vào lớp bạn quan tâm. Vui lòng chọn lớp mà bạn quan tâm: Lưu và trải nghiệm
Đóng
Điểm danh hàng ngày
  • Hôm nay +3
  • Ngày 2 +3
  • Ngày 3 +3
  • Ngày 4 +3
  • Ngày 5 +3
  • Ngày 6 +3
  • Ngày 7 +5
Bạn đã điểm danh Hôm nay và nhận 3 điểm!
Nhắn tin Zalo VNDOC để nhận tư vấn mua gói Thành viên hoặc tải tài liệu Hotline hỗ trợ: 0936 120 169

Đề thi thử THPT Quốc gia môn Sinh học năm 2016 Trường THPT Hàn Thuyên, Bắc Ninh (Lần 2)

Đóng
Bạn đã dùng hết 1 lần làm bài Trắc nghiệm miễn phí. Mời bạn mua tài khoản VnDoc PRO để tiếp tục! Tìm hiểu thêm
Mô tả thêm:

Đề thi thử đại học môn Sinh có đáp án

Để đạt được kết quả cao nhất trong kì thi THPT Quốc gia năm 2016 sắp tới đừng bỏ qua bài test Đề thi thử THPT Quốc gia môn Sinh học năm 2016 Trường THPT Hàn Thuyên, Bắc Ninh (Lần 2) trên trang VnDoc.com. Tham gia làm bài để rèn luyện và làm quen với nhiều dạng câu hỏi khác nhau, đồng thời củng cố lại các kiến thức đã học.

Mời các bạn tham khảo thêm bài test: Đề thi thử THPT Quốc gia môn Sinh học lần 1 năm 2016 trường THPT Hàn Thuyên, Bắc Ninh

  • Thời gian làm: 90 phút
  • Số câu hỏi: 50 câu
  • Số điểm tối đa: 50 điểm
Bắt đầu làm bài
Bạn còn 1 lượt làm bài tập miễn phí. Hãy mua tài khoản VnDoc PRO để học không giới hạn nhé! Bạn đã HẾT lượt làm bài tập miễn phí! Hãy mua tài khoản VnDoc PRO để làm Trắc nghiệm không giới hạn và tải tài liệu nhanh nhé!
Mua ngay Đổi điểm
Trước khi làm bài bạn hãy
  • 1 Ôn tập kiến thức đã nêu trong phần Mô tả thêm
  • 2 Tìm không gian và thiết bị phù hợp để tập trung làm bài
  • 3 Chuẩn bị sẵn dụng cụ cần dùng khi làm bài như bút, nháp, máy tính
  • 4 Căn chỉnh thời gian làm từng câu một cách hợp lý
  • Câu 1: Nhận biết

    Câu 1:

    Nhận định nào sau đây không đúng?

  • Câu 2: Nhận biết

    Câu 2:

    Điều gì xảy ra nếu protêin ức chế của operon Lac bị biến đổi làm cho protêin không còn khả năng liên kết vào vùng vận hành?

  • Câu 3: Nhận biết

    Câu 3:

    Một cơ thể thực vật có kiểu gen AaBb, khi quan sát quá trình giảm phân hình thành giao tử có 10% tế bào rối loạn phân li trong giảm phân I ở cặp Aa và 20% tế bào khác rối loạn phân li giảm phân II ở cặp Bb. Các sự kiện khác diễn ra bình thường, các tế bào còn lại giảm phân bình thường. Theo lí thuyết, giao tử (n + 1) chiếm tỉ lệ là: 

  • Câu 4: Nhận biết

    Câu 4:

    Ở một loài thực vật lưỡng bội, xét một gen có 2 alen nằm trên nhiễm sắc thể giới tính X, không có alen tương ứng trên nhiễm sắc thể Y. Trong trường hợp không xảy ra đột biến mới, theo lí thuyết, số loại kiểu gen tối đa do gen này tạo ra trong quần thể thuộc loài này là:

  • Câu 5: Nhận biết

    Câu 5:

    Cho các đặc điểm sau:

    (1) ADN mạch vòng kép.

    (2) Có chứa gen đánh dấu.

    (3) ADN mạch thẳng kép.

    (4) Có trình tự nhận biết của enzim cắt.

    (5) Có kích thước lớn hơn so với ADN vùng nhân.

    Có bao nhiêu đặc điểm đúng với plasmit làm thể truyền trong công nghệ gen?

  • Câu 6: Nhận biết

    Câu 6:

    Phát biểu nào sau đây không đúng?

  • Câu 7: Nhận biết

    Câu 7:

    Mức độ gây hại của alen đột biến phụ thuộc vào:

  • Câu 8: Nhận biết

    Câu 8:

    Vùng mã hoá của hai phân tử mARN (a và b) ở một loài vi khuẩn đều có số lượng nuclêôtit bằng nhau. Thành phần các loại nuclêôtit của mỗi phân tử mARN như sau: 

    mARN

    A %

    X%

    G%

    U%

    a

    17

    28

    32

    23

    b

    27

    13

    27

    33

    Nếu phân tử mARN b có 405 nuclêôtit loại A thì số lượng từng loại nuclêôtit của gen a (ở vùng mã hoá) là:

  • Câu 9: Nhận biết

    Câu 9:

    Để phát hiện một tính trạng do gen trong ti thể qui định, người ta dùng phương pháp:

  • Câu 10: Nhận biết

    Câu 10:

    Ở một loài thực vật, alen A quy định thân cao trội hoàn toàn so với alen a quy định thân thấp; alen B quy định hoa đỏ trội hoàn toàn so với alen b quy định hoa vàng. Hai cặp gen này nằm trên cặp NST tương đồng số 1. Alen D quy định quả tròn trội hoàn toàn so với alen d quy định quả dài, cặp gen Dd nằm trên cặp NST tương đồng số 2. Cho giao phấn giữa hai cây (P) đều thuần chủng được F1 dị hợp về 3 cặp gen trên. Cho F1 giao phấn với nhau thu được F2, trong đó cây có kiểu hình thân thấp, hoa vàng, quả dài chiếm tỉ lệ 2,25%. Biết rằng hoán vị gen xảy ra cả trong quá trình phát sinh giao tử đực và giao tử cái với tần số bằng nhau. Tính theo lí thuyết, cây có kiểu hình thân cao, hoa vàng, quả tròn ở F2 chiếm tỉ lệ:

  • Câu 11: Nhận biết

    Câu 11:

    Cặp bố mẹ đem lai có kiểu gen DE//de x DE//de. Cho biết mọi diễn biến của NST trong giảm phân là hoàn toàn giống nhau, kiểu hình lông thẳng, đuôi ngắn có kiểu gen là de//de. Kết quả nào dưới đây không phù hợp với tỉ lệ kiểu hình lông thẳng, đuôi ngắn ở đời con:

  • Câu 12: Nhận biết

    Câu 12:

    Ở một loài thực vật, khi cho lai hai thứ cây thuần chủng là hoa kép, màu trắng với hoa đơn, màu đỏ thu được F1 gồm toàn cây hoa kép, màu hồng. Cho F1 tiếp tục giao phấn với nhau thu được F2 có kiểu hình phân li theo tỉ lệ: 42% cây hoa kép, màu hồng; 24% cây hoa kép, màu trắng; 16% cây hoa đơn, màu đỏ; 9% cây hoa kép, màu đỏ; 8% cây hoa đơn, màu hồng; 1% cây hoa đơn, màu trắng. Cho biết mỗi gen quy định một tính trạng và mọi diễn biến của nhiễm sắc thể trong tế bào sinh hạt phấn và tế bào sinh noãn đều giống nhau. Kết luận nào sau đây đúng?

  • Câu 13: Nhận biết

    Câu 13:

    Tại sao gen đột biến lặn trên nhiễm sắc thể X của người lại dễ được phát hiện hơn so với gen đột biến lặn nằm trên nhiễm sắc thể thường?

  • Câu 14: Nhận biết

    Câu 14:

    Trong thí nghiệm của mình, Milơ và Urây đã mô phỏng khí quyển nguyên thủy của Trái Đất trong phòng thí nghiệm để tổng hợp hợp chất hữu cơ từ chất vô cơ, hai ông sử dụng các khí:

  • Câu 15: Nhận biết

    Câu 15:

    Quá trình nào sau đây sẽ tạo ra các alen mới?

  • Câu 16: Nhận biết

    Câu 16:

    Ở ruồi giấm, khi lai giữa hai cơ thể thuần chủng thân xám, cánh dài và thân đen, cánh cụt với tần số hoán vị là 18%, khi cho F1 tạp giao ở F2 thu được:

  • Câu 17: Nhận biết

    Câu 17:

    Phương pháp lai và phân tích cơ thể lai của Men Đen không có nội dung nào sau đây?

  • Câu 18: Nhận biết

    Câu 18:

    Trong cơ chế điều hòa hoạt động của opêron Lac, sự kiện nào sau đây diễn ra cả khi môi trường có lactôzơ và khi môi trường không có lactôzơ?

  • Câu 19: Nhận biết

    Câu 19:

    Cơ chế hình thành hợp tử XYY ở người có liên quan đến:

  • Câu 20: Nhận biết

    Câu 20:

    Ở một loài thực vật lưỡng bội, xét 2 cặp gen (A, a; B, b) phân li độc lập cùng quy định màu sắc hoa. Kiểu gen có cả hai loại alen trội A và B cho kiểu hình hoa đỏ, kiểu gen chỉ có một loại alen trội A cho kiểu hình hoa vàng, các kiểu gen còn lại cho kiểu hình hoa trắng. Cho cây hoa đỏ (P) tự thụ phấn, thu được F1 gồm 3 loại kiểu hình. Biết rằng không xảy ra đột biến, sự biểu hiện của gen không phụ thuộc vào môi trường. Theo lí thuyết, trong các kết luận sau, có bao nhiêu kết luận phù hợp với kết quả của phép lai trên?

    (1) Số cây hoa trắng có kiểu gen dị hợp tử ở F1 chiếm 12,5%.

    (2) Số cây hoa trắng có kiểu gen đồng hợp tử ở F1 chiếm 12,5%.

    (3) F1 có 3 loại kiểu gen quy định kiểu hình hoa trắng.

    (4) Trong các cây hoa trắng ở F1, cây hoa trắng đồng hợp tử chiếm 25%.

  • Câu 21: Nhận biết

    Câu 21:

    Cho các biện pháp sau:
    (1) Đưa thêm một gen lạ vào hệ gen.
    (2) Làm biến đổi một gen đã có sẵn trong hệ gen.
    (3) Gây đột biến đa bội ở cây trồng.
    (4) Cấy truyền phôi ở động vật.
    Người ta có thể tạo ra sinh vật biến đổi gen bằng các biện pháp:

  • Câu 22: Nhận biết

    Câu 22:

    Ở một loài thực vật giao phấn tự do có gen D quy định hạt tròn là trội hoàn toàn so với gen d quy định hạt dài, gen R quy định hạt đỏ là trội hoàn toàn so với gen r quy định hạt trắng. Hai gặp gen Dd, Rr phân ly độc lập. Khi thu hoạch tại một quần thể ở trạng thái cân bằng di truyền, người ta thu được 14,25% hạt tròn, đỏ; 4,75% hạt tròn, trắng; 60,75% hạt dài, đỏ; 20,25% hạt dài, trắng. Cho các phát biểu sau:

    (1) Kiểu gen rr chiếm tỉ lệ 1/4 trong quần thể cân bằng di truyền.

    (2) Cho kiểu hình hạt dài, đỏ ra trồng thì vụ sau thu được tỉ lệ kiểu hình hạt dài, đỏ là 8/9.
    (3) Trong số hạt đỏ ở quần thể cân bằng di truyền, hạt đỏ dị hợp chiếm 2/3.
    (4) Tần số của D, d trong quần thể trên lần lượt là 0,9 và 0,1.
    Phát biểu đúng là:

  • Câu 23: Nhận biết

    Câu 23:

    Cho 2 cây P đều dị hợp về 2 cặp gen lai với nhau thu được F1 có 600 cây, trong đó có 90 cây có kiểu hình mang 2 tính lặn. Kết luận đúng là:

  • Câu 24: Nhận biết

    Câu 24:

    Cho các phát biểu sau
    (1) Trong phiên mã, sự kết cặp các nuclêôtit theo nguyên tắc bổ sung xảy ra ở tất cả các nuclêôtit trên mạch mã gốc ở vùng mã hóa của gen.
    (2) Trong tái bản ADN, sự kết cặp các nuclêôtit theo nguyên tắc bổ sung xảy ra ở tất cả các nuclêôtit trên mỗi mạch đơn.
    (3) Trong dịch mã, sự kết cặp các nuclêôtit theo nguyên tắc bổ sung xảy ra ở tất cả các nuclêôtit trên phân tử mARN.
    (4) Sự nhân đôi ADN xảy ra ở nhiều điểm trong mỗi phân tử ADN tạo ra nhiều đơn vị tái bản.
    (5) Trong quá trình dịch mã, mARN thường chỉ gắn với một ribôxôm để tạo một chuỗi polipeptit.
    (6) Trong quá trình phiên mã, trước hết enzim ARN polimeraza bám vào vùng điều hòa làm gen tháo xoắn để lộ ra mạch mã gốc có chiều 5’ → 3’.
    Số phát biểu đúng về cơ chế di truyền ở sinh vật nhân thực, trong điều kiện không xảy ra đột biến là:

  • Câu 25: Nhận biết

    Câu 25:

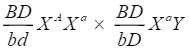
    Cho biết mỗi gen quy định một tính trạng, alen trội là trội hoàn toàn, không xảy ra đột biến nhưng xảy ra hoán vị gen ở cả bố và mẹ. Theo lí thuyết, phép lai P: Đề thi thử đại học môn sinh cho đời con có số loại kiểu gen và kiểu hình tối đa là:

  • Câu 26: Nhận biết

    Câu 26:

    Khi nói về các phân tử ADN ở trong nhân của cùng một tế bào sinh dưỡng, xét các phát biểu sau:
    (1) Các phân tử nhân đôi độc lập và diễn ra ở các pha khác nhau.
    (2) Có số lượng, hàm lượng ổn định và đặc trưng cho loài.
    (3) Thường mang các gen phân mảnh và tồn tại theo cặp alen.
    (4) Có độ dài và số lượng nuclêôtit luôn bằng nhau.
    (5) Có cấu trúc mạch thẳng.
    Số phát biểu đúng là:

  • Câu 27: Nhận biết

    Câu 27:

    Tỉ lệ kiểu hình không xuất hiện ở con lai từ phép lai 2 cặp tính trạng di truyền độc lập là:

  • Câu 28: Nhận biết

    Câu 28:

    Phả hệ dưới đây ghi lại sự di truyền của một bệnh rất hiếm gặp ở người do một gen đột biến gây nên. Điều giải thích nào dưới đây là hợp lý hơn cả về sự di truyền của bệnh này? 
    Đề thi thử đại học môn sinh

  • Câu 29: Nhận biết

    Câu 29:

    Đặc điểm nào sau đây chỉ có ở quá trình phiên mã ở sinh vật nhân thực mà không có ở quá trình phiên mã của sinh vật nhân sơ?

  • Câu 30: Nhận biết

    Câu 30:

    Đột biến cấu trúc làm giảm số lượng gen trên nhiễm sắc thể nên thường gây chết đối với thể đột biến được ứng dụng:

  • Câu 31: Nhận biết

    Câu 31:

    Ở người, bệnh bạch tạng do alen lặn a nằm trên NST thường quy định, alen trội A quy định da bình thường. Hà và Lan đều có bố không mang gen gây bệnh, mẹ bị bệnh và họ lấy chồng bình thường nhưng bố chồng họ đều bị bệnh này. Lan sinh một con trai, Hà sinh một con gái đều bình thường. Khi con họ lớn lên lại kết hôn với nhau. Xác suất cặp vợ chồng này sinh 2 con đều có da bình thường là bao nhiêu?

  • Câu 32: Nhận biết

    Câu 32:

    Một đột biến điểm ở một gen nằm trong ti thể gây nên chứng động kinh ở người. Phát biểu nào sau đây là đúng khi nói về đặc điểm di truyền của bệnh trên?

  • Câu 33: Nhận biết

    Câu 33:

    Một quần thể người có hệ nhóm máu A, B, AB, O cân bằng di truyền.Tần số alen IA = 0,1 , IB = 0,7, Io = 0,2.Tần số các nhóm máu A, B, AB, O lần lượt là:

  • Câu 34: Nhận biết

    Câu 34:

    Một loài thực vật giao phấn, xét một gen có hai alen, alen A quy định hoa đỏ trội không hoàn toàn so với alen a quy định hoa trắng, thể dị hợp về cặp gen này cho hoa hồng. Quần thể nào sau đây của loài trên đang ở trạng thái cân bằng di truyền?

  • Câu 35: Nhận biết

    Câu 35:

    Cơ thể đực của một loài khi giảm phân không có đột biến đã tạo ra tối đa 512 loại giao tử, biết rằng trong quá trình giảm phân có xảy ra trao đổi chéo tại một điểm của một cặp nhiễm sắc thể tương đồng, các cặp NST còn lại không có trao đổi chéo. Bộ nhiễm sắc thể của loài là:

  • Câu 36: Nhận biết

    Câu 36:

    Trong chọn giống vật nuôi, người ta thường không tiến hành:

  • Câu 37: Nhận biết

    Câu 37:

    Một alen nào đó dù có lợi cũng có thể bị loại bỏ hoàn toàn khỏi quần thể là do tác động của nhân tố nào sau đây?

  • Câu 38: Nhận biết

    Câu 38:

    Kỹ thuật lai tế bào có ưu điểm so với các kỹ thuật khác trong công nghệ giống cây trồng là:

  • Câu 39: Nhận biết

    Câu 39:

    Các nhân tố tiến hoá không làm phong phú vốn gen của quần thể là:

  • Câu 40: Nhận biết

    Câu 40:

    Cho biết ở người gen A quy định tính trạng phân biệt được mùi vị. Alen a quy định không phân biệt được mùi vị. Nếu trong 1 cộng đồng tần số alen a = 0,4 thì xác suất của một cặp vợ chồng đều có kiểu hình phân biệt được mùi vị có thể sinh ra 3 con trong đó 2 con trai phân biệt được mùi vị và 1 con gái không phân biệt được mùi vị là:

  • Câu 41: Nhận biết

    Câu 41:

    Cho các kết luận sau:
    (1) Liên kết gen làm hạn chế sự xuất hiện biến dị tổ hợp.
    (2) Các cặp gen càng nằm ở vị trí gần nhau thì tần số hoán vị gen càng cao.
    (3) Số lượng gen nhiều hơn số lượng nhiễm sắc thể nên liên kết gen là phổ biến.
    (4) Hai cặp gen nằm trên hai cặp nhiễm sắc thể khác nhau thì không liên kết với nhau.
    (5) Số nhóm liên kết luôn bằng số nhiễm sắc thể đơn có trong tế bào sinh dưỡng.
    Số kết luận đúng là:

  • Câu 42: Nhận biết

    Câu 42:

    Các loài sâu ăn lá thường có màu xanh lục lẫn với màu xanh của lá, nhờ đó mà khó bị chim ăn sâu phát hiện và tiêu diệt. Theo sinh học hiện đại, đặc điểm thích nghi này được hình thành do:

  • Câu 43: Nhận biết

    Câu 43:

    Cho biết mỗi gen quy định một tính trạng, các alen trội là trội hoàn toàn, quá trình giảm phân không xảy ra đột biến, nhưng xảy ra hoán vị gen ở hai giới với tần số là 24%. Theo lí thuyết, phép lai AaBb De//dE x aaBb De//dE cho đời con có tỉ lệ kiểu hình trội về cả bốn tính trạng là:

  • Câu 44: Nhận biết

    Câu 44:

    Chọn lọc tự nhiên không thể loại bỏ hoàn toàn các alen lặn ra khỏi quần thể vì:

  • Câu 45: Nhận biết

    Câu 45:

    Theo quan niệm của thuyết tiến hóa tổng hợp hiện đại, xét các phát biểu sau:
    (1) Chọn lọc tự nhiên quy định chiều hướng và nhịp độ của quá trình tiến hóa.
    (2) Các cơ chế cách li thúc đẩy sự thay đổi tần số alen của quần thể.
    (3) Giao phối gần không làm thay đổi tần số tương đối các alen trong quần thể.
    (4) Đột biến tạo nguồn nguyên liệu sơ cấp cho tiến hóa.
    Số phát biểu đúng là:

  • Câu 46: Nhận biết

    Câu 46:

    Khi nói về các nhân tố tiến hóa, xét các kết luận sau:
    (1) Nhân tố tiến hóa là những nhân tố có khả năng làm biến đổi tần số kiểu gen của quần thể.
    (2) Không phải nhân tố tiến hóa nào cũng có khả năng làm biến đổi tần số alen của quần thể.
    (3) Chọn lọc tự nhiên tác động làm thay đổi tần số alen của quần thể.
    (4) Yếu tố ngẫu nhiên không phải lúc nào cũng loại bỏ hoàn toàn alen lặn có hại ra khỏi quần thể.
    Số phát biểu đúng là:

  • Câu 47: Nhận biết

    Câu 47:

    Các ví dụ nào sau đây thuộc về cơ chế cách li sau hợp tử:
    (1) Hai loài rắn sọc sống trong cùng một khu vực địa lí, một loài chủ yếu sống dưới nước, loài kia sống trên cạn.
    (2) Một số loài kì giông sống trong một khu vực vẫn giao phối với nhau, tuy nhiên phần lớn con lai phát triển không hoàn chỉnh.

    (3) Ngựa lai với lừa sinh ra con la bất thụ.
    (4) Trong cùng một khu phân bố địa lí, chồn đốm phương đông giao phối vào cuối đông, chồn đốm phương tây giao phối vào cuối hè.
    (5) Các phân tử prôtêin bề mặt của trứng và tinh trùng nhím biển tím và nhím biển đỏ không tương thích nên không thể kết hợp được với nhau.
    (6) Cừu có thể giao phối với dê tạo thành hợp tử nhưng hợp tử bị chết mà không phát triển thành phôi.
    Đáp án đúng là:

  • Câu 48: Nhận biết

    Câu 48:

    Ở cà chua thân cao, quả đỏ là là trội hoàn toàn so với thân thấp quả vàng, lai các cây cà chua thân cao, quả đỏ với nhau, đời lai thu được 21 cây cao, quả vàng; 40 cây cao, quả đỏ; 20 cây thấp, quả đỏ. Kiểu gen của bố mẹ là:
    Đề thi thử đại học môn sinh

  • Câu 49: Nhận biết

    Câu 49:

    Cho các thông tin sau:
    (1) Làm thay đổi hàm lượng ADN ở trong nhân tế bào.
    (2) Làm thay đổi chiều dài của phân tử ADN.
    (3) Không làm thay đổi thành phần, số lượng gen trên nhiễm sắc thể.
    (4) Làm xuất hiện các alen mới trong quần thể.
    (5) Làm xuất hiện các gen mới trong quần thể.
    Số đặc điểm về đột biến lệch bội là:

  • Câu 50: Nhận biết

    Câu 50:

    Ở một loài thực vật, alen A quy định thân cao trội hoàn toàn so với alen a quy định thân thấp; Alen B quy định quả tròn trội hoàn toàn so với alen b quy định quả dài. Các cặp gen này phân li độc lập. Cho giao phấn hai cây với nhau, thu được F1 gồm 312 cây, trong đó có 78 cây thân thấp, quả dài. Biết rằng không phát sinh đột biến. Trong các phép lai sau đây, có bao nhiêu phép lai phù hợp với kết quả trên?
    (1) AaBb x Aabb.
    (2) AaBB x aaBb.
    (3) Aabb x Aabb.
    (4) aaBb x aaBb.
    (5) Aabb x aabb. 
    (6) aaBb x AaBB.
    (7) Aabb x aaBb.
    (8) AaBb x aabb.
    (9) AaBb x AaBb.

Chúc mừng Bạn đã hoàn thành bài!

Đề thi thử THPT Quốc gia môn Sinh học năm 2016 Trường THPT Hàn Thuyên, Bắc Ninh (Lần 2) Kết quả
  • Thời gian làm bài: 00:00:00
  • Số câu đã làm: 0
  • Điểm tạm tính: 0
  • Điểm thưởng: 0

Đấu trường Đề thi thử THPT Quốc gia môn Sinh học năm 2016 Trường THPT Hàn Thuyên, Bắc Ninh (Lần 2)

Đang tìm đối thủ...

Đang tải...

Xác thực tài khoản!

Theo Nghị định 147/2024/ND-CP, bạn cần xác thực tài khoản trước khi sử dụng tính năng này. Chúng tôi sẽ gửi mã xác thực qua SMS hoặc Zalo tới số điện thoại mà bạn nhập dưới đây:

Số điện thoại chưa đúng định dạng!
Số điện thoại này đã được xác thực!
Bạn có thể dùng Sđt này đăng nhập tại đây!
Lỗi gửi SMS, liên hệ Admin
Sắp xếp theo