Giao diện mới của VnDoc Pro: Dễ sử dụng hơn - chỉ tập trung vào lớp bạn quan tâm. Vui lòng chọn lớp mà bạn quan tâm: Lưu và trải nghiệm
Đóng
Điểm danh hàng ngày
  • Hôm nay +3
  • Ngày 2 +3
  • Ngày 3 +3
  • Ngày 4 +3
  • Ngày 5 +3
  • Ngày 6 +3
  • Ngày 7 +5
Bạn đã điểm danh Hôm nay và nhận 3 điểm!
Nhắn tin Zalo VNDOC để nhận tư vấn mua gói Thành viên hoặc tải tài liệu Hotline hỗ trợ: 0936 120 169

Đề thi thử THPT Quốc gia môn Sinh năm 2016 Trường THPT Yên Thế, Bắc Giang (Lần 3)

Đóng
Bạn đã dùng hết 1 lần làm bài Trắc nghiệm miễn phí. Mời bạn mua tài khoản VnDoc PRO để tiếp tục! Tìm hiểu thêm
Mô tả thêm:

Đề thi thử đại học môn Sinh có đáp án

Đề thi thử THPT Quốc gia môn Sinh năm 2016 Trường THPT Yên Thế, Bắc Giang (Lần 3) là một đề thi mẫu giúp các bạn học sinh lớp 12 làm quen với dạng đề thi cũng như các dạng câu hỏi thường gặp trong đề thi. Tham gia làm bài để bổ sung những kiến thức còn thiếu và tìm hiểu thêm nhiều dạng câu hỏi mới nhé! Chúc các bạn ôn tập tốt!

  • Thời gian làm: 90 phút
  • Số câu hỏi: 50 câu
  • Số điểm tối đa: 50 điểm
Bắt đầu làm bài
Bạn còn 1 lượt làm bài tập miễn phí. Hãy mua tài khoản VnDoc PRO để học không giới hạn nhé! Bạn đã HẾT lượt làm bài tập miễn phí! Hãy mua tài khoản VnDoc PRO để làm Trắc nghiệm không giới hạn và tải tài liệu nhanh nhé!
Mua ngay Đổi điểm
Trước khi làm bài bạn hãy
  • 1 Ôn tập kiến thức đã nêu trong phần Mô tả thêm
  • 2 Tìm không gian và thiết bị phù hợp để tập trung làm bài
  • 3 Chuẩn bị sẵn dụng cụ cần dùng khi làm bài như bút, nháp, máy tính
  • 4 Căn chỉnh thời gian làm từng câu một cách hợp lý
  • Câu 1: Nhận biết

    Câu 1:

    Người ta tiến hành cấy truyền một phôi bò có kiểu gen AABB thành 15 phôi và nuôi cấy thành 15 cá thể. Cả 15 cá thể này:

  • Câu 2: Nhận biết

    Câu 2:

    Một nhóm tế bào sinh tinh chỉ mang đột biến chuyển đoạn tương hỗ ở hai nhiễm sắc thể thuộc hai cặp tương đồng số 3 và số 5 (các NST khác đều bình thường). Biết quá trình giảm phân diễn ra bình thường và không xảy ra trao đổi chéo. Tính theo lí thuyết, tỉ lệ loại giao tử mang nhiễm sắc thể đột biến ở cả hai nhiễm sắc thể trong tổng số giao tử đột biến là:

  • Câu 3: Nhận biết

    Câu 3:

    Ví dụ nào sau đây không phải là thường biến?

  • Câu 4: Nhận biết

    Câu 4:

    Dạng đột biến điểm nào sau đây xảy ra trên gen không làm thay đổi số lượng nuclênôtit của gen nhưng làm thay đổi số lượng liên kết hiđrô trong gen? 

  • Câu 5: Nhận biết

    Câu 5:

    Một loài thực vật lưỡng bội có 12 nhóm gen liên kết. Giả sử có 6 thể đột biến của loài này được kí hiệu từ I đến VI có số lượng nhiễm sắc thể (NST) ở kì giữa của nguyên phân trong mỗi tế bào sinh dưỡng như sau:

    Thể đột biến

    I

    II

    III

    IV

    V

    VI

    Số lượng NST trong tế bào sinh dưỡng

    48

    84

    72

    36

    60

    108

    Cho biết số lượng nhiễm sắc thể trong tất cả các cặp ở mỗi tế bào của mỗi thể đột biến là bằng nhau. Trong các thể đột biến trên, các thể đột biến đa bội chẵn là:

  • Câu 6: Nhận biết

    Câu 6:

    Cho một số phát biểu về hoán vị gen như sau:

    (1) Tần số hoán vị có thể bằng 50%.

    (2) Để xác định tần số hoán vị gen người ta chỉ có thể dùng phép lai phân tích.

    (3) Tỉ lệ giao tử mang gen hoán vị luôn lớn hơn hoặc bằng 25%.

    (4) Tần số hoán vị bằng tổng tỉ lệ các giao tử mang gen hoán vị.

    Trong các phát biểu trên, số phát biểu không đúng là:

  • Câu 7: Nhận biết

    Câu 7:

    Một cặp NST tương đồng được qui ước là Aa. Nếu cặp NST này không phân li ở kì sau của giảm phân I thì sẽ tạo ra các loại giao tử nào?

  • Câu 8: Nhận biết

    Câu 8:

    Cơ quan tương đồng là những cơ quan:

  • Câu 9: Nhận biết

    Câu 9:

    Quá trình tiến hóa dẫn tới hình thành các hợp chất hữu cơ đầu tiên trên Quả đất không có sự tham gia của những nguồn năng lượng nào?

  • Câu 10: Nhận biết

    Câu 10:

    Ở một loài thực v ật lưỡng bội có 6 nhóm gen liên kết. Xét 3 thể đột biến số lượng nhiễm sắc thể là thể một, thể ba và thể tam bội. Số lượng nhiễm sắc thể có trong mỗi tế bào của mỗi thể đột biến khi các tế bào đang ở kỳ sau nguyên phân theo thứ tự là:

  • Câu 11: Nhận biết

    Câu 11:

    Sự trao đổi chéo không cân giữa hai crômatit khác nguồn trong cặp nhiễm sắc thể kép tương đồng xảy ra ở kì đầu của giảm phân I có thể làm phát sinh các loại đột biến nào sau đây?

  • Câu 12: Nhận biết

    Câu 12:

    Theo quan điểm tiến hoá hiện đại, cách li địa lí có vai trò quan trọng vì:

  • Câu 13: Nhận biết

    Câu 13:

    Một phân tử ARN chỉ chứa 3 loại ribonu là ađênin, uraxin và guanin. Nhóm các bộ ba nào sau đây có thể có trên mạch bổ sung của gen đã phiên mã ra phân tử ARN nói trên?

  • Câu 14: Nhận biết

    Câu 14:

    Phát biểu nào sau đây là đúng về ưu thế lai?

  • Câu 15: Nhận biết

    Câu 15:

    Công nghệ tế bào thực vật không có khả năng:

  • Câu 16: Nhận biết

    Câu 16:

    Phát biểu nào sau đây không đúng khi nói về chọn lọc tự nhiên (CLTN);

  • Câu 17: Nhận biết

    Câu 17:

    Ý nghĩa thực tiễn của di truyền liên kết với giới tính là:

  • Câu 18: Nhận biết

    Câu 18:

    Khi nói về quá trình hình thành loài mới theo quan niệm của thuyết tiến hóa hiện đại, phát biểu nào sau đây không đúng?

  • Câu 19: Nhận biết

    Câu 19:

    Phân tử tARN mang axit amin foocmin mêtiônin ở sinh vật nhân sơ có bộ ba đối mã (anticôđon) là:

  • Câu 20: Nhận biết

    Câu 20:

    Để phát hiện vị trí của một gen qui định tính trạng nằm trên nhiễm sắc thể thường; trên nhiễm sắc thể giới tính hay trong tế bào chất, người ta dùng phương pháp nào sau đây?

  • Câu 21: Nhận biết

    Câu 21:

    Phát biểu nào sau đây không đúng về sự phát sinh sự sống trên Trái Đất?

  • Câu 22: Nhận biết

    Câu 22:

    Có 2 tế bào sinh tinh của cơ thể có kiểu gen AaBbDd tiến hành giảm phân bình thường. Biết rằng không xảy ra đột biến, theo lí thuyết, số loại tinh trùng tối đa được tạo ra là:

  • Câu 23: Nhận biết

    Câu 23:

    Cho các nhân tố:
    (1). Biến động di truyền
    (2). Đột biến
    (3). Giao phối không ngẫu nhiên
    (4). Giao phối ngẫu nhiên
    Các nhân tố có thể làm nghèo vốn gen của quần thể là:

  • Câu 24: Nhận biết

    Câu 24:

    Đột biến cấu trúc NST nào sau đây được sử dụng rộng rãi để xác định vị trí gen trên NST.

  • Câu 25: Nhận biết

    Câu 25:

    A Loại vật chất di truyền của chủng vi rút có thành phần nucleotit nào sau đây thường kém bền vững nhất?

  • Câu 26: Nhận biết

    Câu 26:

    Cho các phát biểu sau về hậu quả của đột biến đảo đoạn NST:
    - (1) Làm thay đổi trình tự phân bố của các gen trên NST.
    - (2) Làm giảm hoặc làm tăng số lượng gen trên NST.
    - (3) Làm thay đổi thành phần trong nhóm gen liên kết.
    - (4) Làm cho một gen nào đó vốn đang hoạt động có thể không hoạt động hoặc tăng giảm mức độ hoạt động.
    - (5) Có thể làm giảm khả năng sinh sản của thể đột biến.
    Những phát biểu đúng là:

  • Câu 27: Nhận biết

    Câu 27:

    Ví dụ nào sau đây là cơ quan thoái hóa?

  • Câu 28: Nhận biết

    Câu 28:

    Vùng kết thúc của gen cấu trúc có chức năng:

  • Câu 29: Nhận biết

    Câu 29:

    Đặc điểm nào sau đây chỉ có ở quá trình tự nhân đôi ADN ở sinh vật nhân thực?

  • Câu 30: Nhận biết

    Câu 30:

    Quần thể nào sau đây ở trạng thái cân bằng di truyền?

  • Câu 31: Nhận biết

    Câu 31:

    Trong quần thể người có một số thể đột biến sau:
    (1) Ung thư máu.                (2) Hồng cầu hình liềm.                   (3) Bạch tạng.
    (4) Claiphentơ.                   (5) Dính ngón tay 2 và 3.                 (6) Máu khó đông.
    (7) Tơcnơ.                         (8) Đao.                                          (9) Mù màu.
    Những thể đột biến lệch bội là:

  • Câu 32: Nhận biết

    Câu 32:

    Ở một loài thực vật, biết một gen quy định một tính trạng, trội – lặn hoàn toàn, các gen phân li độc lập. Theo lý thuyết, phép lai P: AaBbDd × Aabbdd cho số cá thể mang kiểu hình lặn về cả ba tính trạng ở đời con chiếm tỉ lệ là:

  • Câu 33: Nhận biết

    Câu 33:

    Ở đậu Hà lan: Trơn trội so với nhăn. Cho đậu hạt trơn lai với đậu hạt nhăn được F1 đồng loạt trơn. F1 tự thụ phấn được F2; Cho rằng mỗi quả đậu F2 có 4 hạt. Xác suất để bắt gặp qủa đậu có 3 hạt trơn và 1 hạt nhăn là bao nhiêu?

  • Câu 34: Nhận biết

    Câu 34:

    Lai hai cây hoa trắng thuần chủng với nhau, thu được F1 gồm toàn cây hoa đỏ. Cho F1 giao phấn với nhau được F2 gồm 56,25% cây hoa đỏ: 43,75% cây hoa trắng. Nếu cho cây hoa đỏ F1 giao phấn với từng cây hoa trắng của F2 thu được thế hệ con. Cho các nhận định về sự phân ly kiểu hình ở thế hệ con của từng phép lai như sau:
    (1) 9 đỏ: 7 trắng. (2) 1 đỏ: 3 trắng. (3) 3 đỏ: 1 trắng.
    (4) 3 đỏ: 5 trắng. (5) 1 đỏ: 1 trắng.
    Trong các nhận định trên, có bao nhiêu nhận định đúng?

  • Câu 35: Nhận biết

    Câu 35:

    Ở một loài động vật ngẫu phối, con đực có cặp nhiễm sắc thể giới tính là XY, con cái có cặp nhiễm sắc thể giới tính là XX. Xét 3 gen, trong đó: gen thứ nhất có 3 alen nằm trên nhiễm sắc thể thường; gen thứ hai có 4 alen nằm trên nhiễm sắc thể giới tính X không có alen tương ứng trên Y; gen thứ ba có 5 alen nằm trên đoạn tương đồng của nhiễm sắc thể giới tính X,Y. Tính theo lý thuyết, loài động vật này có tối đa bao nhiêu kiểu gen về ba gen nói trên?

  • Câu 36: Nhận biết

    Câu 36:

    Một đoạn của gen cấu trúc có trật tự nucleotit trên mạch gốc như sau:
    3’TAX – AAG – GAG – AAT – GTT- TTA – XXT – XGG- GXG – GXX – GAA – ATT 5’
    Nếu đột biến thay thế nuclêôtit thứ 19 là X thay bằng A, thì số axit amin (aa) môi trường cung cấp cho gen đột biến tổng hợp (Tính cả a.a mở đầu) là:

  • Câu 37: Nhận biết

    Câu 37:

    Khi nói về cơ chế di truyền ở sinh vật nhân thực, trong điều kiện không có đột biến xảy ra, có những phát biểu sau:
    (1) Sự nhân đôi ADN xảy ra ở nhiều điểm trong mỗi phân tử ADN tạo ra nhiều đơn vị tái bản.
    (2) Trong quá trình dịch mã, sự kết cặp giữa các nuclêôtit theo nguyên tắc bổ sung diễn ra ở tất cả các nuclêôtit của phân tử mARN.
    (3) Trong quá trình nhân đôi ADN, sự kết cặp giữa các nuclêôtit theo nguyên tắc bổ sung diễn ra ở tất cả các nuclêôtit trên mỗi mạch đơn.
    (4) Trong quá trình phiên mã, sự kết cặp giữa các nuclêôtit theo nguyên tắc bổ sung diễn ra ở tất cả các nuclêôtit trên mạch mã gốc ở vùng mã hóa.
    (5) Trong quá trình nhân đôi ADN, tại mỗi đơn vị tái bản, enzim ligaza chỉ tác động vào một mạch mới được tổng hợp.
    Trong các phát biểu trên, có bao nhiêu phát biểu không đúng?

  • Câu 38: Nhận biết

    Câu 38:

    Cho biết tính trạng màu hoa do hai cặp gen nằm trên 2 cặp nhiễm sắc thể tương tác theo kiểu bổ sung. Khi kiểu gen có mặt cả 2 alen A và B thì biểu hiện kiểu hình hoa đỏ, các kiểu gen cho kiểu hình hoa trắng. Một quần thể đang ở trạng thái cân bằng di truyền có tần số A là 0,4, tần số B là 0,5. Tỉ lệ kiểu hình của quần thể là:

  • Câu 39: Nhận biết

    Câu 39:

    Quần thể ban đầu đang cân bằng di truyền có q(a)=0,01, các đồng hợp tử lặn chết trong dạ con. Hãy tính tần số các alen sau 1 thế hệ?

  • Câu 40: Nhận biết

    Câu 40:

    Dưới đây là các phương pháp tạo giống bằng công nghệ tế bào và ứng dụng chủ yếu của các phương pháp:
    Phương pháp  Ứng dụng
    1. Nuôi cấy hạt phấn sau đó lưỡng bội hóa. k. Tạo giống lai khác loài.
    2. Cấy truyền phôi ở động vật. m. Tạo cơ thể lưỡng bội có kiểu gen đồng hợp tử về tất cả các cặp gen.
    3. Lai tế bào sinh dưỡng ở thực vật. n. Tạo ra nhiều cá thể có kiểu gen giống nhau.

    Trong số các tổ hợp ghép đôi giữa phương pháp tạo giống và ứng dụng sau đây, tổ hợp nào đúng?

  • Câu 41: Nhận biết

    Câu 41:

    Ở cà chua, gen B quy định quả màu đỏ trội hoàn toàn so với alen b quy định quả màu vàng. Khi cho cây cà chua quả màu đỏ dị hợp tự thụ phấn thu được F1. Trong số các quả cà chua màu đỏ ở F1, xác suất chọn được ngẫu nhiên 3 quả, trong đó 2 quả có kiểu gen dị hợp và 1 quả có kiểu gen đồng hợp là:
  • Câu 42: Nhận biết

    Câu 42:

    Ở một loài động vật, xét trong một cơ thể đực có kiểu gen Đề thi thử đại học môn sinh. Khi 150 tế bào của cơ thể này tham gia giảm phân bình thường tạo giao tử, trong các giao tử tạo ra, giao tử abDEg chiếm tỉ lệ 2%. Số tế bào đã xảy ra hoán vị gen là:

  • Câu 43: Nhận biết

    Câu 43:

    Cho những ví dụ sau:
    (1) Cánh dơi và cánh côn trùng.
    (2) Vây ngực của cá voi và cánh dơi.
    (3) Mang cá và mang tôm.
    (4) Chi trước của thú và tay người.
    Những ví dụ về cơ quan tương đồng là:

  • Câu 44: Nhận biết

    Câu 44:

    Ở sinh vật nhân thực, cho các cấu trúc và quá trình sau:
    (1) Phân tử ADN mạch kép. (2) Phân tử tARN. (3) Phân tử prôtêin.
    (4) Quá trình dịch mã. (5) Phân tử mARN. (6) Phân tử ADN mạch đơn.
    Nguyên tắc bổ sung (G – X, A – U và ngược lại) có trong cấu trúc và quá trình:

  • Câu 45: Nhận biết

    Câu 45:

    Gen B dài 221 nm và có 1669 liên kết hiđrô, gen B bị đột biến thành alen b. Một tế bào chứa cặp gen Bb nguyên phân liên tiếp hai lần, môi trường nội bào đã cung cấp 1689 nuclêôtit loại timin và 2211 nuclêôtit loại xitôzin. Có các kết luận sau:
    (1) Dạng đột biến đã xảy ra với gen B là đột biến thay thế 1 cặp G - X bằng 1 cặp A - T.
    (2) Tổng số liên kết hiđrô của gen b là 1669 liên kết.
    (3) Số nuclêôtit từng loại của gen b là A = T = 282; G = X = 368.
    (4) Tổng số nuclêôtit của gen b là 1300 nuclêôtit.
    Trong các kết luận trên, có bao nhiêu kết luận đúng? Biết quá trình nguyên phân diễn ra bình thường.

  • Câu 46: Nhận biết

    Câu 46:

    Ở ruồi giấm, tính trạng màu mắt do một gen gồm hai alen quy định. Cho con đực mắt trắng giao phối với con cái mắt đỏ (P), thu được F1 gồm toàn ruồi mắt đỏ. Cho F1 giao phối tự do với nhau thu được F2 có tỉ lệ kiểu hình 3 con mắt đỏ: 1 con mắt trắng, trong đó ruồi giấm mắt trắng toàn là con đực. Theo lí truyết, trong tổng số ruồi giấm cái thu được ở F2, ruồi cái có kiểu gen dị hợp chiếm tỉ lệ:
     

  • Câu 47: Nhận biết

    Câu 47:

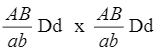
    Cho một quần thể thực vật (Io) có cấu trúc di truyền:  Đề thi thử đại học môn sinh Quần thể (Io) tự thụ phấn qua 3 thế hệ thu được quần thể (I3). Tần số alen A và B của quần thể (I3) lần lượt là:
  • Câu 48: Nhận biết

    Câu 48:

    Cho sơ đồ phả hệ sau:
    Đề thi thử đại học môn sinh

    Sơ đồ phả hệ trên mô tả sự di truyền của một bệnh ở người do một trong hai alen của một gen quy định. Biết rằng không xảy ra đột biến ở tất cả các cá thể trong phả hệ. Xác suất để cặp vợ chồng ở thế hệ III trong phả hệ này sinh ra đứa con gái bị mắc bệnh và con trai bình thường là:

  • Câu 49: Nhận biết

    Câu 49:

    Cho phép lai (P): ♀AaBbDd x ♂AaBbDd. Biết rằng: 8% số tế bào sinh tinh có cặp nhiễm sắc thể mang cặp gen Bb không phân ly trong giảm phân I, các cặp nhiễm sắc thể khác phân ly bình thường, giảm phân II bình thường, các tế bào sinh tinh khác giảm phân bình thường; 20% số tế bào sinh trứng có cặp nhiễm sắc thể mang cặp gen Dd không phân ly trong giảm phân I, các cặp nhiễm sắc thể khác phân ly bình thường, giảm phân II bình thường; 16% số tế bào sinh trứng có cặp nhiễm sắc thể mang cặp gen Aa không phân ly trong giảm phân I, các cặp nhiễm sắc thể khác phân ly bình thường, giảm phân II bình thường, các tế bào sinh trứng khác giảm phân bình thường; các giao tử có sức sống và khả năng thụ tinh ngang nhau. Số loại kiểu gen đột biến tối đa có thể thu được ở F1 là:

  • Câu 50: Nhận biết

    Câu 50:

    Ở một loài động vật, cho biết mỗi gen quy định một tính trạng trội lặn hoàn toàn. Trong quá trình giảm phân tạo giao tử đã xảy ra hoán vị gen ở cả hai giới với tần số như nhau. Phép lai P: Đề thi thử đại học môn sinh thu được F1 có kiểu hình lặn về cả 3 tính trạng là 4%. Cho các nhận định sau về kết quả của F1:

    (1) Có 30 loại kiểu gen và 8 loại kiểu hình.

    (2) Tỉ lệ kiểu hình mang hai tính trạng trội, một tính trạng lặn chiếm 30%.

    (3) Tỉ lệ kiểu hình mang một tính trạng trội, hai tính trạng lặn chiếm 16,5%.

    (4) Kiểu gen dị hợp về cả ba cặp gen chiếm tỉ lệ 34%.

    (5) Trong số các kiểu hình mang 3 tính trạng trội, cá thể thuần chủng chiếm 8/99.

    Trong các nhận định trên, có mấy nhận định đúng?

Chúc mừng Bạn đã hoàn thành bài!

Đề thi thử THPT Quốc gia môn Sinh năm 2016 Trường THPT Yên Thế, Bắc Giang (Lần 3) Kết quả
  • Thời gian làm bài: 00:00:00
  • Số câu đã làm: 0
  • Điểm tạm tính: 0
  • Điểm thưởng: 0

Đấu trường Đề thi thử THPT Quốc gia môn Sinh năm 2016 Trường THPT Yên Thế, Bắc Giang (Lần 3)

Đang tìm đối thủ...

Đang tải...

Xác thực tài khoản!

Theo Nghị định 147/2024/ND-CP, bạn cần xác thực tài khoản trước khi sử dụng tính năng này. Chúng tôi sẽ gửi mã xác thực qua SMS hoặc Zalo tới số điện thoại mà bạn nhập dưới đây:

Số điện thoại chưa đúng định dạng!
Số điện thoại này đã được xác thực!
Bạn có thể dùng Sđt này đăng nhập tại đây!
Lỗi gửi SMS, liên hệ Admin
Sắp xếp theo