Giao diện mới của VnDoc Pro: Dễ sử dụng hơn - chỉ tập trung vào lớp bạn quan tâm. Vui lòng chọn lớp mà bạn quan tâm: Lưu và trải nghiệm
Đóng
Điểm danh hàng ngày
  • Hôm nay +3
  • Ngày 2 +3
  • Ngày 3 +3
  • Ngày 4 +3
  • Ngày 5 +3
  • Ngày 6 +3
  • Ngày 7 +5
Bạn đã điểm danh Hôm nay và nhận 3 điểm!
Nhắn tin Zalo VNDOC để nhận tư vấn mua gói Thành viên hoặc tải tài liệu Hotline hỗ trợ: 0936 120 169

Đề thi thử THPT Quốc gia môn Vật lý lần 1 năm 2016 trường THPT Ngô Sĩ Liên, Bắc Giang

Đóng
Bạn đã dùng hết 1 lần làm bài Trắc nghiệm miễn phí. Mời bạn mua tài khoản VnDoc PRO để tiếp tục! Tìm hiểu thêm
Mô tả thêm:

Luyện thi đại học môn Lý 2016

Sau đây là Đề thi thử THPT Quốc gia môn Vật lý lần 1 năm 2016 trường THPT Ngô Sĩ Liên, Bắc Giang, mời các bạn tham gia làm bài online miễn phí trên trang VnDoc.com. Chúc các bạn làm Đề thi thử THPT Quốc gia môn Vật lý lần 1 năm 2016 trường THPT Ngô Sĩ Liên, Bắc Giang đạt kết quả cao!

Mời bạn tham khảo thêm: Đề thi khảo sát chất lượng môn Vật lý lớp 12 trường THPT Nam Đàn, Nghệ An năm 2015 - 2016 (Lần 3)

  • Thời gian làm: 90 phút
  • Số câu hỏi: 50 câu
  • Số điểm tối đa: 50 điểm
Bắt đầu làm bài
Bạn còn 1 lượt làm bài tập miễn phí. Hãy mua tài khoản VnDoc PRO để học không giới hạn nhé! Bạn đã HẾT lượt làm bài tập miễn phí! Hãy mua tài khoản VnDoc PRO để làm Trắc nghiệm không giới hạn và tải tài liệu nhanh nhé!
Mua ngay Đổi điểm
Trước khi làm bài bạn hãy
  • 1 Ôn tập kiến thức đã nêu trong phần Mô tả thêm
  • 2 Tìm không gian và thiết bị phù hợp để tập trung làm bài
  • 3 Chuẩn bị sẵn dụng cụ cần dùng khi làm bài như bút, nháp, máy tính
  • 4 Căn chỉnh thời gian làm từng câu một cách hợp lý
  • Câu 1: Nhận biết

    Câu 1:

    Một người xách một xô nước đi trên đường, mỗi bước đi dài 40cm. Chu kì dao động riêng của nước trong xô là 0,2s. Để nước trong xô sóng sánh mạnh nhất thì người đó phải đi với vận tốc là

  • Câu 2: Nhận biết

    Câu 2:

    Cơ năng của một vật dao động điều hòa

  • Câu 3: Nhận biết

    Câu 3:

    Một vật dao động điều hòa có chu kì 2 s, biên độ 10 cm. Khi vật cách vị trí cân bằng 6 cm, tốc độ của nó bằng

  • Câu 4: Nhận biết

    Câu 4:

    Trong dao động điều hòa, gia tốc biến thiên

  • Câu 5: Nhận biết

    Câu 5:

    Hiện tượng cộng hưởng xảy ra khi

  • Câu 6: Nhận biết

    Câu 6:

    Trong dao động điều hòa của vật biểu thức nào sau đây là sai?
  • Câu 7: Nhận biết

    Câu 7:

    Một vật dao động với phương trình x = 2sin(2πt + π/3) cm. Biên độ dao động của vật là

  • Câu 8: Nhận biết

    Câu 8:

    Một vật dao động tuần hoàn cứ mỗi ngày thực hiện được 43200 dao động toàn phần. Chu kì dao động của vật là

  • Câu 9: Nhận biết

    Câu 9:

    Một con lắc lò xo có độ cứng 36 N/m và vật nhỏ khối lượng 100g dao động điều hòa. Lấy π2 = 10. Động năng của con lắc biến thiên theo thời gian với tần số là

  • Câu 10: Nhận biết

    Câu 10:

    Khi nói về dao động điều hòa, phát biểu nào sau đây đúng?

  • Câu 11: Nhận biết

    Câu 11:

     Điều kiện để con lắc đơn dao động điều hòa là

  • Câu 12: Nhận biết

    Câu 12:

    Một con lắc lò xo treo thẳng đứng gồm lò xo độ cứng k và vật nặng khối lượng m. Nếu tăng độ cứng lò xo lên 2 lần và giảm khối lượng của vật 2 lần thì chu kỳ dao động của con lắc sẽ

  • Câu 13: Nhận biết

    Câu 13:

    Một vật nhỏ dao động điều hòa với biên độ 4cm và chu kì 2s. Quãng đường vật đi được trong một chu kì là

  • Câu 14: Nhận biết

    Câu 14:

    Con lắc lò xo gồm vật nặng khối lượng m = 100g và lò xo có độ cứng k = 100N/m. Lấy π2 = 10, chu kì dao động của con lắc là

  • Câu 15: Nhận biết

    Câu 15:

    Một vật thực hiện đồng thời hai dao động điều hòa cùng phương, cùng tần số, có biên độ lần lượt là 8cm và 4 cm. Biên độ dao động tổng hợp có thể nhận giá trị bằng

  • Câu 16: Nhận biết

    Câu 16:

    Một vật dao động điều hòa với chu kỳ T thì pha của dao động

  • Câu 17: Nhận biết

    Câu 17:

    Đồ thị mô tả sự phụ thuộc giữa gia tốc a và lực kéo về F của vật dao động điều hòa là

  • Câu 18: Nhận biết

    Câu 18:

    Một vật nhỏ dao động điều hòa theo một quỹ đạo thẳng dài 12 cm. Dao động này có biên độ là

  • Câu 19: Nhận biết

    Câu 19:

    Một vật dao động điều hoà x = 4sin(πt + π/4) cm. Lúc t = 0,5s vật có li độ là

  • Câu 20: Nhận biết

    Câu 20:

    Một con lắc lò xo có khối lượng vật nhỏ là dao động điều hòa với chu kì 1s. Nếu thay vật nhỏ có khối lượng m1 bằng vật nhỏ có khối lượng m2 thì con lắc dao động với chu kì 0,5s. Giá trị m2 là

  • Câu 21: Nhận biết

    Câu 21:

    Chọn phát biểu đúng khi nói về dao động cưỡng bức

  • Câu 22: Nhận biết

    Câu 22:

    Một vật dao động tắt dần có các đại lượng nào sau đây giảm liên tục theo thời gian?

  • Câu 23: Nhận biết

    Câu 23:

    Gia tốc trong dao động điều hòa có biểu thức:

  • Câu 24: Nhận biết

    Câu 24:

    Một con lắc đơn có chiều dài 144cm, dao động điều hòa tại nơi có gia tốc trọng trường g = π2 (m/s2). Chu kì dao động của con lắc là

  • Câu 25: Nhận biết

    Câu 25:

    Hai dao động điều hoà lần lượt có phương trình: x1 = A1cos(20πt + π/2) cm và x2 = A2cos(20πt + π/6) cm. Phát biểu nào sau đây là đúng

  • Câu 26: Nhận biết

    Câu 26:

    Một con lắc đơn dao động điều hòa với chu kì T tại nơi có gia tốc trọng trường g = 9,8m/s2. Nếu tăng hoặc giảm chiều dài con lắc cùng một đoạn 14cm thì chu kì dao động điều hòa tương ứng là T1 và T2 biết T1= 4T2 /3. Chu kì dao động T bằng:
  • Câu 27: Nhận biết

    Câu 27:

    Hai con lắc đơn dao động tại cùng một nơi trên trái đất. Con lắc đơn chiều dài ℓ1 dao động với chu kỳ T1, con lắc đơn có chiều dài ℓ2 > ℓ1 thì dao động với chu kỳ T2. Khi con lắc đơn có chiều dài bằng hiệu chiều dài của hai con lắc sẽ dao động với chu kỳ là
  • Câu 28: Nhận biết

    Câu 28:

    Một chất điểm khối lượng m chuyển động trên trục ox với phương trình x = Acos2(ωt + φ). Vật này dao động tuần hoàn với
  • Câu 29: Nhận biết

    Câu 29:

    Một vật dao động điều hòa, mỗi phút thực hiện được 150 dao động toàn phần. Lúc t = 0, vật đi qua vị trí có li độ -2cm và đang đi về phía biên gần nhất với tốc độ bằng 10π(cm/s). Phương trình dao động của vật là
  • Câu 30: Nhận biết

    Câu 30:

    Một con lắc lò xo treo thẳng đứng với khối lượng của vật là 100 g. Kéo vật theo phương thẳng đứng xuống dưới đến vị trí lò xo giãn 7,9 cm rồi buông nhẹ để nó dao động điều hòa xung quanh vi trí cân bằng với cơ năng 9 mJ. Lấy g = 9,8 m/s2 . Độ cứng của lò xo là
  • Câu 31: Nhận biết

    Câu 31:

    Một vật thực hiện đồng thời hai dao động điều hoà cùng phương, cùng tần số có phương trình dao động là x1 = √2cos(2t + π/3) cm và x2 = √2cos(2t - π/6) cm. Phương trình dao động tổng hợp là
  • Câu 32: Nhận biết

    Câu 32:

    Con lắc lò xo dao động theo phương nằm ngang với biên độ 8 cm, chu kỳ 0,5s. Khối lượng của vật là 0,4 kg. Lấy g = π2 = 10m/s2. Giá trị cực đại của lực đàn hồi tác dụng vào vật là
  • Câu 33: Nhận biết

    Câu 33:

    Một vật có khối lượng 1 kg dao động điều hòa theo phương trình x = 10cos(πt - π/2) (cm). Coi π2 = 10. Lực kéo về ở thời điểm t = 0,5s bằng
  • Câu 34: Nhận biết

    Câu 34:

    Một con lắc đơn có độ dài 120 cm. Người ta thay đổi độ dài của nó sao cho chu kì dao động mới chỉ bằng 90% chu kì dao động ban đầu. Độ dài mới là
  • Câu 35: Nhận biết

    Câu 35:

    Một quả cầu khối lượng m treo vào một lò xo có độ cứng k. Kích thích cho vật dao động với biên độ 5cm thì nó dao động với tần số f = 2,5Hz . Nếu kích thích cho vật dao động với biên độ 10cm thì tần số dao động của nó có thể nhận giá trị nào trong các giá trị sau?
  • Câu 36: Nhận biết

    Câu 36:

    Con lắc lò xo nằm ngang dao động điều hòa với chiều dài lò xo biến thiên từ 52 cm đến 64 cm. Thời gian ngắn nhất chiều dài lò xo giảm từ 64 cm đến 61 cm là 0,3s. Thời gian ngắn nhất để chiều dài lò xo tăng từ 55cm đến 58cm là
  • Câu 37: Nhận biết

    Câu 37:

    Trong dao động điều hòa, thời gian ngắn nhất giữa hai lần động năng bằng thế năng là 0,6s. Giả sử tại một thời điểm nào đó, vật có động năng và thế năng là Wd; Wt ,sau đó một khoảng thời gian Δt vật có động năng là 3Wd và thế năng là Wt/3.Giá trị nhỏ nhất của Δt bằng
  • Câu 38: Nhận biết

    Câu 38:

    Một vật dao động điều hòa với phương trình x = 10cos(πt - π/2) cm. Độ dài quãng đường mà vật đi được trong khoảng thời gian t1 = 1,5s đến t2 = 13/3 s là
  • Câu 39: Nhận biết

    Câu 39:

    Một con lắc đơn có dây rất nhẹ không co dãn dài 1,5 m dao động tại nơi có gia tốc trọng trường là π2 (m/s2). Khi dao động, lúc dây treo thẳng đứng nó bị vướng vào một cái đinh ở trung điểm của dây. Chu kì dao động của hệ con lắc sẽ là
  • Câu 40: Nhận biết

    Câu 40:

    Một con lắc lò xo gồm lò xo nhẹ có độ cứng 100 N/m và vật nhỏ khối lượng m. Con lắc dao động điều hòa theo phương ngang với chu kì T. Biết ở thời điểm t nào đó vật có li độ 5cm, sau đó T/4 vật có tốc độ 50cm/s. Giá trị của m bằng
  • Câu 41: Nhận biết

    Câu 41:

    Một con lắc đơn có dây rất nhẹ không co dãn dài 40 cm, vật nặng 200 g dao động tại nơi có gia tốc trọng trường 10 m/s2 và bỏ qua ma sát. Kéo con lắc để dây lệch góc α = 600 so với phương thẳng đứng rồi buông nhẹ. Lúc lực căng dây treo là 4 N thì vận tốc của vật có giá trị là
  • Câu 42: Nhận biết

    Câu 42:

    Một con lắc đơn dao động đúng tại mặt đất ở nhiệt độ 300 C, dây treo làm bằng kim loại có hệ số nở dài 2.10–5 K–1, bán kính trái đất 6400 km. Khi đưa con lắc lên độ cao h, ở đó nhiệt độ là 20oC, để con lắc dao động đúng thì độ cao h là
  • Câu 43: Nhận biết

    Câu 43:

    Một con lắc lò dao động điều hòa theo phương thẳng đứng có cơ năng 20 mJ, lực đàn hồi cực đại của lò xo 4 N, lực đàn hồi của lò xo khi vật ở vị trí cân bằng là 2 N. Biên độ dao động của vật là
  • Câu 44: Nhận biết

    Câu 44:

    Hai con lắc đơn treo cạnh nhau có chu kỳ dao động nhỏ là 2,4s và 1,8s. Kéo hai con lắc lệch một góc nhỏ như nhau rồi đồng thời buông nhẹ thì hai con lắc sẽ đồng thời trở lại vị trí này sau thời gian ngắn nhất là
  • Câu 45: Nhận biết

    Câu 45:

    Một chất điểm dao động điều hoà dọc theo trục Ox, với O trùng với vị trí cân bằng của chất điểm. Đường biểu diễn sự phụ thuộc li độ chất điểm theo thời gian t cho ở hình vẽ bên. Phương trình vận tốc của chất điểm là 
    Đề thi thử THPT Quốc gia môn Vật lý lần 1 năm 2016 trường THPT Ngô Sĩ Liên, Bắc Giang
  • Câu 46: Nhận biết

    Câu 46:

    Một con lắc lò xo gồm lò xo có độ cứng k = 100 N/m và vật nặng khối lượng 400 g. Được treo vào trần của một thang máy. Khi vật nặng đang đứng yên ở vị trí cân bằng thì thang máy đột ngột chuyển động nhanh dần đều lên trên với gia tốc a = 5 m/s2 và sau thời gian 5 s kể từ khi bắt đầu chuyển động nhanh dần đều thì thang máy chuyển động thẳng đều. Lấy π2 = 10; g = 10 m/s2. Biên độ dao động của vật khi thang máy chuyển động thẳng đều
  • Câu 47: Nhận biết

    Câu 47:

    Một con lắc lò xo đang dao động điều hòa trên mặt phẳng nằm ngang, nhẵn với biên độ A1. Đúng lúc vật M đang ở vị trí biên thì một vật m có khối lượng bằng khối lượng vật M, chuyển động theo phương ngang với vận tốc vo bằng vận tốc cực đại của vật M, đến va chạm với M. Biết va chạm giữa hai vật là đàn hồi xuyên tâm, sau va chạm vật M tiếp tục dao động điều hòa với biên độ A2. Tỉ số biên độ dao động A1/A2 của vật M trước và sau va chạm là
  • Câu 48: Nhận biết

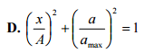
    Câu 49:

    Cho 4 vật dao động điều hòa cùng phương, cùng chung trục tọa độ với biên độ như nhau bằng 10 cm và tần số của các vật tương ứng là f1, f2, f3, f4. Biết rằng tại mọi thời điểm thì ta luôn có Đề thi thử THPT Quốc gia môn Vật lý lần 1 năm 2016 trường THPT Ngô Sĩ Liên, Bắc Giang Tại thời điểm t khi x1 = 5√3 cm, x2 = 6 cm, x3 = 5 cm thì x4 có giá trị gần nhất với giá trị nào sau đây?
  • Câu 49: Nhận biết

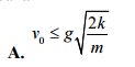
    Câu 48:

    Một lò xo nhẹ có độ cứng K, đầu dưới cố định, đầu trên nối với 1 sợi dây nhẹ không dãn. Sợi dây được vắt qua một dòng rọc cố định, nhẹ và bỏ qua ma sát. Đầu còn lại của sợi dây gắn với vật nặng khối lượng m. Khi vật nặng cân bằng, dây và trục lò xo ở trạng thái thẳng đứng.Từ vị trí cân bằng cung cấp cho vật nặng vận tốc véctơ vo theo phương thẳng đứng. Điều kiện về giá trị vo để vật nặng dao động điều hòa là
  • Câu 50: Nhận biết

    Câu 50:

    Hai điểm sáng 1 và 2 cùng dao động điều hòa trên trục Ox với phương trình dao động là: x1 = A1 cos(ω1t + φ) cm, x2 = A2 cos( ω2t + φ) cm ( với A1 < A2 , ω1> ω2 và 0< φ< π/2). Tại thời điểm ban đầu t = 0 khoảng cách giữa hai điểm sáng là a√3. Tại thời điểm t = Δt hai điểm sáng cách nhau là 2a, đồng thời chúng vuông pha. Đến thời điểm t = 2Δt thì điểm sáng 1 trở lại vị trí đầu tiên và khi đó hai điểm sáng cách nhau 3a√3. Tỉ số ω12 bằng

Chúc mừng Bạn đã hoàn thành bài!

Đề thi thử THPT Quốc gia môn Vật lý lần 1 năm 2016 trường THPT Ngô Sĩ Liên, Bắc Giang Kết quả
  • Thời gian làm bài: 00:00:00
  • Số câu đã làm: 0
  • Điểm tạm tính: 0
  • Điểm thưởng: 0

Đấu trường Đề thi thử THPT Quốc gia môn Vật lý lần 1 năm 2016 trường THPT Ngô Sĩ Liên, Bắc Giang

Đang tìm đối thủ...

Đang tải...

1
Xác thực tài khoản!

Theo Nghị định 147/2024/ND-CP, bạn cần xác thực tài khoản trước khi sử dụng tính năng này. Chúng tôi sẽ gửi mã xác thực qua SMS hoặc Zalo tới số điện thoại mà bạn nhập dưới đây:

Số điện thoại chưa đúng định dạng!
Số điện thoại này đã được xác thực!
Bạn có thể dùng Sđt này đăng nhập tại đây!
Lỗi gửi SMS, liên hệ Admin
Sắp xếp theo