Giao diện mới của VnDoc Pro: Dễ sử dụng hơn - chỉ tập trung vào lớp bạn quan tâm. Vui lòng chọn lớp mà bạn quan tâm: Lưu và trải nghiệm
Đóng
Điểm danh hàng ngày
  • Hôm nay +3
  • Ngày 2 +3
  • Ngày 3 +3
  • Ngày 4 +3
  • Ngày 5 +3
  • Ngày 6 +3
  • Ngày 7 +5
Bạn đã điểm danh Hôm nay và nhận 3 điểm!
Nhắn tin Zalo VNDOC để nhận tư vấn mua gói Thành viên hoặc tải tài liệu Hotline hỗ trợ: 0936 120 169

Đề thi thử THPT Quốc gia môn Vật lý năm 2016 tỉnh Cà Mau

Đóng
Bạn đã dùng hết 1 lần làm bài Trắc nghiệm miễn phí. Mời bạn mua tài khoản VnDoc PRO để tiếp tục! Tìm hiểu thêm
Mô tả thêm:

Luyện thi đại học môn Lý 2016

Sau đây là Đề thi thử THPT Quốc gia môn Vật lý năm 2016 tỉnh Cà Mau, mời quý thầy cô và các bạn học sinh tham khảo làm tài liệu học tập và giảng dạy. Hi vọng Đề thi thử THPT Quốc gia môn Vật lý năm 2016 tỉnh Cà Mau sẽ là tài liệu hay dành cho các bạn.

  • Thời gian làm: 90 phút
  • Số câu hỏi: 1 câu
  • Số điểm tối đa: 10 điểm
Bắt đầu làm bài
Bạn còn 1 lượt làm bài tập miễn phí. Hãy mua tài khoản VnDoc PRO để học không giới hạn nhé! Bạn đã HẾT lượt làm bài tập miễn phí! Hãy mua tài khoản VnDoc PRO để làm Trắc nghiệm không giới hạn và tải tài liệu nhanh nhé!
Mua ngay Đổi điểm
Trước khi làm bài bạn hãy
  • 1 Ôn tập kiến thức đã nêu trong phần Mô tả thêm
  • 2 Tìm không gian và thiết bị phù hợp để tập trung làm bài
  • 3 Chuẩn bị sẵn dụng cụ cần dùng khi làm bài như bút, nháp, máy tính
  • 4 Căn chỉnh thời gian làm từng câu một cách hợp lý
  • Câu 1: Nhận biết
    Cho biết:
    hằng số Plăng h = 6,625.10–34 J.s; độ lớn điện tích nguyên tố e = 1,6.10–19 C; tốc độ ánh sáng trong chân không c = 3.108 m/s; 1 uc2 = 931,5 MeV.
    Câu 1:

    Phát biểu nào dưới đây là sai về các dao động cơ?

    Câu 2:

    Phóng xạ và phân hạch hạt nhân

    Câu 3:

    Giả sử hai hạt nhân X và Y có độ hụt khối bằng nhau và số nuclôn của hạt nhân X nhỏ hơn số nuclôn của hạt nhân Y thì

    Câu 4:

    Một chất điểm dao động điều hoà trên trục Ox. Trong các đại lượng sau: li độ, biên độ, vận tốc, gia tốc thì đại lượng không thay đổi theo thời gian là

    Câu 5:

    Pin quang điện biến đổi trực tiếp

    Câu 6:

    Trong phản ứng hạt nhân không có sự bảo toàn

    Câu 7:

    Khi nói về các loại quang phổ, phát biểu nào sau đây là sai?

    Câu 8: Trong mạch dao động LC lí tưởng đang có dao động điện từ tự do với chu kì dao động riêng T. Gọi Q0, I0 và U0 lần lượt là điện tích cực đại, cường độ dòng điện cực đại và hiệu điện thế cực đại trong mạch. Biểu thức nào sau đây là không đúng?
    Câu 9:

    Khi tần số dòng điện xoay chiều chạy qua đoạn mạch chỉ chứa cuộn cảm tăng lên 4 lần thì cảm kháng của cuộn cảm

    Câu 10:

    Một đoạn mạch điện AB gồm điện trở thuần R = 30 Ω, cuộn dây có điện trở r = 10 Ω và độ tự cảm L và tụ điện có điện dung C thay đổi được ghép nối tiếp theo thứ tự đó. Đặt vào hai đầu AB một điện áp xoay chiều có giá trị hiệu dụng U = 120 V và tần số f không đổi. Điều chỉnh giá trị C để điện áp hiệu dụng giữa hai điểm M, B cực tiểu (M là điểm nối R và cuộn dây). Giá trị cực tiểu này bằng

    Câu 11:

    Trong chân không, các bức xạ được sắp xếp theo thứ tự bước sóng tăng dần là:

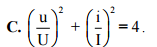
    Câu 12: Đặt điện áp xoay chiều u = U0cosωt vào hai đầu đoạn mạch chỉ có cuộn dây thuần cảm. Gọi U là điện áp hiệu dụng giữa hai đầu mạch; i, I0 và I lần lượt là giá trị tức thời, giá trị cực đại và giá trị hiệu dụng của cường độ dòng điện trong đoạn mạch. Hệ thức nào sau đây sai?
    Câu 13:

    Khi đặt vào 2 đầu một đoạn mạch điện một điện áp u = 220cos(ωt - π/6) (V) thì cường độ dòng điện qua mạch có biểu thức i = 2√2cos(ωt + π/12) (A). Công suất tiêu thụ của đoạn mạch là

    Câu 14:

    Một mạch chọn sóng gồm cuộn dây thuần cảm có hệ số tự cảm L và tụ điện có điện dung C đều thay đổi được. Khi L = L1 và C = C1 thì mạch thu được sóng điện từ có bước sóng λ. Khi L = 3L1 và C = C2 thì mạch cũng thu được sóng điện từ có bước sóng λ. Nếu L = 2L1 và C = C1 + 3C2 thì mạch thu được sóng điện từ có bước sóng là

    Câu 15:

    Một sóng cơ truyền dọc theo trục Ox có phương trình u = Acos(20πt - πx) cm (với x tính bằng cm, t tính bằng s). Tốc độ truyền sóng trong môi trường là

    Câu 16: Phát biểu nào sau đây là không đúng khi nói về sóng điện từ? Sóng điện từ
    Câu 17: Một sợi dây đàn hồi AB dài 0,6 m được căng theo phương nằm ngang trong đó đầu B cố định, đầu A được rung theo phương thẳng đứng với biên độ nhỏ để tạo sóng dừng trên dây. Tần số rung của đầu A có thể thay đổi từ 16 Hz đến 26 Hz. Biết tốc độ truyền sóng trên dây v = 6 m/s. Để có sóng dừng trên dây với đầu A coi là nút sóng thì tần số f có thể nhận các giá trị là
    Câu 18: Trong các đại lượng đặc trưng cho dòng điện xoay chiều sau đây, đại lượng nào có dùng giá trị hiệu dụng?
    Câu 19: Khi nói về tia hồng ngoại, phát biểu nào sau đây sai?
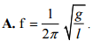
    Câu 20: Một con lắc đơn, vật nhỏ có khối lượng m và dây treo có chiều dài l. Con lắc dao động điều hòa tại nơi có gia tốc trọng trường g với tần số là
    Câu 21: Khi nói về một vật đang dao động điều hòa, phát biểu nào sau đây đúng?
    Câu 22: Theo quan điểm của thuyết lượng tử ánh sáng, phát biểu nào sau đây sai?
    Câu 23: Chọn phát biểu sai. Quá trình truyền sóng là quá trình
    Câu 24:

    Trong chân không, một ánh sáng có bước sóng 0,48 μm. Phôtôn của ánh sáng này mang năng lượng

    Câu 25: Điện áp giữa hai đầu đoạn mạch có biểu thức u = 220√2sin(ωt + φ) (V). Điện áp hiệu dụng của đoạn mạch là
    Câu 26: Chiết suất của nước đối với các ánh sáng đơn sắc màu chàm, màu đỏ, màu tím, màu vàng lần lượt là n1, n2, n3, n4. Sắp xếp theo thứ tự tăng dần các chiết suất này là
    Câu 27: Dao động của một vật được phân tích thành hai dao động điều hòa cùng phương với phương trình: x1 = 4cos(10t + π/6) cm; x2 = 3cos(10t – π/3) cm. Vận tốc lớn nhất của vật là
    Câu 28: Trong phản ứng hạt nhân: 199F + p → 168O + X, hạt X là
    Câu 29: Một dao động điều hòa có phương trình li độ x = 3cos(10πt + π/6) cm. Chu kỳ của dao động là
    Câu 30: Hạt nhân 6730Zn có
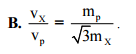
    Câu 31: Để xác định số vòng dây của các cuộn dây của máy biến áp, một học sinh làm như sau: Để hở mạch thứ cấp, mắc cuộn sơ cấp vào nguồn điện xoay chiều. Dùng vôn kế đo điện áp cuộn sơ cấp U1 và cuộn thứ cấp U2. Dùng một dây nhỏ quấn quanh mạch từ của máy 10 vòng, đo điện áp U3 giữa 2 đầu cuộn dây, từ đó tính được số vòng của các cuộn dây. Cho biết U1 = 200 V, U2 = 12 V, U3 = 2 V. Số vòng dây của cuộn sơ cấp, cuộn thứ cấp lần lượt là
    Câu 32: Một đoạn mạch AB gồm một biến trở R mắc nối tiếp với tụ điện có điện dung C = 10-4/π F. Giữa hai điểm A, B có điện áp u = 200(1 + cos100πt) (V). Điều chỉnh biến trở R để công suất tiêu thụ của mạch cực đại. Giá trị cực đại này bằng
    Câu 33: Con lắc đơn có dây treo dài 1,0 m, vật nhỏ khối lượng 50 g. Cho con lắc dao động điều hòa với biên độ góc 8o. Ở li độ góc nào thì độ lớn lực căng dây bằng với trọng lượng của vật?
    Câu 34: Khi êlectron ở quỹ đạo dừng thứ n thì năng lượng của nguyên tử hiđrô được xác định bởi công thức Đề thi thử THPT Quốc gia môn Vật lý năm 2016 tỉnh Cà Mau (eV), (với n = 1, 2, 3, ...). Khi êlectron trong nguyên tử hiđrô chuyển từ quỹ đạo dừng n = 4 về quỹ đạo dừng n = 2 thì nguyên tử phát ra phôtôn có tần số f1. Khi êlectron chuyển từ quỹ đạo dừng n = 5 về quỹ đạo dừng n = 3 thì nguyên tử phát ra phôtôn có tần số f2. Mối liên hệ giữa hai tần số f1 và f2
    Câu 35: Điểm sáng M đặt trên trục chính của một thấu kính và cách thấu kính 30 cm. Chọn trục tọa độ Ox vuông góc với trục chính của thấu kính, O trên trục chính. Cho M dao động điều hòa trên trục Ox thì ảnh M/ của M qua thấu kính dao động điều hòa trên trục O/x / (O/x / song song và cùng chiều Ox). Đồ thị li độ - thời gian của M và M/ như hình vẽ. Tiêu cự của thấu kính bằng 
    Đề thi thử THPT Quốc gia môn Vật lý năm 2016 tỉnh Cà Mau
    Câu 36: Một mạch điện xoay chiều AB gồm điện trở thuần R, cuộn cảm thuần L và tụ điện C mắc nối tiếp, biết ZL = 3ZC. Đặt vào hai đầu A, B một điện áp u = U√2cos2πft (V) (U, f không đổi). Tại thời điểm t nào đó các giá trị tức thời uR = 30 V, uL = 90 V. Giá trị tức thời uAB khi đó bằng
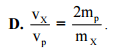
    Câu 37: Bắn một hạt prôtôn có khối lượng mp vào hạt nhân 73Li đứng yên. Phản ứng tạo ra hai hạt nhân X giống nhau có khối lượng mỗi hạt mX, bay ra cùng tốc độ và hợp với phương ban đầu của prôtôn về hai phía các góc bằng nhau và bằng 30o. Tỉ số tốc độ của hạt nhân X (vX) và tốc độ của hạt prôtôn (vp) là
    Câu 38: Trên một sợi dây đàn hồi có ba điểm M, N và P, N là trung điểm của đoạn MP. Trên dây có một sóng lan truyền từ M đến P với chu kỳ T (T > 0,5 s). Hình vẽ bên mô tả dạng sợi dây tại thời điểm t1 (đường 1) và t2 = t1+ 1/2 (s) (đường 2); M, N và P là vị trí cân bằng của chúng trên dây. Lấy Đề thi thử THPT Quốc gia môn Vật lý năm 2016 tỉnh Cà Mau và coi biên độ sóng không đổi khi truyền đi. Tại thời điểm to = t1 – 1/9 (s), vận tốc dao động của phần tử dây tại N là
    Đề thi thử THPT Quốc gia môn Vật lý năm 2016 tỉnh Cà Mau
    Câu 39: Trong giờ thực hành, học sinh treo một con lắc lò xo thẳng đứng (lò xo có khối lượng không đáng kể). Ở vị trí cân bằng của vật lò xo dãn 5 cm. Khi cho vật dao động điều hòa, học sinh này thấy nó thực hiện 25 dao động toàn phần trong thời gian 11,18 s. Số π lấy từ máy tính cầm tay. Theo kết quả này, học sinh tính được gia tốc trọng trường tại nơi làm thí nghiệm là
    Câu 40: Một máy phát điện xoay chiều một pha có phần cảm có 1 cặp cực và điện trở trong của các cuộn dây không đáng kể. Hai cực của máy được nối với mạch ngoài là một hộp kín (trong hộp chỉ chứa một trong 3 loại linh kiện: điện trở thuần, cuộn dây, tụ điện). Khi máy hoạt động và rôto quay với tốc độ thay đổi thì thấy dòng điện trong mạch có giá trị hiệu dụng không đổi. Trong hộp X là
    Câu 41: Một mạch điện gồm điện trở thuần R = 50 Ω, cuộn cảm thuần L và tụ điện có điện dung C thay đổi được mắc nối tiếp. Đặt vào hai đầu đoạn mạch một điện áp xoay chiều u = U√2cos100πt (V), với U không đổi. Đồ thị biểu diễn sự phụ thuộc của điện áp hiệu dụng UC theo C cho bởi hình bên. Công suất tiêu thụ của mạch khi Cω = 100 Ω–1 là 

    Đề thi thử THPT Quốc gia môn Vật lý năm 2016 tỉnh Cà Mau
    Câu 42: Một đoạn mạch AB gồm cuộn dây thuần cảm mắc nối tiếp với tụ ̣điện có điện dung C thay đổi được. Đặt vào hai đầu A, B điện áp xoay chiều có tần số góc ω và giá trị hiệu dụng không đổi thì dung kháng của tụ điện là 100 Ω, cảm kháng là 50 Ω. Ngắt A, B ra khỏi nguồn điện và giảm điện dung của tụ điện một lượng ΔC = 0,125 mF rồi nối tụ điện và cuộn dây với nhau để taọ thành mạch dao động LC thì tần số góc riêng của mạch là 80 rad/s. Giá tri ̣của ω là
    Câu 43: Tại vị trí O trong một nhà máy, một còi báo cháy (xem là nguồn điểm) phát âm đẳng hướng ra không gian với công suất không đổi. Chọn hệ trục tọa độ vuông góc xOy song song với mặt đất, hai điểm P và Q lần lượt nằm trên Ox và Oy. Từ vị trí P, một thiết bị xác định mức độ cường độ âm M bắt đầu chuyển động thẳng với gia tốc a không đổi hướng đến Q, sau khoảng thời gian t1 thì M đo được mức cường độ âm lớn nhất; sau đó, M chuyển sang chuyển động thẳng đều và sau khoảng thời gian t2 = 0,125t1 thì đến Q. So với mức cường độ âm tại P, mức cường độ âm tại Q
    Câu 44: Trong thí nghiệm Y-âng về giao thoa ánh sáng, nguồn sáng phát đồng thời hai ánh sáng đơn sắc λ1, λ2 có bước sóng lần lượt là 0,72 μm và 0,64 μm. Trên màn quan sát, trong khoảng giữa hai vân sáng gần nhau nhất và cùng màu với vân sáng trung tâm có
    Câu 45: Trong thí nghiệm Y-âng về giao thoa ánh sáng, hai khe được chiếu đồng thời hai ánh sáng có bước sóng tương ứng là λ1 = 0,4 µm và λ2 = 0,6 µm. Số vân sáng cùng màu với vân sáng trung tâm (không tính vân sáng trung tâm) trong khoảng giữa vân sáng bậc 5 của bức xạ λ1 và vân sáng bậc 7 của bức xạ λ2 nằm ở hai phía so với vân sáng trung tâm là
    Câu 46: Công thoát êlectron của một kim loại là 4,78 eV. Chiếu lần lượt vào bề mặt tấm kim loại này các bức xạ có bước sóng là λ1 = 0,24 μm; λ2 = 0,32 μm; λ3 = 0,21 μm. Bức xạ nào gây được hiện tượng quang điện đối với kim loại đó?
    Câu 47: Trên mặt một chất lỏng có đặt hai nguồn phát sóng kết hợp S1, S2 cách nhau 15 cm, dao động theo phương thẳng đứng với phương trình u1 = A1cos(100πt - π/6) mm và u2 = A2cos(100πt + 5π/6) mm, coi biên độ sóng không đổi khi truyền đi. Trên đoạn thẳng S1S2, hai điểm cách nhau 9 cm dao động với biên độ cực đại. Biết tốc độ truyền sóng trên mặt chất lỏng có giá trị nằm trong khoảng từ 1,6 m/s đến 2,2 m/s. Số điểm dao động với biên độ cực đại trên đoạn S1S2
    Câu 48: Ban đầu (t = 0) có một mẫu chất phóng xạ X nguyên chất. Ở thời điểm t1 mẫu chất phóng xạ X còn lại 40% hạt nhân chưa bị phân rã. Đến thời điểm t2 = t1 + 80 (s) số hạt nhân X chưa bị phân rã chỉ còn 10% so với hạt nhân ban đầu. Chu kì bán rã của chất phóng xạ đó là
    Câu 49: Một con lắc lò xo lí tưởng (lò xo có độ cứng k và vật có khối lượng m) dao động điều hòa trên trục Ox nằm ngang, quãng đường vật đi được trong một chu kỳ là 40 cm. Khi vật qua li độ x=5 cm thì công suất của lực đàn hồi là P = √3/2 W. Cho biết biểu thức công suất tức thời của lực đàn hồi khi vật ở li độ x và có vận tốc v là P = k|xv|. Công suất cực đại của lực đàn hồi Pmax bằng
    Câu 50: Một mạch điện AB gồm cuộn cảm thuần có độ tự cảm L thay đổi được, điện trở thuần R và tụ điện có điện dung C = )2.10-4)/π F mắc nối tiếp theo thứ tự đó. Đặt vào hai đầu A, B một điện áp xoay chiều u = 100√2cos100πt (V). Điều chỉnh L = L1 thì công suất tỏa nhiệt trên R cực đại và bằng 100 W, điều chỉnh L = L2 thì điện áp hiệu dụng giữa 2 đầu đoạn mạch chứa L và R cực đại. Giá trị L2 gần nhất với giá trị nào sau đây?

Chúc mừng Bạn đã hoàn thành bài!

Đề thi thử THPT Quốc gia môn Vật lý năm 2016 tỉnh Cà Mau Kết quả
  • Thời gian làm bài: 00:00:00
  • Số câu đã làm: 0
  • Điểm tạm tính: 0
  • Điểm thưởng: 0

Đấu trường Đề thi thử THPT Quốc gia môn Vật lý năm 2016 tỉnh Cà Mau

Đang tìm đối thủ...

Đang tải...

3
Xác thực tài khoản!

Theo Nghị định 147/2024/ND-CP, bạn cần xác thực tài khoản trước khi sử dụng tính năng này. Chúng tôi sẽ gửi mã xác thực qua SMS hoặc Zalo tới số điện thoại mà bạn nhập dưới đây:

Số điện thoại chưa đúng định dạng!
Số điện thoại này đã được xác thực!
Bạn có thể dùng Sđt này đăng nhập tại đây!
Lỗi gửi SMS, liên hệ Admin
Sắp xếp theo