Giao diện mới của VnDoc Pro: Dễ sử dụng hơn - chỉ tập trung vào lớp bạn quan tâm. Vui lòng chọn lớp mà bạn quan tâm: Lưu và trải nghiệm
Đóng
Điểm danh hàng ngày
  • Hôm nay +3
  • Ngày 2 +3
  • Ngày 3 +3
  • Ngày 4 +3
  • Ngày 5 +3
  • Ngày 6 +3
  • Ngày 7 +5
Bạn đã điểm danh Hôm nay và nhận 3 điểm!
Nhắn tin Zalo VNDOC để nhận tư vấn mua gói Thành viên hoặc tải tài liệu Hotline hỗ trợ: 0936 120 169

Đề thi thử THPT Quốc gia môn Vật lý năm 2016 tỉnh Yên Bái

Đóng
Bạn đã dùng hết 1 lần làm bài Trắc nghiệm miễn phí. Mời bạn mua tài khoản VnDoc PRO để tiếp tục! Tìm hiểu thêm
Mô tả thêm:

Đề thi thử đại học môn Lý có đáp án

Mời quý thầy cô và các bạn học sinh tham khảo Đề thi thử THPT Quốc gia môn Vật lý năm 2016 tỉnh Yên Bái để làm tài liệu học tập và giảng dạy môn Vật lý. Hi vọng đây sẽ là tài liệu luyện thi hay và hữu ích cho các em học sinh cuối cấp. Chúc các em làm bài đạt kết quả cao!

Mời các em tham khảo thêm: Đề thi thử THPT Quốc gia năm 2016 môn Vật lý trường THPT Triệu Sơn 2, Thanh Hóa (Lần 2)

  • Thời gian làm: 90 phút
  • Số câu hỏi: 1 câu
  • Số điểm tối đa: 10 điểm
Bắt đầu làm bài
Bạn còn 1 lượt làm bài tập miễn phí. Hãy mua tài khoản VnDoc PRO để học không giới hạn nhé! Bạn đã HẾT lượt làm bài tập miễn phí! Hãy mua tài khoản VnDoc PRO để làm Trắc nghiệm không giới hạn và tải tài liệu nhanh nhé!
Mua ngay Đổi điểm
Trước khi làm bài bạn hãy
  • 1 Ôn tập kiến thức đã nêu trong phần Mô tả thêm
  • 2 Tìm không gian và thiết bị phù hợp để tập trung làm bài
  • 3 Chuẩn bị sẵn dụng cụ cần dùng khi làm bài như bút, nháp, máy tính
  • 4 Căn chỉnh thời gian làm từng câu một cách hợp lý
  • Câu 1: Nhận biết
    Cho:
    Hằng số Plăng h = 6,625.10-34J.s; tốc độ ánh sáng trong chân không c = 3.108 m/s; độ lớn điện tích nguyên tố e = 1,6.10-19C; khối lượng của electron là me = 9,1.10-31kg; số A-vô-ga-đrô NA = 6,023.1023mol-1Đề thi thử THPT Quốc gia môn Vật lý năm 2016 tỉnh Yên Bái
    Câu 1:

    Một vật tham gia đồng thời hai dao động điều hòa có phương trình x1 = 2cos(10πt) và x2 = 2cos(10πt - π/2)cm. Vận tốc của chất điểm khi t = 8s là:

    Câu 2:

    Trong nguyên tử Hidro, xét các mức năng lượng từ K đến P, có bao nhiêu khả năng kích thích electron tăng bán kính quỹ đạo lên 4 lần:

    Câu 3:

    Phản ứng nhiệt hạch là:

    Câu 4:

    Một chất điểm có khối lượng m = 100g, dao động điều hòa dọc theo trục Ox với phương trình x = 4cos(2t)cm. Động năng cực đại của chất điểm bằng:

    Câu 5:

    Ứng dụng của tia hồng ngoại:

    Câu 6:

    Ánh sáng nào có thể gây ra hiện tượng quang điện đối với kim loại có giới hạn quang điện λo = 0,2 μm?

    Câu 7:

    Cho mạch điện xoay chiều RLC mắc nối tiếp theo thứ tự gồm cuộn cảm có cảm kháng 14 Ω, điện trở thuần 8 Ω, tụ điện có dung kháng 6 Ω, biết điện áp hai đầu đoạn mạch có giá trị hiệu dụng 200 V. Điện áp hiệu dụng trên đoạn RC là:

    Câu 8:

    Một mạch dao động LC đang hoạt động, cuộn dây có độ tự cảm L = 0,45 mH và tụ điện có điện dung C = 2µF. Chu kì của mạch dao động là:

    Câu 9:

    Sóng điện từ có tần số 12MHz thuộc loại sóng nào dưới đây:

    Câu 10:

    Điều nào sau đây là sai khi nói về những đặc trưng sinh lí của sóng âm:

    Câu 11:

    Gọi nc, nl, nL, nv lần lượt là chiết suất của thuỷ tinh đối với các tia chàm, lam, lục, vàng. Sắp xếp thứ tự nào dưới đây là đúng?

    Câu 12:

    Khi dùng đồng hồ đa năng hiện số có một núm xoay để đo điện áp xoay chiều, ta đặt núm xoay ở vị trí:

    Câu 13: Cho năng lượng liên kết riêng của các hạt nhân α, U234, Th230 lần lượt là 7,1 MeV; 7,63 MeV và 7,7 MeV. Năng lượng tỏa ra khi một hạt nhân U234 phóng xạ α và biến đổi thành Th230 là:
    Câu 14: Trong bao nhiêu phần của chu kì thì cường độ dòng điện có giá trị tức thời lớn hơn giá trị của cường độ dòng điện hiệu dụng?
    Câu 15: Một sóng có tần số 120 Hz truyền trong một môi trường với tốc độ 60 m/s, thì bước sóng của nó là bao nhiêu?
    Câu 16: Đặt vào hai đầu cuộn dây thuần cảm L một hiệu điện thế u = U√2cos(ωt + φ) (V) thì dòng điện chạy qua cuộn dây là i = Iocos(ωt) (A). Giá trị của φ là:
    Câu 17: Một sợi dây đàn hồi dài 60 cm có hai đầu cố định được kích thích cho dao động bằng nam châm điện được nuôi bằng mạng điện xoay chiều có tần số xoay chiều 50 Hz. Trên dây có sóng dừng với năm bó sóng. Tốc độ truyền sóng trên dây:
    Câu 18: Một nguồn âm N đẳng hướng phát ra sóng âm lan truyền trong môi trường không khí. Hai điểm A, B trong không khí cách N các khoảng NA = 10 cm và NB = 20 cm. Nếu mức cường độ âm tại A là Lo (dB) thì mức cường độ âm tại điểm B là:
    Câu 19: Một máy phát điện xoay chiều một pha có phần cảm là roto quay với tốc độ 750 vòng/phút. Tần số của suất điện động cảm ứng là 50 Hz. Số cặp cực của máy phát là:
    Câu 20: Một con lắc lò xo dao động theo phương ngang với cơ năng dao động là 20mJ và lực đàn hồi cực đại là 2N. Biên độ dao động của con lắc là:
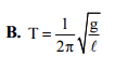
    Câu 21: Con lắc đơn có chiều dài l dao động điều hòa tại nơi có gia tốc trọng trường g. Chu kì dao động là:
    Câu 22: Khi nói về ánh sáng đơn sắc, phát biểu nào sau đây đúng?
    Câu 23: Chất điểm dao động điều hòa trên đoạn MN = 4 cm, với chu kì T = 2 s. Chọn gốc thời gian khi chất điểm có li độ x = -1 cm, đang chuyển động theo chiều dương. Phương trình dao động là:
    Câu 24: Trong thí nghiệm Young, vị trí vân tối thứ 9 cách vân trung tâm 12,75mm. Khoảng cách nhỏ nhất giữa vân sáng bậc 9 và vân tối thứ 12 là:
    Câu 25: Ở bề mặt của chất lỏng có hai nguồn sóng kết hợp S1 và S2 cách nhau 20 cm. Hai nguồn này dao động theo phương thẳng đứng có phương trình lần lượt là u1 = 2cos40πt (mm), u1 = 2cos(40πt + π) (mm). Tốc độ truyền sống trên mặt chất lỏng là 80 cm/s. Số điểm dao động với biên độ cực đại trên đoạn S1S2 là:
    Câu 26: Máy biến áp được dùng để:
    Câu 27: Một con lắc lò xo treo thẳng đứng đưa vật đến vị trí lò xo không biến dạng rồi buông nhẹ, vật dao động điều hòa, khi vật tới vị trí cân bằng lần đầu hết thời gian 0,125 s. Lấy g = 10 m/s2 ; π2 = 10. Tốc độ trung bình của vật trong một chu kì bằng:
    Câu 28: Một chất phóng xạ có chu kỳ bán rã T = 693 h. Hỏi sau bao lâu thì số hạt nhân của chất đó giảm đi e lần (với ln e = 1)?
    Câu 29: Trong dao động điều hòa thì:
    Câu 30: Theo nội dung của thuyết, kết luận nào sau đây là sai:
    Câu 31: Trong thí nghiệm Y-âng về giao thoa ánh sáng, khoảng cách giữa hai khe là 1 mm; khoảng cách từ hai khe đến màn là 1m và nguồn phát ra hai bức xạ có bước sóng λ1 = 500nm,  λ2 =600 nm. Bề rộng trường giao thoa trên màn 15mm. Số vân sáng trên màn có màu cùng màu với vân sáng trung tâm (kể cả vân trung tâm) là:
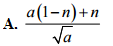
    Câu 32: Trong quá trình truyền tải điện năng đi xa, ban đầu độ giảm điện áp trên đường dây tải điện một pha bằng n lần điện áp ở nơi truyền đi. Coi cường độ dòng điện trong mạch luôn cùng pha với điện áp. Để công suất hao phí trên đường dây giảm đi a lần nhưng vẫn đảm bảo công suất truyền tới nơi tiêu thụ là không đổi, cần phải tăng điện áp của nguồn lên bao nhiêu lần?
    Câu 33: Một dây đàn hồi rất dài có đầu A dao động với tần số f theo phương vuông góc với sợi dây. Tốc độ truyền sóng trên dây là 4 m/s. Xét điểm M trên dây và cách A một đoạn 14 cm, người ta thấy M luôn dao động ngược pha với nguồn. Biết tần số f có giá trị trong khoảng từ 98 Hz đến 102 Hz. Bước sóng của sóng đó có giá trị là:
    Câu 34: Một mạch dao động LC lí tưởng gồm cuộn dây thuần cảm L = 50 mH và tụ điện có điện dung C. Trong mạch đang có dao động điện từ tự do với cường độ dòng điện trong mạch i = 0,16cos(4000t) (i tính bằng A, t tính bằng s). Ở thời điểm điện áp tức thời giữa hai bản tụ là 16 V và đang giảm, độ lớn cường độ dòng điện qua mạch ở thời điểm t + (25π/6). 10-5 s là:
    Câu 35: Một con lắc lò xo được treo trên trần một thang máy. Khi thang máy đứng yên thì con lắc được kích thích dao động điều hòa theo phương thẳng đứng với chu kỳ 0,4 s, biên độ 5 cm. Vừa lúc quả cầu của con lắc đang đi qua vị trí lò xo không biến dạng theo chiều từ trên xuống thì thang máy chuyển động nhanh dần đều đi lên với gia tốc có độ lớn 5 m/s2. Lấy g = π2= 10 m/s2. Sau đó con lắc dao động với biên độ là:
    Câu 36: Đặt một điện áp xoay chiều u = U√2cos(ωt + φ) (V) vào hai đầu đoạn mạch gồm cuộn cảm thuần L, tụ điện C và điện trở thuần R mắc nối tiếp. Tăng dần điện dung của tụ điện, gọi t1, t2 và t3 là thời điểm mà giá trị hiêu dụng UL, UC và UR đạt giá trị cực đại. Kết luận nào sau đây là đúng?
    Câu 37: Mạch chọn sóng cộng hưởng của một máy thu thanh vô tuyến gồm một cuộn cảm và một tụ xoay. Khi điện dung của tụ là C1 thì mạch bắt được sóng có tần số f1 = 20√2MHz, khi tụ có điện dung C2 thì mạch bắt được tần số f2 = 20 MHz. Khi tụ điện có điện dung C3 = 2C1 + 3C2 thì mạch bắt được sóng có tần số là:
    Câu 38: Cho một nguyên tử Hiđrô có mức năng lượng thứ n tuân theo công thức En = -13,6/n2 (eV), nguyên tử đang ở trạng thái kích thích thứ nhất. Kích thích nguyên tử để bán kính quỹ đạo tăng lên 9 lần. Tìm tỉ số giữa bước sóng hồng ngoại lớn nhất và bước sóng nhìn thấy nhỏ nhất mà nguyên tử này có thể phát ra:
    Câu 39: Con lắc đơn có chiều dài dây treo là 90 cm, khối lượng vật nặng bằng 60 g, dao động tại nơi có gia tốc trọng trường g = 10 m/s2. Biết độ lớn lực căng cực đại của dây treo lớn gấp 4 lần độ lớn lực căng cực tiểu của nó. Bỏ qua mọi ma sát, chọn gốc thế năng ở vị trí cân bằng. Cơ năng dao động của con lắc có giá trị:
    Câu 40: Trong thí nghiệm giao thoa Y-âng với ánh sáng đơn sắc trên màn chỉ quan sát được 21 vạch sáng và khoảng cách giữa hai vạch sáng đầu và cuối là 40 mm. Tại hai điểm M, N là hai vị trí của hai vân sáng trên màn. Hãy xác định số vân sáng trên đoạn MN biết rằng khoảng cách giữa hai điểm đó là 24 mm.
    Câu 41: Đặt một điện áp xoay chiều u = Uocosωt (V) vào hai đầu đoạn mạch AB theo tứ tự gồm điện trở R = 90 Ω, cuộn dây không thuần cảm có điện trở r = 10 Ω và tụ điện có điện dung C thay đổi được. M là điểm nối giữa điện trở R và cuộn dây. Khi C = C1 thì điện áp hiệu dụng hai đầu đoạn mạch MB đạt giá trị cực tiểu bằng U1 ; khi C = C2 = C1/2 thì điện áp hiệu dụng trên tụ điện đạt giá trị cực đại bằng U2. Tỉ số U2/Ubằng:
    Câu 42: Hạt prôtôn p có động năng K1 = 5,48MeV được bắn vào hạt nhân 94Be đứng yên thì thấy tạo thành một hạt nhân 63Li và một hạt X bay ra với động năng bằng K2 = 4MeV theo hướng vuông góc với hướng chuyển động của hạt p tới. Tính vận tốc chuyển động của hạt nhân Li (lấy khối lượng các hạt nhân tính theo đơn vị u gần bằng số khối của nó). Cho 1u = 931,5 MeV/c2.
    Câu 43: Trong nguyên tử Hiđrô, khi electron chuyển động trên quĩ đạo M thì vận tốc của electron là v1. Khi electron hấp thụ năng lượng và chuyển lên quĩ đạo P thì vận tốc của electron là v2. Tỉ số vận tốc v2/v1 là:
    Câu 44: Một động cơ điện xoay chiều sản xuất ra một công suất cơ học 8,5 kW và có hiệu suất 85%. Mắc động cơ với cuộn dây rồi mắc chúng vào mạng điện xoay chiều. Biết dòng điện có giá trị hiệu dụng 50A và trễ pha so với điện áp hai đầu động cơ là π/6. Điện áp hai đầu cuộn dây có giá trị hiệu dụng 125V và sớm pha so với dòng điện là π/3. Xác định điện áp hiệu dụng của mạng điện.
    Câu 45: Một người dùng bộ sạc điện USB Power Adapter A1385 lấy điện từ mạng điện sinh hoạt để sạc điện cho Smartphone Iphone 6 Plus. Thông số kỹ thuật của A1385 và pin của Iphone 6 Plus được mô tả bằng bảng sau:
    USB Power Adapter A1385 Pin của Smartphone Iphone 6 Plus
    Input: 100 V – 240 V; ~50/60 Hz; 0,15 A.
    Ouput: 5 V; 1 A.
    Dung lượng Pin: 2915 mAh.
    Loại Pin: Pin chuẩn Li-Ion.
    Khi sạc pin cho Iphone 6 từ 0% đến 100% thì tổng dung lượng hao phí và dung lượng mất mát do máy đang chạy các chương trình là 25%. Xem dung lượng được nạp đều và bỏ qua thời gian nhồi pin. Thời gian sạc pin từ 0% đến 100% khoảng:
    Câu 46: Một nguồn điểm S phát sóng âm đẳng hướng ra không gian. Hai điểm A, B cách nhau 100 m cùng nằm trên phương truyền sóng cùng phía với S. Điểm M là trung điểm AB và cách nguồn 70 m có mức cường độ âm 40 dB. Biết cường độ âm chuẩn Io = 10-12 W/m2 và tốc độ truyền âm trong không khí là 340 m/s và môi trường không hấp thụ âm. Năng lượng của sóng âm trong khoảng không gian giới hạn bởi hai mặt cầu tâm S qua A và B là:
    Câu 47: Người ta đo một lượng nhỏ dung dịch chứa đồng vị phóng xạ 15O chu kì bán rã 120 s, có độ phóng xạ 1,5 mCi vào một bình nước rồi khuấy đều. Sau 1 phút, người ta lấy ra 5mm3 nước trong bình đó thì đo được độ phóng xạ là 1560 phân rã/phút. Thể tích nước trong bình đó xấp xỉ bằng:
    Câu 48: Đoạn mạch xoay chiều u = Uocosωt(V) vào hai đầu đoạn mạch nối tiếp gồm điện trở thuần R, cuộn cảm thuần và tụ điện, khi đó mạch có ZL = 4ZC. Tại một thời điểm nào đó, điện áp tức thời trên cuộn dây có giá trị cực đại là 220 V thì điện điện áp tức thời giữa hai đầu đoạn mạch lúc đó là:
    Câu 49: Một con lắc lò xo đang dao động điều hòa mà lực đàn hồi và chiều dài của lò xo có mối liên hệ được cho bởi đồ thị hình vẽ. Cho g = 10 m/s2. Biên độ và chu kỳ dao động của con lắc là:
    Đề thi thử THPT Quốc gia môn Vật lý năm 2016 tỉnh Yên Bái
    Câu 50: Cho đoạn mạch RLC mắc nối tiếp (cuộn dây thuần cảm) với CR2 < 2L.. Đặt vào hai đầu đoạn mạch một điện áp xoay chiều u = Uocosωt(V) với ω thay đổi được. Điểu chỉnh ω để điện áp giữa hai bản tụ đạt giá trị cực đại, khi đó điện áp hiệu dụng trên điện trở gấp 5 lần điện áp hiệu dụng trên cuộn dây. Hệ số công suất của đoạn mạch đó là:

Chúc mừng Bạn đã hoàn thành bài!

Đề thi thử THPT Quốc gia môn Vật lý năm 2016 tỉnh Yên Bái Kết quả
  • Thời gian làm bài: 00:00:00
  • Số câu đã làm: 0
  • Điểm tạm tính: 0
  • Điểm thưởng: 0

Đấu trường Đề thi thử THPT Quốc gia môn Vật lý năm 2016 tỉnh Yên Bái

Đang tìm đối thủ...

Đang tải...

1
Xác thực tài khoản!

Theo Nghị định 147/2024/ND-CP, bạn cần xác thực tài khoản trước khi sử dụng tính năng này. Chúng tôi sẽ gửi mã xác thực qua SMS hoặc Zalo tới số điện thoại mà bạn nhập dưới đây:

Số điện thoại chưa đúng định dạng!
Số điện thoại này đã được xác thực!
Bạn có thể dùng Sđt này đăng nhập tại đây!
Lỗi gửi SMS, liên hệ Admin
Sắp xếp theo