Giao diện mới của VnDoc Pro: Dễ sử dụng hơn - chỉ tập trung vào lớp bạn quan tâm. Vui lòng chọn lớp mà bạn quan tâm: Lưu và trải nghiệm
Đóng
Điểm danh hàng ngày
  • Hôm nay +3
  • Ngày 2 +3
  • Ngày 3 +3
  • Ngày 4 +3
  • Ngày 5 +3
  • Ngày 6 +3
  • Ngày 7 +5
Bạn đã điểm danh Hôm nay và nhận 3 điểm!
Nhắn tin Zalo VNDOC để nhận tư vấn mua gói Thành viên hoặc tải tài liệu Hotline hỗ trợ: 0936 120 169

Đề thi thử THPT Quốc gia môn Vật lý năm 2016 trường THPT Chuyên Nguyễn Huệ, Hà Nội (Lần 2)

Đóng
Bạn đã dùng hết 1 lần làm bài Trắc nghiệm miễn phí. Mời bạn mua tài khoản VnDoc PRO để tiếp tục! Tìm hiểu thêm
Mô tả thêm:

Đề thi đại học môn Lý có đáp án

Đề thi thử THPT Quốc gia môn Vật lý năm 2016 trường THPT Chuyên Nguyễn Huệ, Hà Nội (Lần 2) là đề ôn thi hay và hữu ích cho các sĩ tử đang chuẩn bị kiến thức cho mùa thi sắp tới năm 2016. Trong đề này, các bạn sẽ có 50 câu hỏi, thời gian làm bài là 90 phút.

  • Thời gian làm: 60 phút
  • Số câu hỏi: 1 câu
  • Số điểm tối đa: 10 điểm
Bắt đầu làm bài
Bạn còn 1 lượt làm bài tập miễn phí. Hãy mua tài khoản VnDoc PRO để học không giới hạn nhé! Bạn đã HẾT lượt làm bài tập miễn phí! Hãy mua tài khoản VnDoc PRO để làm Trắc nghiệm không giới hạn và tải tài liệu nhanh nhé!
Mua ngay Đổi điểm
Trước khi làm bài bạn hãy
  • 1 Ôn tập kiến thức đã nêu trong phần Mô tả thêm
  • 2 Tìm không gian và thiết bị phù hợp để tập trung làm bài
  • 3 Chuẩn bị sẵn dụng cụ cần dùng khi làm bài như bút, nháp, máy tính
  • 4 Căn chỉnh thời gian làm từng câu một cách hợp lý
  • Câu 1: Nhận biết
    Cho:
    c = 3.108m/s; h = 6,625.10-34Js; me = 9,1.10-31kg. e = 1,6.10-19C, g = 10 m/s2
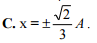
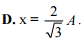
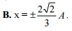
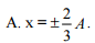
    Câu 1: Vật dao động điều hòa với phương trình: x = 20cos(2Πt - Π/2)(cm) (t đo bằng giây). Li độ của vật tại thời điểm t = 1/12 (s) là:
    Câu 2:
    Đặt điện áp xoay chiều có giá trị hiệu dụng U = 100√3 V vào 2 đầu đoạn mạch gồm cuộn dây có điện trở thuần nối tiếp với tụ C có điện dung thay đổi được. Cho C thay đổi đến khi điện áp hiệu dụng 2 đầu tụ điện đạt cực đại UCmax thì điện áp hiệu dụng hai đầu cuộn dây là UD = 100V. Giá trị UCmax bằng 
    Câu 3: Theo định nghĩa dòng điện xoay chiều là dòng điện biến thiên điều hoà theo thời gian. Phát biểu nào sau đây đúng?
    Câu 4: Một con lắc đơn có chu kì dao động trên mặt đất là To = 2 s. Lấy bán kính Trái đất R = 6400 km. Đưa con lắc lên độ cao h = 3200 m và coi nhiệt độ không đổi thì chu kì con lắc bằng
    Câu 5:
    Trong thí nghiệm Iâng về giao thoa ánh sáng, hai khe hẹp cách nhau một khoảng 0,5 mm, khoảng cách từ mặt phẳng chứa hai khe đến màn quan sát là 1,5 m. Hai khe được chiếu bằng bức xạ có bước sóng 0,6 μm. Trên màn thu được hình ảnh giao thoa. Tại điểm M trên màn cách vân sáng trung tâm một khoảng 5,4 mm có : 
    Câu 6: Chiếu một bức xạ có bước sóng λ = 0,48 μm lên một tấm kim loại có công thoát A = 2,4.10-19J. dùng màn chắn tách ra một chùm hẹp các êlectron quang điện và hướng chúng bay theo chiều véc tơ cường độ điện trường có E = 1000 V/m. Quãng đường tối đa mà êlectron chuyển động được theo chiều véc tơ cường độ điện trường xấp xỉ là:
    Câu 7:

    Một vật dao động điều hòa, cứ mỗi phút thực hiện được 120 dao động. Khoảng thời gian giữa 2 lần liên tiếp động năng bằng một nửa cơ năng của nó là:

    Câu 8: Bước sóng là khoảng cách giữa hai điểm
    Câu 9:
    Một sóng hình sin có biên độ A không đổi, truyền theo chiều dương của trục Ox từ nguồn O với chu kì T, bước sóng λ. Gọi M và N là hai điểm nằm trên Ox ở cùng phía so với O sao cho OM – ON = 4λ/ 3. Các phân tử vật chất môi trường đang dao động. Tại thời điểm t, phần tử môi trường tại M có li độ A/2 và đang tăng, khi đó phần tử môi trường tại N có li độ bằng:
    Câu 10:
    Mạch dao động điện từ LC, khi dùng tụ điện có điện dung C1 mạch thu được sóng vô tuyến λ1 = 3m, khi dùng tụ điện có điện dung C2 mạch thu được sóng λ2 = 4m. Khi dùng hai tụ C1 và C2 ghép nối tiếp thì sóng vô tuyến thu được là 
    Câu 11:
    Hộp kín chứa một tụ điện hoặc một cuộn dây thuần cảm. Người ta mắc nối tiếp hộp kín với điện trở thuần R = 100Ω. Khi đặt vào đoạn mạch điện áp u = 100√2cos100Πt(V) thì điện áp sớm pha Π/3 so với dòng điện trong mạch. Hộp kín chứa gì? Giá trị bằng bao nhiêu? Cường độ dòng điện bằng bao nhiêu?
    Câu 12: Một tấm kim loại có công thoát A, người ta chiếu vào kim loại chùm sáng có năng lượng của photon là hf thì các electron quang điện được phóng ra có động năng ban đầu cực đại là K. Nếu tần số của bức xạ chiếu tới tăng gấp đôi thì động năng ban đầu cực đại của các electron quang điện là:
    Câu 13: Một nguồn sáng phát ra đồng thời hai ánh sáng đơn sắc màu đỏ có bước sóng λ1 = 0,72μm và bức xạ màu cam có bước sóng λ2 chiếu vào khe Iâng. Trên màn người ta quan sát thấy giữa vân sáng cùng màu và gần nhất so với vân trung tâm có 8 vân màu cam. Bước sóng của bức xạ λ2 là
    Câu 14:
    Một nguồn âm là nguồn điểm phát âm đẳng hướng trong không gian. Giả sử không có sự hấp thụ và phản xạ âm.Tại một điểm cách nguồn âm 10m thì mức cường độ âm là 80 dB. Tại điểm cách nguồn âm 1m thì mức cường độ âm là 
    Câu 15:
    Trên mặt nước có 2 nguồn dao động kết hợp S1 và S2 dao động với phương trình u = cos(50Πt) cm. Tốc độ truyền sóng trên mặt nước là 5m/s. Xem biên độ sóng không thay đổi trong quá trình truyền đi. Biên độ dao động tại điểm M trên mặt nước cách S1 và S2 lần lượt là d1 = 15cm và d2 = 10cm là
    Câu 16:
    Một sóng dừng trên sợi dây căng ngang với hai đầu cố định, bụng sóng dao động với biên độ bằng 2a. Người ta quan sát thấy những điểm có cùng biên độ ở gần nhau cách đều nhau 12cm. Bước sóng và biên độ dao động của những điểm cùng biên độ nói trên là
    Câu 17:
    Trong thí nghiệm Iâng, hai khe được chiếu sáng bằng ánh sáng trắng (có bước sóng từ 0,38μm đến 0,76μm). Khi đó taị vị trí vân sáng bậc 3 của ánh sáng đỏ (λđỏ = 0,75μm), còn có thêm bao nhiêu bức xạ đơn sắc cho vân sáng tại đó? 
    Câu 18:
    Cuộn sơ cấp của máy biến áp hạ áp có N1= 1200 vòng, điện áp xc đặt vào cuộn sơ cấp là U1= 100V. Theo tính toán thì điện áp hiệu dụng 2 đầu thứ cấp để hở là 60V nhưng vì có một số vòng dây của cuộn thứ cấp quấn theo chiều ngược lại so với đa số vòng còn lại nên điện áp hiệu dụng 2 đầu thứ cấp chỉ là U2' = 40V. Bỏ qua mọi hao phí trong máy. Số vòng quấn ngược bằng? 
    Câu 19: Chọn kết luận sai. Một con lắc đơn đang dao động điều hòa. Khi vật nặng đi qua vị trí cân bằng người ta giữ cố định điểm chính giữa của dây treo. Sau đó
    Câu 20: Cho đoạn mạch AB gồm hai đoạn mạch AM và MB mắc nối tiếp nhau. Đoạn mạch AM gồm điện trở R = 60(Ω) mắc nối tiếp với tụ Đề thi thử THPT Quốc gia môn Vật lý năm 2016 trường THPT Chuyên Nguyễn Huệ, Hà Nội (Lần 2) AB điện áp xoay chiều có biểu thức không đổi u =150√2 cos(100Πt)(V). Điều chỉnh L để μAM và μAB vuông pha nhau. Khi đó điện áp hiệu dụng giữa hai đầu cuộn cảm bằng :
    Câu 21: Trong dao động điều hoà khi vận tốc của vật cực tiểu thì
    Câu 22: Đặt điện áp u = 200cosωt(V) vào hai đầu đoạn mạch R, L, C mắc nối tiếp. Độ tự cảm và điện dung không đổi. Điều chỉnh R để công suất trên mạch đạt giá trị cực đại; điện áp hiệu dụng hai đầu điện trở khi đó là
    Câu 23: Con lắc lò xo gồm vật có khối lượng m, lò xo có độ cứng k được kích thích dao động với biên độ A. Khi đi qua vị trí cân bằng tốc độ của vật là vo. Khi tốc độ của vật là vo/3 thì nó ở li độ
    Câu 24: Phát biểu nào sau đây là đúng khi nói về sóng điện từ?
    Câu 25:

    Dùng phương pháp Ion hoá không phát hiện được bức xạ nào?

    Câu 26:
    Chiếu bức xạ có bước sóng λ1 = 0,25μm vào catôt của một tế bào quang điện cần một hiệu điện thế hãm U1 = 3V để triệt tiêu dòng quang điện. Chiếu đồng thời λ1 và λ2 = 0,15μm thì hiệu điện thế hãm khi đó là bao nhiêu? Biết hằng số Plăng h = 6,625.10-34J.s, tốc độ ánh sáng trong chân không c = 3.108m/s và điện tích nguyên tố e = 1,6.10-19C. 
    Câu 27:
    Chiếu bức xạ có bước sóng λ = 0,533μm lên tấm kim loại có công thoát A = 3. 10-19J. Dùng màn chắn tách ra một chùm hẹp các electron quang điện và cho chúng bay vào từ trường đều theo hướng vuông góc với các đường cảm ứng từ. Biết bán kính cực đại của quỹ đạo của các electron là R = 22,75mm. Bỏ qua tương tác giữa các electron. Tìm độ lớn cảm ứng từ B của từ trường? 
    Câu 29: Chọn câu sai khi nói về sóng dừng xảy ra trên sợi dây.
    Câu 30: Trong thí nghiệm giao thoa ánh sáng Young với bức xạ đơn sắc có bước sóng λ. Vân sáng bậc 4 cách vân trung tâm 4,8mm. Xác định vị trí của vân tối thứ 4?
    Câu 31: Trong chân không, các bức xạ được sắp xếp theo thứ tự tần số giảm dần là:
    Câu 32: Một đoạn mạch R-L-C mắc nối tiếp. Đặt vào hai đầu đoạn mạch một điện áp xoay chiều có giá trị hiệu dụng U, tần số thay đổi được. Tại tần số 80Hz điện áp hai đầu cuộn dây thuần cảm cực đại, tại tần số 50Hz điện áp hai bản tụ cực đại. Để điện áp hiệu dụng trên điện trở thuần trong mạch cực đại ta cần điều chỉnh tần số đến giá trị
    Câu 33: Nhận định nào sau đây là đúng về thuyết lượng tử
    Câu 34: Trong một mạch điện xoay chiều thì tụ điện có tác dụng:
    Câu 35: Phát biểu nào sau đây về mạch dao động là sai?
    Câu 36:
    Một con lắc lò xo dao động điều hoà tự do theo phương nằm ngang với chiều dài quỹ đạo là 14cm. Vật có khối lượng m = 100g, lò xo có độ cứng k = 100N/m. Cho Π2 ≈ 10. Quãng đường lớn nhất mà vật đi được trong 1/15s là:
    Câu 37:
    Nếu tốc độ quay của roto tăng thêm 60 vòng/phút thì tần số của dòng điện xoay chiều do máy phát ra tăng từ 50Hz đến 60Hz và suất điện động hiệu dụng của máy thay đổi 40V so với ban đầu. Hỏi nếu tiếp tục tăng tốc độ của roto thêm 60 vòng/phút nữa thì suất điện động hiệu dụng khi đó do máy phát ra là 
    Câu 38:
    Cho đoạn mạch điện AB không phân nhánh mắc theo thứ tự: một cuộn cảm, một tụ điện có điện dung C thay đổi được, một điện trở thuần R = 50Ω. Giữa A, B có một điện áp xoay chiều luôn ổn định u = 164√2 cosωt (V). Cho C thay đổi. Khi dung kháng của tụ điện bằng 40Ω thì điện áp giữa hai đầu cuộn cảm lệch pha Π/2 so với điện áp giữa hai đầu mạch MB (mạch MB chứa C và R) và công suất tiêu thụ của mạch AB lớn nhất Pmax. Giá trị của Pmax bằng
    Câu 39:
    Trên trục chính của một thấu kính hội tụ mỏng, đặt một màn ảnh M vuông góc với trục chính của thấu kính tại tiêu điểm ảnh Fđ’ của thấu kính đối với ánh sáng đỏ. Biết thấu kính có rìa là đường tròn đường kính d. Khi chiếu chùm ánh sáng trắng dạng trụ có đường kính d và có trục trùng với trục chính của thấu kính thì kết luận nào sau đây là đúng về vệt sáng trên màn 
    Câu 40:
    Một con lắc lò xo gồm vật m treo vào lò xo thì tại vị trí cân bằng lò xo dãn một đoạn 4cm. Chiều dài quỹ đạo của vật trong quá trình dao động là 16 cm. Chọn mốc thời gian tại vị trí vật có động năng bằng thế năng và khi đó vật đang đi về phía vị trí cân bằng theo chiều dương của trục tọa độ. Biểu thức dao động của con lắc là?
    Câu 41:
    Mạch dao động của một máy phát sóng vô tuyến gồm cuộn cảm và một tụ điện phẳng mà khoảng cách giữa hai bản tụ có thể thay đổi. Khi khoảng cách giữa hai bản tụ là 4mm thì máy phát ra sóng có bước sóng 150m. Để máy phát ra sóng có bước sóng 120m thì khoảng cách giữa hai bản phải 
    Câu 42:
    Có hai tụ giống nhau chưa tích điện và một ăc quy có suất điện động E. Lần thứ nhất 2 tụ mắc song song, lần thứ hai 2 tụ mắc nối tiếp, rồi nối với nguồn điện để tích điện. Sau đó tháo hệ tụ ra khỏi nguồn và khép kín mạch với 1 cuộn dây thuần cảm để tạo ra mạch dao động điện từ. Khi hiệu điện thế trên các tụ trong 2 trường hợp bằng nhau và bằng E/4 thì tỉ số năng lượng từ trường trong 2 trường hợp là: 
    Câu 43:
    Đặt một điện áp xoay chiều u = U√2cosωt (V) vào hai đầu mạch điện AB mắc nối tiếp theo thứ tự gồm điện trở R, cuộn dây không thuần cảm (L, r) và tụ điện C với R = r . Gọi N là điểm nằm giữa điện trở R và cuộn dây, M là điểm nằm giữa cuộn dây và tụ điện. Điện áp tức thời uAM và uNB vuông pha với nhau và có cùng một giá trị hiệu dụng là 30√5V. Giá trị của U bằng:
    Câu 44:
    Lăng kính có tiết diện là tam giác đều ABC, góc chiết quang A, mặt bên có độ rộng a = 10cm. Chiếu tia sáng trắng tới mặt bên AB của lăng kính theo phương song song với BC sao cho toàn bộ chùm khúc xạ ở mặt AB truyền đến AC. Biết rằng chiết suất của lăng kính đối với ánh sáng đỏ vừa vặn thỏa mãn điều kiện phản xạ toàn phần tại AC và chiết suất đối với ánh sáng tím là √3. Độ rộng của chùm sáng ló ra là:
    Câu 45:
    Một lò xo có khối lượng không đáng kể, độ cứng k = 20N / m nằm ngang, một đầu A được giữ cố định, đầu còn lại được gắn với chất điểm m1 = 0,1kg. Chất điểm m1 được gắn với chất điểm thứ hai m2 = 0,1kg. Các chất điểm đó có thể dao động không ma sát trên trục Ox nằm ngang (gốc O ở vị trí cân bằng của hai vật) hướng từ điểm cố định A về phía các chất điểm m1, m2. Thời điểm ban đầu giữ hai vật ở vị trí lò xo nén 4cm rồi buông nhẹ để hệ dao động điều hòa. Gốc thời gian được chọn khi buông vật. Chỗ gắn hai chất điểm bị bong ra nếu lực kéo tại đó đạt đến 0,2N. Thời điểm mà m2 bị tách khỏi m1
    Câu 46:
    Ở nơi tiêu thụ cần một công suất không đổi. Khi truyền điện năng từ máy tăng thế đến nơi tiêu thụ trên với điện áp hiệu dụng nơi truyền đi là U thì hiệu suất truyền tải là 90%. Coi điện áp cùng pha với cường độ dòng điện trên đường dây. Để hiệu suất truyền tải là 99% thì điện áp hiệu dụng nơi truyền tải phải bằng
    Câu 47: Trong mạch dao động có dao động điện từ tự do. Thời gian ngắn nhất để năng lượng điện trường đang có giá trị cực đại giảm đi một nửa là 1,5.10-4 s. Thời gian ngắn nhất để điện tích trên tụ đang có giá trị cực đại giảm còn một nửa là
    Câu 48:
    Vật tham gia đồng thời vào 2 dao động điều hoà cùng phương cùng tần số x1 = A1cosωt và x2 = A2cos(ωt ± π/2). Với vmax là vận tốc cực đại của vật. Khi hai dao động thành phần x1 = x2 = x0 thì x0 bằng:
    Câu 49:
    Trong thí nghiệm Y-âng về giao thoa ánh sáng, khe hẹp S phát đồng thời 3 bức xạ đơn sắc thuộc vùng ánh sáng nhìn thấy có bước sóng lần lượt λ1 = 0,42µm, λ2 = 0,56µm và λ3 , với λ3 > λ2. Trên màn, trong khoảng giữa vân sáng trung tâm tới vân sáng tiếp theo giống màu vân sáng trung tâm, ta thấy có 2 vạch sáng là sự trùng nhau của hai vân sáng λ1 và λ2, 3 vạch sáng là sự trùng nhau của hai vân sáng λ1 và λ3. Bước sóng λ3 là:
    Câu 50: Thực hành đo chu kỳ của con lắc đơn rồi suy ra gia tốc trọng trường nơi làm thí nghiệm

    1/ Dụng cụ: Giá đỡ treo con lắc, đồng hồ bấm giây, một thước đo chính xác tới mm, một bảng chỉ thị có độ chia đối xứng để xác định góc, các quả nặng nhỏ tròn 15g, 20g và 25g.

    2/ Tiến trình thí nghiệm:
    Bước 1: Tạo con lắc đơn dài 70cm và quả nặng 20g, rồi cho dao động với góc lệch cực đại 5o trong mặt phẳng song song bảng hiển thị. Đo thời gian t1 của 20 dao động
    Bước 2: Giữ dây dài 70cm. Lần lượt thay quả nặng 15g, rồi 25g rồi lặp lại việc đo thời gian t2 và t3 của 20 dao động với biên độ góc 5o .
    Bước 3. Giữ quả nặng 20g, thay dây 70cm bằng dây 90cm rồi đo thời gian t4 của 20 dao động với biên độ 5o.
    Bước 4. Từ số liệu tính chu kỳ dao động. Nhận xét sự phụ thuộc chu kỳ của con lắc vào chiều dài và khối lượng. Tính gia tốc trọng trường
    Chọn câu đúng sau đây:

Chúc mừng Bạn đã hoàn thành bài!

Đề thi thử THPT Quốc gia môn Vật lý năm 2016 trường THPT Chuyên Nguyễn Huệ, Hà Nội (Lần 2) Kết quả
  • Thời gian làm bài: 00:00:00
  • Số câu đã làm: 0
  • Điểm tạm tính: 0
  • Điểm thưởng: 0

Đấu trường Đề thi thử THPT Quốc gia môn Vật lý năm 2016 trường THPT Chuyên Nguyễn Huệ, Hà Nội (Lần 2)

Đang tìm đối thủ...

Đang tải...

1
Xác thực tài khoản!

Theo Nghị định 147/2024/ND-CP, bạn cần xác thực tài khoản trước khi sử dụng tính năng này. Chúng tôi sẽ gửi mã xác thực qua SMS hoặc Zalo tới số điện thoại mà bạn nhập dưới đây:

Số điện thoại chưa đúng định dạng!
Số điện thoại này đã được xác thực!
Bạn có thể dùng Sđt này đăng nhập tại đây!
Lỗi gửi SMS, liên hệ Admin
Sắp xếp theo