Giao diện mới của VnDoc Pro: Dễ sử dụng hơn - chỉ tập trung vào lớp bạn quan tâm. Vui lòng chọn lớp mà bạn quan tâm: Lưu và trải nghiệm
Đóng
Điểm danh hàng ngày
  • Hôm nay +3
  • Ngày 2 +3
  • Ngày 3 +3
  • Ngày 4 +3
  • Ngày 5 +3
  • Ngày 6 +3
  • Ngày 7 +5
Bạn đã điểm danh Hôm nay và nhận 3 điểm!
Nhắn tin Zalo VNDOC để nhận tư vấn mua gói Thành viên hoặc tải tài liệu Hotline hỗ trợ: 0936 120 169

Đề thi thử THPT Quốc gia năm 2016 môn Vật lý trường THPT Đoàn Thượng, Hải Dương (Lần 1)

Đóng
Bạn đã dùng hết 1 lần làm bài Trắc nghiệm miễn phí. Mời bạn mua tài khoản VnDoc PRO để tiếp tục! Tìm hiểu thêm
Mô tả thêm:

Đề thi thử đại học môn Vật lý 2016

Cùng luyện thi với Đề thi thử THPT Quốc gia năm 2016 môn Vật lý trường THPT Đoàn Thượng, Hải Dương (Lần 1) để củng cố và rèn luyện kỹ năng làm bài nhé. Đề gồm 50 câu hỏi trắc nghiệm, thời gian làm bài là 90 phút. Chúc các bạn làm bài đạt điểm số cao!

  • Thời gian làm: 90 phút
  • Số câu hỏi: 50 câu
  • Số điểm tối đa: 50 điểm
Bắt đầu làm bài
Bạn còn 1 lượt làm bài tập miễn phí. Hãy mua tài khoản VnDoc PRO để học không giới hạn nhé! Bạn đã HẾT lượt làm bài tập miễn phí! Hãy mua tài khoản VnDoc PRO để làm Trắc nghiệm không giới hạn và tải tài liệu nhanh nhé!
Mua ngay Đổi điểm
Trước khi làm bài bạn hãy
  • 1 Ôn tập kiến thức đã nêu trong phần Mô tả thêm
  • 2 Tìm không gian và thiết bị phù hợp để tập trung làm bài
  • 3 Chuẩn bị sẵn dụng cụ cần dùng khi làm bài như bút, nháp, máy tính
  • 4 Căn chỉnh thời gian làm từng câu một cách hợp lý
  • Câu 1: Nhận biết

    Câu 1:

    Một con lắc đơn gồm quả cầu nhỏ khối lượng m được treo vào một đầu sợi dây mềm, nhẹ, không dãn, dài 64cm. Con lắc dao động điều hòa tại nơi có gia tốc trọng trường g. Lấy g = Π2 (m/s2). Chu kì dao động của con lắc là:

  • Câu 2: Nhận biết

    Câu 2:

    Nguồn sáng nào không phát ra tia tử ngoại

  • Câu 3: Nhận biết

    Câu 3:

    Trong thí nghiệm giao thoa khe I-âng dùng ánh trắng có bước sóng trong miền từ 0,38μm đến 0,76μm, hiệu khoảng cách từ hai khe sáng đến một điểm M trên màn là Δd = 3,5μm. Có bao nhiêu bức xạ đơn sắc cho vân tối tại M:

  • Câu 4: Nhận biết

    Câu 4:

    Một vật tham gia đồng thời hai dao động đều hòa cùng phương, cùng tần số có biên độ lần lượt là A1 = 8cm, A2 = 15cm và lệch pha nhau Π. Dao động tổng hợp có biên độ bằng:

  • Câu 5: Nhận biết

    Câu 5:

    Nguyên tắc hoạt động của máy quang phổ dựa trên hiện tượng

  • Câu 6: Nhận biết

    Câu 6:

    Trong thí nghiệm giao thoa ánh sáng của Y-âng. Hai khe hẹp cách nhau 1mm, khoảng cách từ màn quan sát đến màn chứa hai khe hẹp là 1,25m. Ánh sáng dùng trong thí nghiệm gồm hai ánh sáng đơn sắc có bước sóng λ1 = 0,64μm và λ2 = 0,48μm. Khoảng cách ngắn nhất giữa hai vân cùng màu với vân trung tâm là:

  • Câu 7: Nhận biết

    Câu 7:

    Xét quá trình lan truyền của điện từ trường biến thiên, trong không gian. Khi nói về quan hệ giữa điện trường và từ trường của điện từ trường trên thì kết luận nào sau đây là đúng?

  • Câu 8: Nhận biết

    Câu 8:

    Điện trường xoáy là điện trường:

  • Câu 9: Nhận biết

    Câu 9:

    Đặt hiệu điện thế xoay chiều u = 60cos100Πt (V) vào hai đầu đoạn mạch chỉ có cuộn thuần cảm L = 1/Π(H). Biểu thức đúng của cường độ dòng điện chạy trong mạch là:

  • Câu 10: Nhận biết

    Câu 10:

    Tai ta luôn cảm nhận được sự khác biệt về độ cao của các nốt nhạc Đồ, Rê, Mi, Fa, Sol, La, Si khi chúng phát ra từ một nhạc cụ nhất định là do các âm thanh này có:

  • Câu 11: Nhận biết

    Câu 11:

    Mạch dao động LC có điện trở thuần bằng không gồm cuộn dây thuần cảm (cảm thuần) có độ tự cảm 4 mH và tụ điện có điện dung 9 nF. Trong mạch có dao động điện từ tự do (riêng), hiệu điện thế cực đại giữa hai bản cực của tụ điện bằng 5 V. Khi hiệu điện thế giữa hai bản tụ điện là 3 V thì cường độ dòng điện trong cuộn cảm bằng

  • Câu 12: Nhận biết

    Câu 12:

    Đặt vào hai đầu đoạn mạch điện RLC không phân nhánh một hiệu điện thế xoay chiều có tần số 50 Hz. Biết điện trở thuần R = 25 Ω, cuộn dây thuần cảm (cảm thuần) có L = 1/π H. Để hiệu điện thế ở hai đầu đoạn mạch trễ pha π/4 so với cường độ dòng điện thì dung kháng của tụ điện là

  • Câu 13: Nhận biết

    Câu 13:

    Một trong những đặc trưng sinh lý của âm là:

  • Câu 14: Nhận biết

    Câu 14:

    Sóng điện từ

  • Câu 15: Nhận biết

    Câu 15:

    Một sóng âm truyền trong không khí với tốc độ 340 m/s và bước sóng 34 cm. Tần số của sóng âm này là

  • Câu 16: Nhận biết

    Câu 16:

    Tần số của dao động điện từ trong mạch LC lý tưởng tính theo công thức nào sau đây:

  • Câu 17: Nhận biết

    Câu 17:

    Trong hệ sóng dừng trên một sợi dây, khoảng cách giữa hai nút liên tiếp bằng

  • Câu 18: Nhận biết

    Câu 18:

    Đặt hiệu điện thế u = 200√2sin100πt(V) lên hai đầu một đoạn mạch gồm điện trở thuần R = 30 Ω, cuộn dây thuần cảm (cảm thuần) có độ tự cảm L = 0,4/π H và ampe kế nhiệt mắc nối tiếp. Biết ampe kế có điện trở không đáng kể. Số chỉ của ampe kế là

  • Câu 19: Nhận biết

    Câu 19:

    Mạch dao động của một máy thu vô tuyến điện có cuộn cảm L = 25μF. Để thu được sóng vô tuyến có bước sóng 100m trong không khí thì điện dung của tụ điện phải có giá trị là:

  • Câu 20: Nhận biết

    Câu 20:

    Một con lắc lò xo gồm lò xo độ cứng k và vật nhỏ khối lượng m dao động điều hòa với tần số góc ω. Hệ thức nào sau đây đúng?
  • Câu 21: Nhận biết

    Câu 21:

    Đối với một vật dao động cưỡng bức:

  • Câu 22: Nhận biết

    Câu 22:

    Tia hồng ngoại

  • Câu 23: Nhận biết

    Câu 23:

    Chọn câu trả lời đúng. Khi một sóng cơ truyền từ không khí vào nước thì đại lượng nào sau đây không thay đổi:

  • Câu 24: Nhận biết

    Câu 24:

    Hiện tượng chùm ánh sáng trắng đi qua lăng kính, bị phân tách thành các chùm sáng đơn sắc là hiện tượng

  • Câu 25: Nhận biết

    Câu 25:

    Một máy biến thế có số vòng của cuộn sơ cấp là 5000 và thứ cấp là 1000. Bỏ qua mọi hao phí của máy biến thế. Đặt vào hai đầu cuộn sơ cấp hiệu điện thế xoay chiều có giá trị hiệu dụng 100 V thì hiệu điện thế hiệu dụng ở hai đầu cuộn thứ cấp khi để hở có giá trị là

  • Câu 26: Nhận biết

    Câu 26:

    Trong sơ đồ của một máy phát sóng vô tuyến điện, không có mạch (tầng)

  • Câu 27: Nhận biết

    Câu 27:

    Một vật khối lượng m = 200g thực hiện đồng thời hai dao động điều hoà có phương trình: x1 = 4cos(-10t)(cm) và x2 = 6cos10t(cm). Lực kéo về cực đại gây ra dao động tổng hợp của vật là:

  • Câu 28: Nhận biết

    Câu 28:

    Chiếu xiên từ không khí vào nước một chùm sáng song song rất hẹp (coi như một tia sáng) gồm ba thành phần đơn sắc: đỏ, lam và tím. Gọi rđ, , rt lần lượt là góc khúc xạ ứng với tia màu đỏ, tia màu lam và tia màu tím. Ta có:

  • Câu 29: Nhận biết

    Câu 29: Một vật dao động điều hoà có quỹ đạo là một đoạn thẳng dài 10cm. Biên độ dao động của vật là

  • Câu 30: Nhận biết

    Câu 30:

    Trong thí nghiệm Y-âng về giao thoa ánh sáng, khoảng cách giữa hai khe là 1 mm, khoảng cách từ mặt phẳng chứa hai khe đến màn quan sát là 2 m. Nguồn sáng đơn sắc có bước sóng 0,45μm . Khoảng vân giao thoa trên màn bằng :

  • Câu 31: Nhận biết

    Câu 31:

    Thực hiên giao thoa ánh sáng khe Y-âng với đồng thời hai bức xạ đơn sắc có bước sóng λ1 = 0,64μm , λ2 = 0,48 μm. Số vân sáng quan sát được trong khoảng giữa vân sáng bậc 3 và vân sáng bậc 9 của bức xạ λ1 là:

  • Câu 32: Nhận biết

    Câu 32:

    Đặt điện áp Đề thi thử THPT Quốc gia năm 2016 môn Vật lý trường THPT Đoàn Thượng, Hải Dương (Lần 1)vào hai đầu đoạn mạch AB gồm cuộn dây có điện trở R=50√3 (Ω), độ tự cảm Đề thi thử THPT Quốc gia năm 2016 môn Vật lý trường THPT Đoàn Thượng, Hải Dương (Lần 1)và tụ điện có điện dung Đề thi thử THPT Quốc gia năm 2016 môn Vật lý trường THPT Đoàn Thượng, Hải Dương (Lần 1)mắc nối tiếp. Tại thời điểm t, điện áp tức thời giữa hai đầu đoạn mạch là u = 100√2 (V) và đang giảm thì điện áp tức thời giữa hai đầu cuộn dây là:
  • Câu 33: Nhận biết

    Câu 33:

    Ba vật dao động trên ba đường thẳng song song với trục Ox có vị trí cân bằng lần lượt là M, N, P nằm trên cùng một đường thẳng vuông góc với trục Ox tại O. Biết MN=2NP và phương trình dao động của chúng lần lượt là Đề thi thử THPT Quốc gia năm 2016 môn Vật lý trường THPT Đoàn Thượng, Hải Dương (Lần 1). Thời điểm thứ 2016 mà ba vật trên thẳng là:
  • Câu 34: Nhận biết

    Câu 34:

    Cho mạch điên gồm 1 bóng đèn dây tóc mắc nối tiếp với 1 động cơ xoay chiều 1 pha. Biết các giá trị định mức của đèn là 120V-330W, điện áp định mức của động cơ là 220V. Khi đặt vào 2 đầu đoạn mạch điện áp xoay chiều có giá trị hiệu dụng 332V thì cả đèn và động cơ đều hoạt động đúng công suất định mức. Công suất định mức của động cơ là

  • Câu 35: Nhận biết

    Câu 35:

    Một đoạn mạch gồm 3 phần tử mắc nối tiếp: điện trở thuần R, cuộn dây, tụ điện C. Đặt vào hai đầu đoạn mạch một điện áp xoay chiều, khi đó điện áp hiệu dụng ở hai đầu điện trở là UR = 60√3 V và điện áp tức thời ở hai đầu cuộn dây và hai đầu tụ điện lần lượt là: ud=80√6cos(ωt + Π/6)V, uC=40√2cos(ωt–2Π/3)V. Hệ số công suất của đoạn mạch trên là:

  • Câu 36: Nhận biết

    Câu 36:

    Một khung dây dẫn quay đều quanh trục xx’ với tốc độ 150 vòng/phút trong một từ trường đều có cảm ứng từ vuông góc với trục quay xx’ của khung. Ở một thời điểm nào đó từ thông gửi qua khung dây là 4 Wb thì suất điện động cảm ứng trong khung dây bằng 15Π (V). Từ thông cực đại gửi qua khung dây bằng

  • Câu 37: Nhận biết

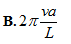
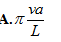
    Câu 37:

    Sóng dừng trên sợi dây đàn hồi OB chiều dài L mô tả như hình bên. Thời điểm ban đầu hình ảnh sóng là đường nét liền đậm và điểm M đang có độ lớn vận tốc cực tiểu, sau thời gian Δt và 5Δt (5Δt < T/2) thì hình ảnh sóng lần lượt là đường nét đứt và đường nét liền mờ. Tốc độ truyền sóng là v. Tốc độ dao động cực đại của điểm M là
    Đề thi thử THPT Quốc gia năm 2016 môn Vật lý trường THPT Đoàn Thượng, Hải Dương (Lần 1)
  • Câu 38: Nhận biết

    Câu 38:

    Hai con lắc đơn có chiều dài hơn kém nhau 22cm, dao động điều hòa ở cùng một nơi. Người ta thấy rằng trong cùng một khoảng thời gian t, con lắc thứ nhất thực hiện được 30 dao động, con lắc thứ hai được 36 dao động. Chiều dài của các con lắc lần lượt là

  • Câu 39: Nhận biết

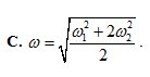
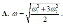
    Câu 39:

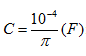
    Mạch dao động LC gồm cuộn dây thuần cảm và tụ điện. Độ tự cảm của cuộn dây và điện dung tụ điện thay đổi được. Khi L= L1, C= C1 thì tần số góc của mạch là ω1; khi L= L2 = 3L1,C = C2  thì tần số góc của mạch là ω2.  Khi L = L1 + L2 và Đề thi thử THPT Quốc gia năm 2016 môn Vật lý trường THPT Đoàn Thượng, Hải Dương (Lần 1) thì tần số góc của mạch là
  • Câu 40: Nhận biết

    Câu 40:

    Một khu gia đình tiêu thụ một công suất điện năng trung bình 11 (kW). Các dụng cụ làm việc ở cùng một điện áp ổn định 220 (V). Điện trở toàn phần của dây tải điện từ trạm điện về khu gia đình là 4Ω. Để giảm công suất hao phí trên đường dây tải, tại trạm phát người ta đặt một máy biến áp tăng áp có hệ số tăng áp là K và tại ngay sát khu gia đình người ta đặt một trạm biến áp hạ áp có hệ số hạ áp là 10. Coi các máy biến áp là lí tưởng và hệ số công suất của khu gia đình bằng 1. Giá trị K gần giá trị nào nhất sau đây?

  • Câu 41: Nhận biết

    Câu 41:

    Một con lắc lò xo đặt trên mặt phẳng nằm ngang gồm lò xo độ cứng 10 N/m có một đầu cố định, đầu kia gắn với vật nhỏ m1=250g. Ban đầu giữ vật m1 tại vị trí mà lò xo bị nén 12 cm, đặt vật nhỏ m2=750g sát với vật m1. Buông nhẹ để hai vật bắt đầu chuyển động theo phương của trục lò xo. Biết hệ số ma sát trượt giữa hai vật và sàn đều là 0,04, lấy g=10(m/s2).Thời gian chuyển động của m2 từ lúc buông nhẹ đến lúc nó dừng lại xấp xỉ là:
  • Câu 42: Nhận biết

    Câu 42:

    Đặt điện áp u = U√2 cos(2Πft) (V), (f thay đổi được; U tỉ lệ thuận với f) vào hai đầu đoạn mạch chứa điện trở thuần R, tụ điện có điện dung C và cuộn cảm thuần có độ tự cảm L. Biết 2L>R2C. Khi tần số là f = f1 thì công suất tỏa nhiệt trên R là P và hệ số công suất lúc này là 1/√2. Khi tần số là f = f2 = 2f1 thì công suất tỏa nhiệt trên R là 4P. Khi tần số là f = f3 = f1√2 thì công suất tỏa nhiệt trên R là:
  • Câu 43: Nhận biết

    Câu 43:

    Đặt điện áp xoay chiều có giá trị hiệu dụng U=120V, tần số f thay đổi được vào hai đầu đoạn mạch gồm điện trở thuần, cuộn dây thuần cảm và tụ điện mắc nối tiếp có 2L>R2CKhi tần số là f1 thì hai đầu đoạn mạch chứa RC và điện áp giữa hai đầu cuộn dây L lệch pha nhau một góc 135o. Khi tần số là f2 thì điện áp hai đầu đoạn mạch chứa RL và điện áp hai đầu tụ điện lệch pha nhau một góc 135o. Khi tần số là f3 thì xảy ra hiện tượng cộng hưởng. Biết rằng f= 2f1. Điều chỉnh tần số đến khi điện áp hiệu dụng hai đầu tụ điện đạt giá trị cực đại là Uo. Giá trị Uo gần giá trị nào nhất sau đây:

  • Câu 44: Nhận biết

    Câu 44:

    Một vật dao động điều hòa với biên độ 6cm. Quãng đường vật đi được nhỏ nhất trong 1s là 18cm. Hỏi kết thúc quãng đường đó thì tốc độ của vật là bao nhiêu?

  • Câu 45: Nhận biết

    Câu 45:

    Đặt điện áp u=100cosωt(V) vào hai đầu đoạn mạch AB mắc nối tiếp gồm một điện trở thuần, một cuộn cảm thuần và một tụ điện có điện dung thay đổi được. Thay đổi điện dung của tụ điện cho tới khi điện áp hiệu dụng giữa hai bản tụ đạt giá trị cực đại là 100V. Khi đó, vào thời điểm điện áp tức thời giữa hai đầu đoạn mạch AB có giá trị bằng 100V thì điện áp tức thời giữa hai đầu cuộn cảm thuần có giá trị:

  • Câu 46: Nhận biết

    Câu 46:

    Đặt điện áp u = Uocosωt vào hai đầu cuộn cảm thuần có độ tự cảm L. Tại thời điểm điện áp giữa hai đầu cuộn cảm có độ lớn cực đại thì cường độ dòng điện qua cuộn cảm bằng
  • Câu 47: Nhận biết

    Câu 47:

    Trong một môi trường có sóng dọc lan truyền từ điểm M đến N với bước sóng là 12 cm và biên độ là 1 cm coi như không đổi khi lan truyền. Chọn trục li độ của các phần tử cùng hướng với hướng truyền sóng qua nó, chọn gốc thời gian là lúc N đi qua vị trí cân bằng của nó theo chiều dương. Biết rằng nếu không có sóng thì MN=2 cm. Kể từ gốc thời gian đến khi sóng lan truyền được quãng đường 43,5 cm thì số lần khoảng cách MN=2,3 cm là:

  • Câu 48: Nhận biết

    Câu 48:

    Một vật dao động điều hoà cứ sau 1/8 s thì động năng lại bằng thế năng. Quãng đường vật đi được trong 0,5s là 16cm. Chọn gốc thời gian lúc vật qua vị trí cân bằng theo chiều âm. Phương trình dao động của vật là:
  • Câu 49: Nhận biết

    Câu 49:

    Trong thí nghiệm Y-âng về giao thoa ánh sáng, chiếu vào hai khe hẹp S1, S2 ánh sáng đơn sắc có bước sóng = 0,5 μm. Màn quan sát đặt song song với hai khe cách 2 khe 102,4 cm. H là chân đường cao hạ từ S1 tới màn quan sát. Lúc đầu H là 1 vân tối giao thoa, dịch màn ra xa dần thì chỉ có 2 lần H là cực đại giao thoa. Khi dịch chuyển màn như trên, khoảng cách giữa 2 vị trí của màn để H là cực đại giao thoa lần đầu và H là cực tiểu giao thoa lần cuối tính từ vị trí bắt đầu dich chuyển là:

  • Câu 50: Nhận biết

    Câu 50:

    Hai điểm A, B nằm trên cùng một đường thẳng đi qua một nguồn âm và ở hai phía so với nguồn âm. Biết mức cường độ âm tại A và tại trung điểm của AB lần lượt là 50 dB và 44 dB. Mức cường độ âm tại B là

Chúc mừng Bạn đã hoàn thành bài!

Đề thi thử THPT Quốc gia năm 2016 môn Vật lý trường THPT Đoàn Thượng, Hải Dương (Lần 1) Kết quả
  • Thời gian làm bài: 00:00:00
  • Số câu đã làm: 0
  • Điểm tạm tính: 0
  • Điểm thưởng: 0

Đấu trường Đề thi thử THPT Quốc gia năm 2016 môn Vật lý trường THPT Đoàn Thượng, Hải Dương (Lần 1)

Đang tìm đối thủ...

Đang tải...

1
Xác thực tài khoản!

Theo Nghị định 147/2024/ND-CP, bạn cần xác thực tài khoản trước khi sử dụng tính năng này. Chúng tôi sẽ gửi mã xác thực qua SMS hoặc Zalo tới số điện thoại mà bạn nhập dưới đây:

Số điện thoại chưa đúng định dạng!
Số điện thoại này đã được xác thực!
Bạn có thể dùng Sđt này đăng nhập tại đây!
Lỗi gửi SMS, liên hệ Admin
Sắp xếp theo