Giao diện mới của VnDoc Pro: Dễ sử dụng hơn - chỉ tập trung vào lớp bạn quan tâm. Vui lòng chọn lớp mà bạn quan tâm: Lưu và trải nghiệm
Đóng
Điểm danh hàng ngày
  • Hôm nay +3
  • Ngày 2 +3
  • Ngày 3 +3
  • Ngày 4 +3
  • Ngày 5 +3
  • Ngày 6 +3
  • Ngày 7 +5
Bạn đã điểm danh Hôm nay và nhận 3 điểm!
Nhắn tin Zalo VNDOC để nhận tư vấn mua gói Thành viên hoặc tải tài liệu Hotline hỗ trợ: 0936 120 169

Đề thi thử THPT Quốc gia năm 2016 môn Vật lý trường THPT Hoàng Lệ Kha, Thanh Hóa (Lần 2)

Đóng
Bạn đã dùng hết 1 lần làm bài Trắc nghiệm miễn phí. Mời bạn mua tài khoản VnDoc PRO để tiếp tục! Tìm hiểu thêm
Mô tả thêm:

 Đề thi THPT Quốc gia môn Vật lý 2016

VnDoc xin giới thiệu tới các bạn học sinh Đề thi thử THPT Quốc gia năm 2016 môn Vật lý trường THPT Hoàng Lệ Kha, Thanh Hóa (Lần 2) để tham khảo chuẩn bị cho kì thi sắp tới đây của mình. Sau đây mời các bạn tham gia làm bài test online. Chúc các bạn làm bài đạt kết quả cao!

  • Thời gian làm: 90 phút
  • Số câu hỏi: 50 câu
  • Số điểm tối đa: 50 điểm
Bắt đầu làm bài
Bạn còn 1 lượt làm bài tập miễn phí. Hãy mua tài khoản VnDoc PRO để học không giới hạn nhé! Bạn đã HẾT lượt làm bài tập miễn phí! Hãy mua tài khoản VnDoc PRO để làm Trắc nghiệm không giới hạn và tải tài liệu nhanh nhé!
Mua ngay Đổi điểm
Trước khi làm bài bạn hãy
  • 1 Ôn tập kiến thức đã nêu trong phần Mô tả thêm
  • 2 Tìm không gian và thiết bị phù hợp để tập trung làm bài
  • 3 Chuẩn bị sẵn dụng cụ cần dùng khi làm bài như bút, nháp, máy tính
  • 4 Căn chỉnh thời gian làm từng câu một cách hợp lý
  • Câu 1: Nhận biết

    Câu 1:

    Dao động tắt dần là một dao động có
  • Câu 2: Nhận biết

    Câu 2:

    Khi chúng ta dùng điều khiển từ xa để chuyển kênh tivi thì điều khiển đã phát ra
  • Câu 3: Nhận biết

    Câu 3:

    Trong thí nghiệm Y-âng về giao thoa ánh sáng, nếu thay ánh sáng đơn sắc màu lam bằng ánh sáng đơn sắc màu vàng và giữ nguyên các điều kiện khác thì trên màn quan sát
  • Câu 4: Nhận biết

    Câu 4:

    Khi một vật dao động điều hòa, chuyển động của vật từ vị trí biên về vị trí cân bằng là chuyển động:

  • Câu 5: Nhận biết

    Câu 5:

    Đặc điểm nào trong số các đặc điểm dưới đây không phải là đặc điểm chung của sóng cơ và sóng điện từ?

  • Câu 6: Nhận biết

    Câu 6:

    Một ánh sáng đơn sắc màu cam có tần số f được truyền từ chân không vào một chất lỏng có chiết suất là 1,5 đối với ánh sáng này. Trong chất lỏng trên, ánh sáng này có:

  • Câu 7: Nhận biết

    Câu 7:

    Dòng điện xoay chiều chạy qua một đoạn mạch chỉ có cuộn dây thuần cảm có độ tự cảm L = 1/π (H) có biểu thức i = 2√2cos(100πt - π/6)A, t tính bằng giây. Biểu thức điện áp xoay chiều giữa hai đầu đoạn mạch này là:

  • Câu 8: Nhận biết

    Câu 8:

    Cho mạch điện xoay chiều gồm điện trở thuần R, cuộn cảm thuần có độ tự cảm L và tụ điện có điện dung C mắc nối tiếp. Đặt vào hai đầu đoạn mạch một điện áp xoay chiều có biểu thức u = U0cosωt. Điều kiện để có cộng hưởng điện trong mạch là:

  • Câu 9: Nhận biết

    Câu 9:

    Một máy phát điện xoay chiều một pha có phần cảm là rôtô và số cặp cực là p. Khi rôtô quay đều với tốc độ n vòng/s thì suất điện động xoay chiều trong stato biến thiên tuần hoàn với tần số là:

  • Câu 10: Nhận biết

    Câu 10:

     Độ cao của âm là đặc trưng sinh lý gắn liền với đặc trưng vật lý của âm là

  • Câu 11: Nhận biết

    Câu 11:

    Một mạch dao động LC lí tưởng có L = 1/π mH, C = 4/π nF. Sau khi kích thích cho mạch dao động. Chu kì dao động điện từ tự do của mạch là
  • Câu 12: Nhận biết

    Câu 12:

    Phát biểu nào sau đây là đúng về máy biến áp:
  • Câu 13: Nhận biết

    Câu 13:

    Một sóng cơ có chu kỳ T, tần số f, truyền trên dây đàn hồi với tốc độ truyền sóng v và bước sóng λ. Hệ thức không đúng
  • Câu 14: Nhận biết

    Câu 14:

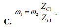
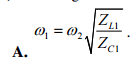
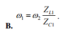
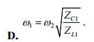
    Đoạn mạch điện gồm 3 phần tử R, L, C nối tiếp mắc vào mạng điện tần số ω1 thì cảm kháng là ZL1 và dung kháng ZC1. Nếu mắc đoạn mạch vào mạng điện có tần số ω2 thì trong mạch xảy ra cộng hưởng. Hệ thức đúng là
  • Câu 15: Nhận biết

    Câu 15:

    Một vật dao động điều hòa dọc theo trục Ox với biên độ 5 cm, chu kì 2 s. Tại thời điểm t = 0 vật đi qua vị trí cân bằng theo chiều dương. Phương trình dao động của vật là
  • Câu 16: Nhận biết

    Câu 16:

    Số chỉ của ampe kế khi mắc nối tiếp vào đoạn mạch điện xoay chiều cho ta biết giá trị nào?
  • Câu 17: Nhận biết

    Câu 17:

    Hai dao động điều hòa có phương trình dao động lần lượt là x1 = 5cos(2πt+ π/6) (cm) và x2 = 5√3 cos(2πt+ 2π/3) (cm). Biên độ và pha của dao động tổng hợp là
  • Câu 18: Nhận biết

    Câu 18:

    Một sóng cơ truyền trong một môi trường dọc theo trục Ox với phương trình u = 5cos(6πt - πx) (cm) (x tính bằng mét, t tính bằng giây). Tốc độ truyền sóng bằng
  • Câu 19: Nhận biết

    Câu 19:

    Đặt điện áp Đề thi thử THPT Quốc gia năm 2016 môn Vật lý trường THPT Hoàng Lệ Kha, Thanh Hóa (Lần 2)vào hai đầu đoạn mạch chỉ có tụ điện thì cường độ dòng điện trong mạch là i = Iocos(10πt +φ) A. Giá trị của φ bằng
  • Câu 20: Nhận biết

    Câu 20:

    Một vật nhỏ dao động điều hòa theo phương trình x = Acos10t (t tính bằng s). Tại t = 2s, pha của dao động là
  • Câu 21: Nhận biết

    Câu 21:

    Một con lắc đơn gồm vật m treo vào sợi dây không giãn, khối lượng không đáng kể, chiều dài l. Con lắc dao động điều hòa tại nơi có gia tốc trọng trường là g. Tần số góc của dao động là:
  • Câu 22: Nhận biết

    Câu 22:

    Trong mạch dao động LC lí tưởng đang có dao động điện từ tự do. Nếu tăng độ tự cảm của cuộn cảm trong mạch dao động lên 4 lần thì tần số dao động điện từ trong mạch sẽ
  • Câu 23: Nhận biết

    Câu 23:

    Một vật nhỏ khối lượng 250g dao động theo phương trình x = 8cos10t (x tính bằng cm; t tính bằng s). Thế năng của vật khi ở biên âm là:
  • Câu 24: Nhận biết

    Câu 24:

    Công thức để tính khoảng vân i trong hiện tượng giao thoa ánh sáng đơn sắc:
  • Câu 25: Nhận biết

    Câu 25:

    Một sóng cơ lan truyền trong một môi trường. Hai điểm trên cùng một phương truyền sóng, cách nhau một khoảng bằng bước sóng có dao động
  • Câu 26: Nhận biết

    Câu 26:

    Đặt một điện áp xoay chiều có tần số f thay đổi vào hai đầu đoạn mạch R, L, C theo thứ tự mắc nối tiếp thì thấy, khi tần số f1 = 40 Hz hoặc f2 = 90 Hz thì điện áp hiệu dụng đặt vào điện trở R như nhau. Để xảy ra cộng hưởng trong mạch thì tần số phải bằng
  • Câu 27: Nhận biết

    Câu 27:

    Một vật nhỏ dao động điều hòa với biên độ 5 cm và vận tốc có độ lớn cực đại là 10π cm/s. Chu kì dao động của vật nhỏ là
  • Câu 28: Nhận biết

    Câu 28:

    Trong thí nghiệm Young về giao thoa ánh sáng, khoảng cách giữa hai khe là 1mm, khoảng cách từ mặt phẳng chứa hai khe đến màn quan sát là 2m. Nguồn sáng đơn sắc có bước sóng 0,45μm. Khoảng vân giao thoa trên màn bằng
  • Câu 29: Nhận biết

    Câu 29:

    Một vật nhỏ dao động điều hòa theo một quỹ đạo dài 12 cm. Dao động này có biên độ là
  • Câu 30: Nhận biết

    Câu 30:

    Hiện tượng chùm ánh sáng trắng đi qua lăng kính, bị phân tách thành các chùm sáng đơn sắc là hiện tượng
  • Câu 31: Nhận biết

    Câu 31:

    Một máy phát điện xoay chiều một pha có rôto là phần cảm, cần phát ra dòng điện có tần số không đổi 60 Hz để duy trì hoạt động của một thiết bị kỹ thuật. Nếu thay rôto của máy phát điện bằng một rôto khác có ít hơn hai cặp cực thì số vòng quay của rôto trong một giờ phải thay đổi đi 18000 vòng. Số cặp cực của rôto lúc đầu là
  • Câu 32: Nhận biết

    Câu 32:

    Một đoạn mạch AB gồm hai đoạn mạch AM và MB mắc nối tiếp. Đoạn mạch AM chỉ có biến trở R, đoạn mạch MB gồm điện trở thuần r mắc nối tiếp với cuộn cảm thuần có độ tự cảm L. Đặt vào AB một điện áp xoay chiều có giá trị hiệu dụng và tần số không đổi. Điều chỉnh R đến giá trị 80  thì công suất tiêu thụ trên biến trở đạt cực đại và tổng trở của đoạn mạch AB chia hết cho 40. Khi đó hệ số công suất của đoạn mạch AB là
  • Câu 33: Nhận biết

    Câu 33:

    Một vật nhỏ dao động điều hòa với phương trình: x = 4√2cos10πt (cm). Tại thời điểm t1 , vật có li độ x = 2√2 và đang giảm. Tại thời điểm t = t1 + 1/30 s, vật có li độ
  • Câu 34: Nhận biết

    Câu 34:

    Trong thí nghiệm giao thoa Y-âng, chiếu vào khe S đồng thời hai bức xạ đơn sắc có bước sóng λ1 = 0,490µm và λ2. Trên màn quan sát trong một khoảng rộng đếm được 57 vân sáng, trong đó có 5 vân sáng cùng màu với vân trung tâm và 2 trong 5 vân này nằm ngoài cùng của khoảng rộng. Biết trong khoảng rộng đó số vân sáng đơn sắc của λ1 nhiều hơn số vân sáng của λ2 là 4 vân. Bước sóng λ2 bằng
  • Câu 35: Nhận biết

    Câu 35:

    Hai con lắc lò xo giống nhau. Kích thích cho hai con lắc dao động điều hòa cùng pha, biên độ của con lắc thứ nhất gấp đôi biên độ của con lắc thứ hai. Chọn gốc thế năng tại vị trí cân bằng của hai con lắc. Khi động năng của con lắc thứ nhất là 0,6J thì thế năng của con lắc thứ hai là 0,05J. Hỏi khi thế năng của con lắc thứ nhất là 0,4J thì động năng của con lắc thứ hai là
  • Câu 36: Nhận biết

    Câu 36:

    Cho đoạn mạch AB gồm hai đoạn mạch AM và MB mắc nối tiếp. Đoạn mạch AM gồm cuộn dây thuần cảm nối tiếp với tụ điện, đoạn mạch MB chỉ có điện trở thuần R. Điện áp đặt vào AB có biểu thức u = 80√2cos100πt (V), hệ số công suất của mạch AB là √2/2 . Khi điện áp tức thời giữa hai điểm A và M là 48 V thì điện áp tức thời giữa hai điểm M và B có độ lớn là
  • Câu 37: Nhận biết

    Câu 37:

    Một học sinh làm thí nghiệm giao thoa ánh sáng với khe Y-âng để đo bước sóng của nguồn sáng đơn sắc. Khoảng cách hai khe sáng đo được là a = 1,22 ± 0,03 (mm). Khoảng cách từ mặt phẳng chứa hai khe đến màn đo được là D = 1,65 ± 0,05 (m). Khoảng vân được là i = 0,80 ± 0,02 (mm). Kết quả của phép đo bước sóng là
  • Câu 38: Nhận biết

    Câu 38:

    Một sóng dừng trên sợi dây đàn hồi dài với bước sóng 60 cm. Ba điểm theo đúng thứ tự E, M và N trên dây (EM = 3MN = 30 cm) và M là điểm bụng. Khi vận tốc dao động tại N là cm/s thì vận tốc dao động tại E là
  • Câu 39: Nhận biết

    Câu 39:

    Hai con lắc đơn có cùng khối lượng vật nặng được treo vào hai điểm gần nhau cùng một độ cao, cho hai con lắc dao động điều hòa trong hai mặt phẳng song song. Chu kỳ dao động của con lắc thứ nhất bằng hai lần chu kỳ dao động của con lắc thứ hai và biên độ góc dao động của con lắc thứ hai bằng hai lần biên độ góc dao động của con lắc thứ nhất. Tại một thời điểm hai sợi dây treo song song với nhau thì con lắc thứ nhất có động năng bằng ba lần thế năng, khi đó tỉ số độ lớn vận tốc của con lắc thứ nhất và con lắc thứ hai là
  • Câu 40: Nhận biết

    Câu 40:

    Trên một sợi dây đàn hồi dài 67,5cm đang có sóng dừng với hai đầu dây cố định, chu kỳ sóng T. Khi sợi dây duỗi thẳng có các điểm theo đúng thứ tự N, O, M, K và B sao cho N là nút sóng, B là bụng sóng nằm gần N nhất, O là trung điểm của NB, M và K là các điểm thuộc đoạn OB, khoảng cách MK = 0,25cm. Trong quá trình dao động, khoảng thời gian ngắn nhất giữa hai lần liên tiếp để độ lớn li độ của điểm B bằng biên độ dao động của điểm M là T/10 và khoảng thời gian ngắn nhất giữa hai lần liên tiếp để độ lớn li độ của điểm B bằng biên độ dao động của điểm K là T/15. Số điểm trên dây dao động cùng biên độ và cùng pha với điểm O là
  • Câu 41: Nhận biết

    Câu 41:

    Cần truyền tải một công suất điện và điện áp nhất định từ nhà máy đến nơi tiêu thụ bằng dây dẫn có đường kính tiết diện là d. Thay thế dây truyền tải điện bằng một dây khác cùng chất liệu nhưng có đường kính tiết diện là 2d thì hiệu suất tải điện là 91%. Hỏi khi thay thế dây truyền tải bằng loại dây cùng chất liệu nhưng có đường kính tiết diện là 3d thì hiệu suất truyền tải điện khi đó là
  • Câu 42: Nhận biết

    Câu 42:

    Đặt điện áp u = 120√2cos100πt (V) vào hai đầu đoạn mạch AB gồm hai đoạn mạch AM và MB mắc nối tiếp. Đoạn mạch AM là một cuộn cảm thuần có độ tự cảm L thay đổi được.Đoạn mạch MB gồm điện trở thuần R = 40√3Ω mắc nối tiếp với một tụ điện có điện dung C = 0,25/π (mF). Điều chỉnh L để tổng điện áp hiệu dụng (UAM + UMB) đạt giá trị cực đại. Giá trị cực đại này là
  • Câu 43: Nhận biết

    Câu 43:

    Hai nguồn sóng kết hợp giống hệt nhau A và B thực hiện giao thoa sóng trên mặt nước với bước sóng 24 cm. I là trung điểm của AB. Hai điểm M, N trên đường AB cách I cùng về một phía, lần lượt 2 cm và 4 cm Khi li độ của N là 4 mm thì li độ của M là
  • Câu 44: Nhận biết

    Câu 44:

    Một mạch dao động LC lí tưởng đang có dao động điện từ tự do. Khoảng thời gian ngắn nhất để cường độ dòng điện qua cuộn cảm giảm từ độ lớn cực đại xuống còn một nửa độ lớn cực đại là 4.10–4s. Khoảng thời gian ngắn nhất để điện tích của tụ điện giảm từ độ lớn cực đại xuống còn bằng 0 là
  • Câu 45: Nhận biết

    Câu 45:

    Vệ tinh viễn thông địa tĩnh Vinasat-1 của Việt Nam nằm trên quỹ đạo địa tĩnh (là quỹ đạo tròn ngay phía trên xích đạo Trái Đất (vĩ độ 0o), ở cách bề mặt Trái Đất 35000 km và có kinh độ 132oĐ. Một sóng vô tuyến phát từ Đài truyền hình Hà Nội ở tọa độ (21o 01’B, 105o 48’Đ) truyền lên vệ tinh, rồi tức thì truyền đến Đài truyền hình Cần Thơ ở tọa độ (10o 01’B, 105o 48’Đ). Cho bán kính Trái Đất là 6400 km và tốc độ truyền sóng trung bình là (8/3) .108 m/s. Bỏ qua độ cao của anten phát và anten thu ở các Đài truyền hình so với bán kính Trái Đất. Thời gian từ lúc truyền sóng đến lúc nhận sóng là
  • Câu 46: Nhận biết

    Câu 46:

    Một sóng điện từ đang truyền từ một đài phát sóng ở Hà Nội đến máy thu. Biết cường độ điện trường cực đại là 10 (V/m) và cảm ứng từ cực đại là 0,15 (T). Tại điểm A có sóng truyền về hướng Bắc theo phương nằm ngang, ở một thời điểm nào đó khi cường độ điện trường là 4 (V/m) và đang có hướng Đông thì véc tơ cảm ứng từ có hướng và độ lớn là:
  • Câu 47: Nhận biết

    Câu 47:

    Ba điểm S, M, N nằm trên một đường tròn đường kính MN, biết MN = 2SM. Tại S đặt một nguồn âm đẳng hướng thì mức cường độ âm tại N là 30,00 dB. Mức cường độ âm tại trung điểm MN là
  • Câu 48: Nhận biết

    Câu 48:

    Chiếu xiên từ nước ra ngoài không khí một chùm sáng song song rất hẹp (coi như một tia sáng) gồm ba thành phần đơn sắc: đỏ, lam và tím. Gọi rđ, rl , rt lần lượt là góc khúc xạ ứng với tia màu đỏ, tia màu lam và tia màu tím. Hệ thức đúng là
  • Câu 49: Nhận biết

    Câu 49:

    Cho ba vật dao động điều hòa cùng biên độ A = 10cm nhưng tần số khác nhau. Biết rằng tại mọi thời điểm, li độ, vận tốc của các vật liên hệ với nhau bởi biểu thức: Đề thi thử THPT Quốc gia năm 2016 môn Vật lý trường THPT Hoàng Lệ Kha, Thanh Hóa (Lần 2).Tại thời điểm t, các vật cách vị trí cân bằng của chúng lần lượt là 6cm; 8cm và xo . Giá trị xo gần giá trị nào nhất trong các giá trị sau:
  • Câu 50: Nhận biết

    Câu 50:

    Đặt điện áp xoay chiều có tần số không đổi vào hai đầu đoạn mạch AB gồm điện trở thuần R, tụ điện C và cuộn cảm thuần L (L thay đổi được). Khi L = Lo thì điện áp hiệu dụng giữa hai đầu cuộn cảm đạt cực đại và bằng ULmax. Khi L = L1 hoặc L = L2 thì điện áp hiệu dụng giữa hai đầu cuộn cảm có giá trị như nhau và bằng UL . Biết rằng UL/ULmax = k, Tổng hệ số công suất của mạch AB khi L = L1 và L = L2 là k/2. Hệ số công suất của mạch AB khi L = Lo có giá trị bằng?

Chúc mừng Bạn đã hoàn thành bài!

Đề thi thử THPT Quốc gia năm 2016 môn Vật lý trường THPT Hoàng Lệ Kha, Thanh Hóa (Lần 2) Kết quả
  • Thời gian làm bài: 00:00:00
  • Số câu đã làm: 0
  • Điểm tạm tính: 0
  • Điểm thưởng: 0

Đấu trường Đề thi thử THPT Quốc gia năm 2016 môn Vật lý trường THPT Hoàng Lệ Kha, Thanh Hóa (Lần 2)

Đang tìm đối thủ...

Đang tải...

1
Xác thực tài khoản!

Theo Nghị định 147/2024/ND-CP, bạn cần xác thực tài khoản trước khi sử dụng tính năng này. Chúng tôi sẽ gửi mã xác thực qua SMS hoặc Zalo tới số điện thoại mà bạn nhập dưới đây:

Số điện thoại chưa đúng định dạng!
Số điện thoại này đã được xác thực!
Bạn có thể dùng Sđt này đăng nhập tại đây!
Lỗi gửi SMS, liên hệ Admin
Sắp xếp theo