Giao diện mới của VnDoc Pro: Dễ sử dụng hơn - chỉ tập trung vào lớp bạn quan tâm. Vui lòng chọn lớp mà bạn quan tâm: Lưu và trải nghiệm
Đóng
Điểm danh hàng ngày
  • Hôm nay +3
  • Ngày 2 +3
  • Ngày 3 +3
  • Ngày 4 +3
  • Ngày 5 +3
  • Ngày 6 +3
  • Ngày 7 +5
Bạn đã điểm danh Hôm nay và nhận 3 điểm!
Nhắn tin Zalo VNDOC để nhận tư vấn mua gói Thành viên hoặc tải tài liệu Hotline hỗ trợ: 0936 120 169

Đề thi thử THPT Quốc gia năm 2016 môn Vật lý trường THPT Lý Tự Trọng, Nam Định (Lần 1)

Đóng
Bạn đã dùng hết 1 lần làm bài Trắc nghiệm miễn phí. Mời bạn mua tài khoản VnDoc PRO để tiếp tục! Tìm hiểu thêm
Mô tả thêm:

Đề thi thử đại học môn Lý có đáp án

Nhằm giúp các bạn thi sinh luyện đề THPT Quốc gia môn Lý hiệu quả nhất, VnDoc.com tiếp tục sưu tầm và đăng tải những đề thi chất lượng của các trường THPT Quốc gia trên cả nước để các bạn ôn tập. Mời các bạn tham khảo đề thi thử THPT Quốc gia năm 2016 môn Vật lý trường THPT Lý Tự Trọng, Nam Định (Lần 1) có đáp án đi kèm.

  • Thời gian làm: 90 phút
  • Số câu hỏi: 49 câu
  • Số điểm tối đa: 49 điểm
Bắt đầu làm bài
Bạn còn 1 lượt làm bài tập miễn phí. Hãy mua tài khoản VnDoc PRO để học không giới hạn nhé! Bạn đã HẾT lượt làm bài tập miễn phí! Hãy mua tài khoản VnDoc PRO để làm Trắc nghiệm không giới hạn và tải tài liệu nhanh nhé!
Mua ngay Đổi điểm
Trước khi làm bài bạn hãy
  • 1 Ôn tập kiến thức đã nêu trong phần Mô tả thêm
  • 2 Tìm không gian và thiết bị phù hợp để tập trung làm bài
  • 3 Chuẩn bị sẵn dụng cụ cần dùng khi làm bài như bút, nháp, máy tính
  • 4 Căn chỉnh thời gian làm từng câu một cách hợp lý
  • Câu 1: Nhận biết

    Câu 1:

    Chuyển động của vật nào sau đây là dao động cơ học?
  • Câu 2: Nhận biết

    Câu 2:

    Đặt một điện áp u = U√2cos(100πt) V vào hai đầu mạch gồm có điện trở R = 60Ω, cuộn dây thuần cảm có độ tự cảm L = 2/π (H) và tụ điện có điện dung Đề thi thử THPT Quốc gia năm 2016 môn Vật lý nối tiếp. Dùng Ampe kế xoay chiều có điện trở không đáng kể mắc nối tiếp với mạch thì Ampe kế chỉ 1,5 (A). Điện áp hiệu dụng U bằng

  • Câu 3: Nhận biết

    Câu 3:

    Một con lắc đơn có chiều ℓ khối lượng m được treo tại nơi có gia tốc trọng trường g. Kích thích con lắc dao động với biên độ góc αo, li độ góc α. Bỏ qua ma sát, có thể tính tính động năng cực đại của vật nặng bằng biểu thức

  • Câu 4: Nhận biết

    Câu 4:

    Có thể tạo ra một dòng điện xoay chiều trên một khung dây dẫn kín bằng cách cho khung dây

  • Câu 5: Nhận biết

    Câu 5:

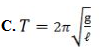
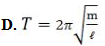
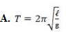
    Một con lắc đơn có chiều ℓ khối lượng m được treo tại nơi có gia tốc trọng trường g. Chu kì dao động điều hòa của con lắc đơn là

  • Câu 6: Nhận biết

    Câu 6:

    Mạch xoay chiều gồm điện trở thuần R, cuộn dây thuần cảm có độ tự cảm L, tụ điện có điện dung C mắc nối tiếp. Trong đó R, C không đổi, L thay đổi được. Đặt vào hai đầu mạch điện áp xoay chiều u = U√2cos(ωt). Cho L thay đổi, khi L lần lượt bằng L1; L2 thì cường độ dòng điện trong mạch có cùng giá trị hiệu dụng và pha ban đầu tương ứng là –π/3 và π/6. Hệ số công suất của mạch khi L = L1 bằng

  • Câu 7: Nhận biết

    Câu 7:

    Một con lắc lò xo treo thẳng đứng. Từ vị trí cân bằng kéo vật nặng thẳng xuống 4cm rồi thả nhẹ thì vật lên đến vị trí cao nhất sau 0,5s. Nếu ban đầu kéo vật thẳng xuống 8cm rồi thả nhẹ thì vật lên đến vị trí cao nhất sau

  • Câu 8: Nhận biết

    Câu 8:

    Một chất điểm dao động điều hòa với phương trình x = 6cos(+ π/4) (x đo bằng cm, t đo bằng s). Tần số góc của dao động dao động của chất điểm là

  • Câu 9: Nhận biết

    Câu 9:

    Cho hai chất điểm dao động điều hòa trên trục Ox có phương trình lần lượt x1= 5√3cos(4πt + π/3) cm và x= 5cos(4πt - π/6) cm. Không kể thời điểm t = 0, hai chất điểm gặp nhau lần thứ hai tại thời điểm

  • Câu 10: Nhận biết

    Câu 10:

    Trên bề mặt chất lỏng phẳng, yên lặng tại hai vị trí A, B cách nhau 16 cm đặt hai mũi nhọn vừa đủ chạm vào mặt chất lỏng. Tại thời điểm t = 0 hai mũi nhọn bắt đầu đi xuống dao động điều hòa giống hệt nhau với chu kì T = 0,4s. Trên bề mặt chất lỏng xuất hiện hai hệ sóng tròn đồng tâm lan tỏa từ hai mũi nhọn, cho tốc độ tryền sóng trên bề mặt chất lỏng là 10cm/s. Tại thời điểm t = 1,2s, có một số điểm trên bề mặt chất lỏng ở cùng độ cao và cao nhất so với tất cả các điểm còn lại, số điểm này bằng

  • Câu 11: Nhận biết

    Câu 11:

    Cho sợi dây AB hai đầu cố định có chiều dài ℓ. Kích thích dây dao động với tần số fn thì trên dây hình thành sóng dừng với bước sóng λn (n thuộc số tự nhiên khác không). Biết fn+1- fn=8 Hz và Đề thi thử THPT Quốc gia năm 2016 môn Vật lý. Tốc độ truyền sóng trên dây và chiều dài ℓ lần lượt bằng

  • Câu 12: Nhận biết

    Câu 12:

    Sóng truyền trên bề mặt chất lỏng thành những đường tròn đồng tâm ngày càng mở rộng với bước sóng λ. Hiệu bán kính hai gợn sóng tròn lồi liên tiếp bằng

  • Câu 13: Nhận biết

    Câu 13:

    Một mạch xoay chiều AB gồm AM nối tiếp MB. Cho AM gồm điện trở thuần R nối tiếp cuộn cảm thuần L; MB chỉ có tụ điện với điện dung C thay đổi được. Đặt vào hai đầu mạch AB một điện áp xoay chiều có tần số góc 100π rad/s và giá trị hiệu dụng không đổi. Mắc vào 2 điểm A,M vôn kế V1; mắc vào 2 điểm M,B vôn kế V2; các vôn kế xoay chiều có điện trở vô cùng lớn. Điều chỉnh C = C1 = 31,8µF thì số chỉ V1 là lớn nhất bằng (x), khi C = C=15,9µF thì số chỉ V2 cũng bằng (x). Điện trở R gần giá trị nào nhất sau đây?

  • Câu 14: Nhận biết

    Câu 14:

    Cho một máy biến áp lí tưởng có số vòng dây dẫn cuộn thứ nhất là N1, số vòng dây dẫn cuộn thứ hai là N2. Nếu đặt vào hai đầu cuộn thứ nhất điện áp xoay chiều có giá trị hiệu dụng 120V thì ở hai đầu cuộn thứ hai để hở điện áp hiệu dụng là 240 V. Sau đó cho cuộn dây thứ nhất tăng thêm n vòng dây, cuộn dây thứ hai tăng thêm 2n vòng dây. Nếu lúc này đặt vào hai đầu cuộn dây thứ hai điện áp xoay chiều có giá trị hiệu dụng 120 V thì ở hai đầu cuộn thứ nhất để hở điện áp hiệu dụng bằng

  • Câu 15: Nhận biết

    Câu 15:

    Một chất điểm dao động điều hòa trên trục Ox có phương trình dao động Đề thi thử THPT Quốc gia năm 2016 môn Vật lý (x đo bằng cm, t đo bằng s). Quãng đường vật đi được trong giây thứ tư kể từ thời điểm ban đầu là

  • Câu 16: Nhận biết

    Câu 16:

    Một con lắc đơn có chiều ℓ = 1m khối lượng m = 50g được treo giữa hai bản kim loại phẳng song song giống hệt nhau đặt thẳng đứng đối diện nhau. Biết hai bản kim loại cách nhau 12cm được nối với nguồn một chiều có hiệu điện thế U (V) qua một công tắc K, công tắc K ban đầu mở. Lấy gia tốc trọng trường g= 10m/s2. Tích điện cho vật nặng điện tích q = 5µC. Khi vật đang đứng yên thì đóng nhanh công tắc K, vật dao động điều hòa với biên độ góc 0,05 rad. Hiệu điện thế U bằng

  • Câu 17: Nhận biết

    Câu 17:

    Một vật tham gia đồng thời hai dao động điều hòa cùng phương, có cùng tần số góc ω, đồng pha nhau và biên độ mỗi dao động lần lượt là A1 và A2. Vận tốc cực đại của vật là

  • Câu 18: Nhận biết

    Câu 18:

    Một con lắc đơn có chiều ℓ = 49cm khối lượng m = 100g được treo tại nơi có gia tốc trọng trường g = 9,8m/s2Kích thích cho vật nặng dao động điều hòa trên cung tròn có độ dài 2√5 cm. Tốc độ cực đại của vật nặng trong quá trình dao động là

  • Câu 19: Nhận biết

    Câu 19:

    Trên sợi dây đang có sóng dừng với bước sóng λ. Khoảng cách giữa hai nút sóng liên tiếp trên dây bằng
  • Câu 20: Nhận biết

    Câu 20:

    Một sóng cơ lan truyền với tốc độ truyền v, chu kì sóng T, tần số f. Bước sóng được tính bằng

  • Câu 21: Nhận biết

    Câu 21:

    Chọn hệ thức không đúng? Đặt một điện áp xoay chiều u=Uocos(ωt+ φu) vào hai bản một tụ điện có điện dung C thì cường độ dòng điện qua mạch i=Iocos(ωt+ φi) thì
  • Câu 22: Nhận biết

    Câu 22:

    Cho một sóng ngang lan truyền trên một sợi dây có phương trình sóng u=5cos(10πt- πx/24) (u đo bằng cm, t đo bằng s, x đo bằng cm). Hai điểm M, N trên dây có vị trí cân bằng cách nhau 12cm. Khi sóng đang truyền thì khoảng cách lớn nhất giữa hai điểm M và N bằng
  • Câu 23: Nhận biết

    Câu 23:

    Hai nhạc cụ cùng tấu một bản nhạc ở cùng một độ cao, người nghe vẫn phân biệt được âm của từng nhạc cụ phát ra là do
  • Câu 24: Nhận biết

    Câu 24:

    Một dòng điện xoay chiều có biểu thức i = 2cos(ωt + π/6) (A). Cường độ dòng điện hiệu dụng bằng
  • Câu 25: Nhận biết

    Câu 25:

    Thực hiện giao thoa sóng trên bề mặt chất lỏng với hai nguồn kết hợp giống hệt nhau, bước sóng λ. Lấy k là số nguyên, điểm trên bề mặt chất lỏng tại đó phần tử môi trường có biên độ sóng cực tiểu thì hiệu đường đi bằng
  • Câu 26: Nhận biết

    Câu 26:

    Một vật dao động điều hòa thì véc tơ
  • Câu 27: Nhận biết

    Câu 27:

    Cho một con lắc lò xo, dao động con lắc này bị tắt nhanh nhất trong
  • Câu 28: Nhận biết

    Câu 28:

    Hiện tượng giao thoa sóng là sự tổng hợp hai sóng mà tại đó có những điểm nhất định biên độ sóng
  • Câu 29: Nhận biết

    Câu 29:

    Một con lắc lò xo đặt nằm ngang một đầu gắn vào điểm cố định M đầu còn lại N gắn vào vật nặng m=150g. Cho độ cứng lò xo là 4N/m, khi vật nặng đứng yên chiều dài của lò xo MN=30cm, lấy vòng lò xo C cách đầu M một đoạn 10cm. Ban đầu giữ chặt vòng lò xo C. Kéo vật dọc trục lò xo sao cho lò xo giãn 6cm rồi thả nhẹ cho vật dao động điều hòa. Khi vật vừa đến vị trí cân bằng lần đầu thì đồng thời thả điểm giữ vòng lò xo C. Biên độ dao động của vòng lò xo C là
  • Câu 30: Nhận biết

    Câu 30:

    Sóng âm không truyền được trong
  • Câu 31: Nhận biết

    Câu 31:

    Trên một sợi dây đang có sóng dừng với biên độ của bụng sóng là A, bước sóng λ. Gọi M là điểm trên dây cách nút sóng một khoảng x. Biên độ điểm tính M bằng
  • Câu 32: Nhận biết

    Câu 32:

    Một con lắc đơn có chu kì dao động riêng 0,25 s. Con lắc đơn chịu tác dụng ngoại lực biến thiên điều hòa có biên độ không đổi và tần số f thay đổi. Con lắc dao động với biên độ lớn nhất khi f bằng
  • Câu 33: Nhận biết

    Câu 33:

    Một nguồn phát sóng âm dạng cầu đẳng hướng về mọi phía, môi trường không hấp thụ âm. Dùng một máy đo người ta thấy độ to của âm tại điểm M gấp sáu lần độ to của âm chuẩn; độ to của âm tại điểm N gấp hai lần độ to của âm chuẩn. Gọi khoảng cách từ M, N tới nguồn lần lượt là RM, RN thì ta có
  • Câu 34: Nhận biết

    Câu 34:

    Đặt điện áp xoay chiều u = 80√6cosωt (V) vào hai đầu đoạn mạch AB gồm hai đoạn mạch AM và MB mắc nối tiếp. Đoạn AM là cuộn dây không thuần cảm, đoạn MB gồm điện trở thuần R mắc nối tiếp với tụ điện có điện dung C. Biết khi đó cường độ hiệu dụng của dòng điện trong mạch là 1,0 A; điện áp hiệu dụng giữa hai điểm M, B gấp hai lần điện áp hiệu dụng trên điện trở thuần R.; điện áp tức thời giữa hai điểm M, B lệch pha so với điện áp tức thời hai đầu đoạn mạch AB là π/2. Công suất tiêu thụ trung bình đoạn mạch AB bằng
  • Câu 35: Nhận biết

    Câu 35:

    Đặt một điện áp u=100√2cos(100πt ) V vào hai đầu một cuộn dây không thuần cảm thì thấy cường độ dòng điện qua cuộn dây có biểu thức i=√2cos (100π t- π/3) (A). Độ tự cảm của cuộn dây bằng
  • Câu 36: Nhận biết

    Câu 36:

    Đặt một điện áp xoay chiều u=Uocos(ωt) vào hai đầu một cuộn dây thuần cảm có độ tự cảm L thì biểu thức cường độ dòng điện qua cuộn cảm là
  • Câu 37: Nhận biết

    Câu 37:

    Một quạt điện gia đình là động cơ không đồng bộ một pha hoạt động bình thường ở điện áp xoay chiều có giá trị hiệu dụng 220V. Khi quạt hoạt động bình thường thì công suất có ích do quạt sinh ra là 82,5W và hệ số công suất của quạt là cosφ= 0,9. Cho rằng hao phí trên quạt chỉ do tỏa nhiệt trên dây dẫn của các cuộn dây có điện trở thuần 22 Ω. Biết hiệu suất của quạt điện luôn lớn hơn 50%. Khi hoạt động bình thường cường độ dòng điện hiệu dụng chạy qua quạt điện bằng
  • Câu 38: Nhận biết

    Câu 38:

    Mạch xoay chiều gồm điện trở thuần R, cuộn dây thuần cảm có độ tự cảm L, tụ điện có điện dung C mắc nối tiếp. Đặt vào hai đầu mạch điện áp xoay chiều có tần số góc ω. Độ lệch pha giữa điện áp hai đầu mạch và dòng trong mạch là φ thì
  • Câu 39: Nhận biết

    Câu 39:

    Mắc bóng đèn loại 220V- 40W vào mạng điện xoay chiều dân dụng 220V-50Hz để đèn sáng bình thường. Điện năng mà đèn tiêu thụ trong một ngày đêm là
  • Câu 40: Nhận biết

    Câu 40:

    Mạch xoay chiều gồm điện trở thuần R, cuộn dây thuần cảm có độ tự cảm L, tụ điện có điện dung C mắc nối tiếp. Đặt vào hai đầu mạch một điện áp xoay chiều u = U√2cosωt (V) (trong đó U không đổi, ω thay đổi được). Điều chỉnh ω để điện áp hiệu dụng giữa hai bản tụ điện cực đại và giá trị cực đại là Ucmax, khi đó điện áp hiệu dụng hai đầu cuộn cảm thuần là UL. Ta có hệ thức sau
  • Câu 41: Nhận biết

    Câu 41:

    Một con lắc lò xo có độ cứng k, khối lượng vật nặng m dao động điều hòa. Tần số góc dao động của vật nặng bằng
  • Câu 42: Nhận biết

    Câu 42:

    Cho các phương án giảm hao phí điện năng trên đường dây tải điện đi xa như sau:
    (1) Kéo dây dẫn điện cho thẳng và ngắn nhất có thể.
    (2) Lựa chọn dây dẫn điện có điện trở suất nhỏ, độ bền cao.
    (3) Tăng tiết diện của dây đẫn truyền tải.
    (4) Tăng điện áp đưa vào truyền tải, hạ điện áp khi đến nơi tiêu thụ.
    Phương án hiệu quả nhất trong thực tế là
  • Câu 43: Nhận biết

    Câu 43:

    Thực hiện giao thoa trên bề mặt chất lỏng với hai nguồn kết hợp có phương trình u1= - u2 = acos(40πt)mm. Trên đoạn thẳng nối hai nguồn, phần tử môi trường dao động với biên độ cực đại gần trung điểm của đoạn thẳng nối hai nguồn nhất cách trung điểm này 0,75 cm. Tốc độ truyền sóng trên bề mặt chất lỏng bằng
  • Câu 44: Nhận biết

    Câu 44:

    Một mạch xoay chiều gồm hai hộp kín X và Y mắc nối tiếp. Đặt vào hai đầu mạch một điện áp xoay chiều thì đồ thị điện áp hai đầu hộp X là (1) và hai đầu hộp Y là (2) như hình vẽ. Biểu thức điện áp hai đầu mạch là
    Đề thi thử THPT Quốc gia năm 2016 môn Vật lý trường THPT Lý Tự Trọng, Nam Định (Lần 1)
  • Câu 45: Nhận biết

    Câu 45:

    Cho máy phát điện xoay chiều một pha có phần cảm gồm p cặp cực, roto của máy quay với tốc độ n (vòng/ phút). Tần số dòng điện xoay chiều f(Hz) do máy phát tạo ra bằng
  • Câu 46: Nhận biết

    Câu 46:

    Ba suất điện động xoay chiều do máy phát điện ba pha tạo ra không có đặc điểm nào sau đây?
  • Câu 47: Nhận biết

    Câu 47:

    Một máy phát điện xoay chiều một pha có roto là một nam châm điện có một cặp cực,quay đều với tốc độ n (vòng/s). Một đoạn mạch RLC nối tiếp được mắc vào hai cực của máy. Khi roto quay với tốc độ n1 = 60 (vòng/phút) thì dung kháng của tụ điện bằng R; khi rôto quay với tốc độ n2 = 80 (vòng/phút) thì điện áp hiệu dụng ở hai đầu tụ điện đạt giá trị cực đại. Bỏ qua điện trở thuần ở các cuộn dây phần ứng máy phát. Để cường độ dòng điện hiệu dụng qua mạch đạt giá trị cực đại thì roto phải quay với tốc độ bằng
  • Câu 48: Nhận biết

    Câu 48:

    Cách thực hiện dao động tự duy trì là
  • Câu 49: Nhận biết

    Câu 49:

    Một con lắc lò xo treo thẳng đứng có độ cứng k=100N/m, vật nặng có khối lượng m=400g được treo tại nơi có gia tốc trọng trường g= π 2= 10m/s2. Từ vị trí cân bằng kéo vật thẳng xuống dưới cách vị trí lò xo không biến dạng 14cm rồi thả nhẹ cho vật dao động điều hòa. Khoảng thời gian ngắn nhất kể từ lúc thả vật đến khi vật cao hơn vị trí lò xo không biến dạng 1,0cm là

Chúc mừng Bạn đã hoàn thành bài!

Đề thi thử THPT Quốc gia năm 2016 môn Vật lý trường THPT Lý Tự Trọng, Nam Định (Lần 1) Kết quả
  • Thời gian làm bài: 00:00:00
  • Số câu đã làm: 0
  • Điểm tạm tính: 0
  • Điểm thưởng: 0

Đấu trường Đề thi thử THPT Quốc gia năm 2016 môn Vật lý trường THPT Lý Tự Trọng, Nam Định (Lần 1)

Đang tìm đối thủ...

Đang tải...

1
Xác thực tài khoản!

Theo Nghị định 147/2024/ND-CP, bạn cần xác thực tài khoản trước khi sử dụng tính năng này. Chúng tôi sẽ gửi mã xác thực qua SMS hoặc Zalo tới số điện thoại mà bạn nhập dưới đây:

Số điện thoại chưa đúng định dạng!
Số điện thoại này đã được xác thực!
Bạn có thể dùng Sđt này đăng nhập tại đây!
Lỗi gửi SMS, liên hệ Admin
Sắp xếp theo