Giao diện mới của VnDoc Pro: Dễ sử dụng hơn - chỉ tập trung vào lớp bạn quan tâm. Vui lòng chọn lớp mà bạn quan tâm: Lưu và trải nghiệm
Đóng
Điểm danh hàng ngày
  • Hôm nay +3
  • Ngày 2 +3
  • Ngày 3 +3
  • Ngày 4 +3
  • Ngày 5 +3
  • Ngày 6 +3
  • Ngày 7 +5
Bạn đã điểm danh Hôm nay và nhận 3 điểm!
Nhắn tin Zalo VNDOC để nhận tư vấn mua gói Thành viên hoặc tải tài liệu Hotline hỗ trợ: 0936 120 169

Đề thi thử THPT Quốc gia năm 2016 môn Vật lý trường THPT Thuận Thành 1, Bắc Ninh (Lần 2)

Đóng
Bạn đã dùng hết 1 lần làm bài Trắc nghiệm miễn phí. Mời bạn mua tài khoản VnDoc PRO để tiếp tục! Tìm hiểu thêm
Mô tả thêm:

Đề thi thử đại học môn Vật Lý

Đề thi thử THPT Quốc gia năm 2016 môn Vật lý trường THPT Thuận Thành 1, Bắc Ninh (Lần 2) là tài liệu luyện thi hay và hữu ích cho các bạn học sinh tham gia ôn thi và thực hành làm các dạng bài thi hay ra trong kỳ thi THPT Quốc Gia. Sau đây mời các bạn cùng tham khảo!

Mời các bạn tham khảo thêm: Đề thi thử THPT Quốc gia môn Vật lý năm 2016 trường THPT Hưng Nhân, Thái Bình (Lần 3)

  • Thời gian làm: 90 phút
  • Số câu hỏi: 50 câu
  • Số điểm tối đa: 50 điểm
Bắt đầu làm bài
Bạn còn 1 lượt làm bài tập miễn phí. Hãy mua tài khoản VnDoc PRO để học không giới hạn nhé! Bạn đã HẾT lượt làm bài tập miễn phí! Hãy mua tài khoản VnDoc PRO để làm Trắc nghiệm không giới hạn và tải tài liệu nhanh nhé!
Mua ngay Đổi điểm
Trước khi làm bài bạn hãy
  • 1 Ôn tập kiến thức đã nêu trong phần Mô tả thêm
  • 2 Tìm không gian và thiết bị phù hợp để tập trung làm bài
  • 3 Chuẩn bị sẵn dụng cụ cần dùng khi làm bài như bút, nháp, máy tính
  • 4 Căn chỉnh thời gian làm từng câu một cách hợp lý
  • Câu 1: Nhận biết

    Câu 1:

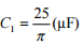
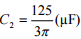
    Đặt điện áp xoay chiều u = U√2cos(100Πt) V vào đoạn mạch RLC nối tiếp. Biết R = 100√2Ω, tụ điện có điện dung thay đổi được. Khi điện dung tụ điện lần lượt là Đề thi thử THPT Quốc gia năm 2016 môn Vật lý trường THPT Thuận Thành 1, Bắc Ninh (Lần 2) và Đề thi thử THPT Quốc gia năm 2016 môn Vật lý trường THPT Thuận Thành 1, Bắc Ninh (Lần 2)thì điện áp hiệu dụng trên tụ có cùng giá trị. Để điện áp hiệu dụng trên điện trở R đạt cực đại thì giá trị của C có thể là:
  • Câu 2: Nhận biết

    Câu 2:

    Cho mạch điện gồm điện trở thuần và tụ điện mắc nối tiếp. Biết hiệu điện thế ở hai đầu điện trở là 40V và hiệu điện thế ở hai đầu cuộn cảm L và 30V. Hiệu điện thế hiệu dụng U ở hai đầu đoạn mạch có giá trị: là:
  • Câu 3: Nhận biết

    Câu 3:

    Một sóng lan truyền với tốc độ v = 200 m/s có bước sóng λ = 4 m. Chu kỳ dao động của sóng là
  • Câu 4: Nhận biết

    Câu 4:

    Một sóng cơ lan truyền trên mặt thoáng chất lỏng với tần số 20Hz, tốc độ truyền sóng là 2 m/s. Hai điểm M, N nằm trên mặt thoáng chất lỏng cách nhau 22,5cm (M nằm gần nguồn sóng hơn). Tại thời điểm t, điểm N hạ xuống thấp nhất. Thời gian sau đó điểm M hạ xuống thấp nhất lần thứ 2015 là
  • Câu 5: Nhận biết

    Câu 5:

    Trong một phòng nghe nhạc , tại một vị trí có mức cường độ âm tạo ra từ nguồn là 75dB , mức cường độ âm phản xạ ở bức tường phía sau là 72dB (bức tường không hấp thụ âm ). Mức cường độ âm toàn phần tại vị trí đó gần giá trị nào nhất sau đây
  • Câu 6: Nhận biết

    Câu 6:

    Đặt một điện áp u = Uocosωt vào hai đầu một đoạn mạch điện chỉ có tụ điện. Nếu điện dung của tụ điện không đổi thì dung kháng của tụ điện
  • Câu 7: Nhận biết

    Câu 7:

    Đặt điện áp xoay chiều Đề thi thử THPT Quốc gia năm 2016 môn Vật lý trường THPT Thuận Thành 1, Bắc Ninh (Lần 2) vào hai đầu đoạn mạch AB như hình bên. Biết R = r. Đồ thị biểu diễn điện áp uAN và uMB như hình vẽ bên cạnh. Giá trị Uo bằng:
    Đề thi thử THPT Quốc gia năm 2016 môn Vật lý trường THPT Thuận Thành 1, Bắc Ninh (Lần 2)
  • Câu 8: Nhận biết

    Câu 8:

    Một dòng điện xoay chiều có biểu thức i = 5cos100Πt (A) chạy qua điện trở thuần bằng 10Ω. Công suất toả nhiệt trên điện trở đó là
  • Câu 9: Nhận biết

    Câu 9:

    Một mạch dao động bắt tín hiệu của một máy thu vô tuyến điện gồm cuộn cảm L = 30 μH, điện trở không đáng kể và một tụ điện điều chỉnh được. Để bắt được sóng vô tuyến có bước sóng 120 m thì điện dung của tụ điện có giá trị
  • Câu 10: Nhận biết

    Câu 10:

    Quang phổ liên tục phát ra bởi hai vật khác nhau thì

  • Câu 11: Nhận biết

    Câu 11:

    Trong thí nghiệm I-âng về giao thoa ánh sáng, nguồn sáng phát ra đồng thời hai bức xạ có bước sóng lần lượt là λ1 = 0,50 µm và λ2 = 0,60 µm. Biết hai khe I-âng cách nhau 1mm và khoảng cách từ hai khe đến màn ảnh là 1m. Kích thước vùng giao thoa trên màn là 15 mm. Số vân sáng trên màn có màu của λ1 là
  • Câu 12: Nhận biết

    Câu 12 :

    Giả sử hai hạt nhân X và Y có độ hụt khối bằng nhau và số nuclôn của hạt nhân X lớn hơn số nuclôn của hạt nhân Y thì
  • Câu 13: Nhận biết

    Câu 13:

    Ban đầu có một mẫu chất phóng xạ nguyên chất X với chu kì bán rã T. Cứ một hạt nhân X sau khi phóng xạ tạo thành một hạt nhân Y. Nếu hiện nay trong mẫu chất đó tỉ lệ số nguyên tử của chất Y và chất X là k thì tuổi của mẫu chất là:
  • Câu 14: Nhận biết

    Câu 14:

    Một vật dao động điều hòa dọc theo trục Ox với phương trình x = 5cos(8Πt + Π/2)(cm). Chiều dài quỹ đạo của vật là
  • Câu 15: Nhận biết

    Câu 15:

    Trong dao động điều hòa của chất điểm, gia tốc và vận tốc cùng chiều khi
  • Câu 16: Nhận biết

    Câu 16:

    Một chất điểm dao động điều hòa có phương trình vận tốc là v = 4Πcos2Πt (cm/s). Gốc tọa độ ở vị trí cân bằng. Mốc thời gian được chọn vào lúc chất điểm có li độ và vận tốc là:
  • Câu 17: Nhận biết

    Câu 17:

    Chất điểm có khối lượng m1 = 50 gam dao động điều hoà quanh vị trí cân bằng của nó với phương trình dao động x1 = cos(5πt + π/6 ) (cm). Chất điểm có khối lượng m2 = 100 gam dao động điều hoà quanh vị trí cân bằng của nó với phương trình dao động x2 = 5cos(πt – π/6 )(cm). Tỉ số cơ năng trong quá trình dao động điều hoà của chất điểm m1 so với chất điểm m2 bằng
  • Câu 18: Nhận biết

    Câu 18:

    Khi sóng âm truyền từ môi trường không khí vào môi trường nước thì
  • Câu 19: Nhận biết

    Câu 19:

    Một dây đàn hồi AB dài 60 cm có đầu B cố định , đầu A mắc vào một nhánh âm thoa đang dao động với tần số f=50 Hz. Khi âm thoa rung, trên dây có sóng dừng với 3 bụng sóng, đầu A được xem là một nút sóng. Vận tốc truyền sóng trên dây là
  • Câu 20: Nhận biết

    Câu 20.

    Con lắc lò xo gồm vật nặng M = 300g, lò xo có độ cứng k = 200N/m lồng vào một trục thẳng đứng như hình bên.
    Đề thi thử THPT Quốc gia năm 2016 môn Vật lý trường THPT Thuận Thành 1, Bắc Ninh (Lần 2)
    Khi M đang ở vị trí cân bằng, thả vật m = 200g từ độ cao h = 3,75cm so với M. Lấy g = 10m/s2 . Bỏ qua ma sát. Va chạm là mềm.Sau va chạm cả hai vật cùng dao động điều hòa. Chọn trục tọa độ thẳng đứng hướng lên, gốc tọa độ là vị trí cân bằng của hai vật cùng dao động điều hòa, gốc thời gian là lúc va chạm. Phương trình dao động của hai vật là
  • Câu 21: Nhận biết

    Câu 21.

    Trên mặt nước có hai nguồn kết hợp AB cách nhau một đoạn 12cm đang dao động vuông góc với mặt nước tạo ra sóng với bước sóng 1,6cm. Gọi C là một điểm trên mặt nước cách đều hai nguồn và cách trung điểm O của đoạn AB một khoảng 8cm. Hỏi trên đoạn CO, số điểm dao động ngược pha với nguồn là:
  • Câu 22: Nhận biết

    Câu 22:

    Trên một sợi dây OB căng ngang, chiều dài L, hai đầu cố định đang có sóng dừng với tần số f xác định. Tốc độ truyền song trên dây là v, biên độ của song tới là a. Hình vẽ mô tả dạng sợi dây ở thời điểm t1 (đường 1), thời điểm t2 = t1 + to (đường 2), thời điểm t3 = t1 + 5to (đường 3). Tại thời điểm t1, phần tử dây M có vị trí như hình vẽ. Biên độ dao động của M là
    Đề thi thử THPT Quốc gia năm 2016 môn Vật lý trường THPT Thuận Thành 1, Bắc Ninh (Lần 2)
  • Câu 23: Nhận biết

    Câu 23:

    Đặt vào hai đầu của một điện trở thuần R một điện áp u = Uocosωt thì cường độ dòng điện chạy qua điện trở có biểu thức
  • Câu 24: Nhận biết

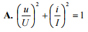
    Câu 24:

    Đoạn mạch điện xoay chiều chỉ có cuộn cảm có hệ số tự cảm L. Điện áp tức thời và cường độ dòng điện tức thời của mạch là u và i. Điện áp hiệu dụng và cường độ hiệu dụng là U, I. Biểu thức nào sau đây là đúng?
  • Câu 25: Nhận biết

    Câu 25:

    Trong giờ thực hành, một học sinh đặt điện áp xoay chiều u = 200√2cos100Πt (V)vào hai đầu đoạn mạch AB gồm đoạn mạch AM và MB mắc nối tiếp. Đoạn mạch AM chỉ có điện trở thuần R= 80Ω; đoạn mạch MB gồm tụ điện có điện dung C thay đổi được mắc nối tiếp với cuộn dây có hệ số tự cảm Đề thi thử THPT Quốc gia năm 2016 môn Vật lý trường THPT Thuận Thành 1, Bắc Ninh (Lần 2) và điện trở trong r= 20Ω. Thay đổi điện dung C của tụ (với C ≠ 0 ) để số chỉ Vôn kế trên đoạn MB đạt cực tiểu. Giá trị cực tiểu đó bằng
  • Câu 26: Nhận biết

    Câu 26:

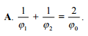
    Đặt điện áp u = Uocosωt (Uo và ω không đổi) vào hai đầu đoạn mạch mắc nối tiếp gồm điện trở R, cuộn cảm thuần có độ tự cảm L, tụ điện có điện dung C thay đổi được. Khi C =C1 và C = C2 điện áp hiệu dụng ở hai đầu tụ điện có cùng giá trị và độ lệch pha của điện áp ở hai đầu đoạn mạch so với cường độ dòng điện lần lượt là φ1 (rad) và φ2 (rad). Khi C = Co điện áp giữa hai đầu tụ điện đạt cực đại và độ lệch pha của điện áp hai đầu đoạn mạch so với cường độ dòng điện là φo. Mối liên hệ giữa φ1, φ2 và φo là
  • Câu 27: Nhận biết

    Câu 27:

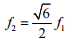
    Đặt điện áp xoay chiều có giá trị hiệu dụng không đổi, tần số thay đổi được vào hai đầu đoạn mạch gồm điện trở R, cuộn cảm thuần có độ tự cảm L, tụ điện có điện dung C. Khi tần số là f1 thì UCmax . Khi Đề thi thử THPT Quốc gia năm 2016 môn Vật lý trường THPT Thuận Thành 1, Bắc Ninh (Lần 2)thì URmax. Khi Đề thi thử THPT Quốc gia năm 2016 môn Vật lý trường THPT Thuận Thành 1, Bắc Ninh (Lần 2) thì điện áp hiệu dụng hai đầu tụ điện bằng 150 V. Giá trị UCmax gần giá trị nào sau đây nhất?
  • Câu 28: Nhận biết

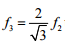
    Câu 28:

    Mạch dao động điện từ LC lý tưởng có C thay đổi được. Khi C = C1 thì tần số dao động là 3MHz. Khi C = C2 thì tần số do mạch phát ra là 4MHz. Khi C = 1997C1 + 2015C2 thì tần số dao động là
  • Câu 29: Nhận biết

    Câu 29:

    Khi nói về quan hệ giữa thành phần điện trường và từ trường của sóng điện từ thì kết luận nào sau đây là đúng?
  • Câu 30: Nhận biết

    Câu 30:

    Một dòng điện xoay chiều có cường độ Đề thi thử THPT Quốc gia năm 2016 môn Vật lý trường THPT Thuận Thành 1, Bắc Ninh (Lần 2). Phát biểu nào sau đây là sai?
  • Câu 31: Nhận biết

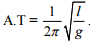
    Câu 31:

    Chu kì dao động điều hòa của con lắc đơn có chiều dài dây treo l tại địa điểm có gia tốc trọng trường g được tính bởi công thức.
  • Câu 32: Nhận biết

    Câu 32:

    Một vật thực hiện dao động điều hòa xung quanh vị trí cân bằng theo phương trình. Tần số dao động của vật là
  • Câu 33: Nhận biết

    Câu 33:

    Trong khoảng thời gian Δt, con lắc đơn có chiều dài l1 thực hiện 40 dao động. Vẫn cho con lắc dao động ở vị trí đó nhưng tăng chiều dài sợi dây thêm một đoạn bằng 7,9 (cm) thì trong khoảng thời gian Δt nó thực hiện được 39 dao động. Chiều dài của con lắc đơn sau khi tăng thêm là
  • Câu 34: Nhận biết

    Câu 34:

    Cho 3 vật dao động điều hòa cùng biên độ A, với tần số f1, f2, f3. Biết rằng tại mọi thời điểm, li độ và vận tốc của các vật liên hệ bằng biểu thức Đề thi thử THPT Quốc gia năm 2016 môn Vật lý trường THPT Thuận Thành 1, Bắc Ninh (Lần 2) . Tại thời điểm t, các vật cách vị trí cân bằng của chúng những đoạn lần lượt là 3 cm, 2 cm và 4 cm. Giá trị của biên độ A gần giá trị nào nhất sau đây
  • Câu 35: Nhận biết

    Câu 35:

    Cho hai dao động điều hoà có li độ được mô tả bằng đồ thị x1, x2 như hình vẽ. Tổng tốc độ của hai dao động ở cùng một thời điểm có giá trị lớn nhất là:
    Đề thi thử THPT Quốc gia năm 2016 môn Vật lý trường THPT Thuận Thành 1, Bắc Ninh (Lần 2)
  • Câu 36: Nhận biết

    Câu 36:

    Trong hiện tượng giao thoa ánh sáng với hai khe Y-âng, công thức tính khoảng vân i là:
  • Câu 37: Nhận biết

    Câu 37:

    Trong thí nghiệm Y- âng về giao thoa ánh sáng, hai khe được chiếu bằng ánh sáng đơn sắc có bước sóng λ. Nếu tại điểm M trên màn quan sát có vân tối thứ hai (tính từ vân sáng trung tâm) thì hiệu đường đi của ánh sáng từ hai khe S1, S2 đến M có độ lớn bằng
  • Câu 38: Nhận biết

    Câu 38:

    Trong thí nghiệm Y-âng về giao thoa ánh sáng, hai khe được chiếu bằng ánh sáng đơn sắc bước sóng 0,5μm, khoảng cách giữa hai khe là 1 mm, khoảng cách từ hai khe đến màn quan sát là 2m. Trên màn quan sát, gọi M, N là hai điểm ở cùng một phía so với vân trung tâm và cách vân trung tâm lần lượt là 0,5cm; 1,05cm. Trên đoạn MN (vuông góc với hệ vân) có
  • Câu 39: Nhận biết

    Câu 39:

    Electron trong nguyên tử hydro chuyển từ quỹ đạo dừng có mức năng lượng lớn về quỹ đạo dừng có mức năng lượng nhỏ hơn thì tốc độ electron tăng lên 4 lần. Electron đã chuyển từ quỹ đạo
  • Câu 40: Nhận biết

    Câu 40:

    Giữa anôt và catôt của một ống phát tia X có hiệu điện thế không đổi là 25 kV. Bỏ qua động năng của electron khi bứt ra từ catôt. Bước sóng ngắn nhất của tia X mà ống có thể phát ra bằng
  • Câu 41: Nhận biết

    Câu 41:

    Một mạch dao động gồm cuộn cảm thuần có độ tự cảm Lvà một tụ điện có điện dung C thực hiện dao động tự do không tắt. Giá trị cực đại của hiệu điện thế giữa hai bản tụ điện bằng Uo. Giá trị hiệu dụng của cường độ dòng điện trong mạch là
  • Câu 42: Nhận biết

    Câu 42:

    Người ta tạo ra phản ứng hạt nhân bằng cách dùng hạt prôton có động năng là 3,60 MeV bắn vào hạt nhân 2311Na đang đứng yên. Hai hạt sinh ra là α và X. Giả sử hạt α bắn ra theo hướng vuông góc với hướng bay của hạt prôton và có động năng 4,85 MeV. Lấy khối lượng của các hạt tính theo đơn vị u gần bằng số khối của chúng. Năng lượng tỏa ra trong phản ứng này bằng
  • Câu 43: Nhận biết

    Câu 43:

    Một kim loại có giới hạn quang điện là λo . Chiếu bức xạ có bước sóng bằng λo/3 vào kim loại này. Cho rằng năng lượng mà electron quang điện hấp thụ từ photon của bức xạ trên, một phần dùng để giải phóng nó, phần còn lại biến hoàn toàn thành động năng của nó. Giá trị động năng này là
  • Câu 44: Nhận biết

    Câu 44:

    Trong phản ứng sau đây: Đề thi thử THPT Quốc gia năm 2016 môn Vật lý trường THPT Thuận Thành 1, Bắc Ninh (Lần 2); hạt X là
  • Câu 45: Nhận biết

    Câu 45:

    Phát biểu nào là sai?
  • Câu 46: Nhận biết

    Câu 46:

    Khi nói về tia hồng ngoại và tia tử ngoại, phát biểu nào sau đây là đúng?
  • Câu 47: Nhận biết

    Câu 47:

    Một tụ điện có điện dung C tích điện Qo. Nếu nối tụ điện với cuộn cảm thuần có độ tự cảm L1 hoặc với cuộn cảm thuần có độ tự cảm L2 thì trong mạch có dao động điện từ tự do với cường độ dòng điện cực đại là 20mA hoặc 10 mA. Nếu nối tụ điện với cuộn cảm thuần có độ tự cảm L3=(9L1+4L2) thì trong mạch có dao động điện từ tự do với cường độ dòng điện cực đại là
  • Câu 48: Nhận biết

    Câu 48:

    Đặt điện áp xoay chiều u = U√2cosωt vào hai đầu đoạn mạch mắc nối tiếp gồm điện trở thuần R, tụ điện có điện dung C và cuộn cảm thuần có độ tự cảm L thay đổi được, với 1/Cω = R. Thay đổi L để điện áp hiệu dụng giữa hai đầu cuộn cảm đạt cực đại. Điện áp giữa hai đầu cuộn cảm khi đó có biểu thức là
  • Câu 49: Nhận biết

    Câu 49.

    Một động cơ điện xoay chiều hoạt động bình thường với điện áp hiệu dụng 220V, cường độ dòng điện hiệu dụng 0,5 A và hệ số công suất của động cơ là 0,8 . Biết rằng công suất hao phí của động cơ là 11 W. Hiệu suất của động cơ (tỉ số giữa công suất hữu ích và công suất tiêu thụ toàn phần) là
  • Câu 50: Nhận biết

    Câu 50:

    Phát biểu nào sau đây sai khi nói về phôtôn ánh sáng?

Chúc mừng Bạn đã hoàn thành bài!

Đề thi thử THPT Quốc gia năm 2016 môn Vật lý trường THPT Thuận Thành 1, Bắc Ninh (Lần 2) Kết quả
  • Thời gian làm bài: 00:00:00
  • Số câu đã làm: 0
  • Điểm tạm tính: 0
  • Điểm thưởng: 0

Đấu trường Đề thi thử THPT Quốc gia năm 2016 môn Vật lý trường THPT Thuận Thành 1, Bắc Ninh (Lần 2)

Đang tìm đối thủ...

Đang tải...

1
Xác thực tài khoản!

Theo Nghị định 147/2024/ND-CP, bạn cần xác thực tài khoản trước khi sử dụng tính năng này. Chúng tôi sẽ gửi mã xác thực qua SMS hoặc Zalo tới số điện thoại mà bạn nhập dưới đây:

Số điện thoại chưa đúng định dạng!
Số điện thoại này đã được xác thực!
Bạn có thể dùng Sđt này đăng nhập tại đây!
Lỗi gửi SMS, liên hệ Admin
Sắp xếp theo