Cho biết:
hằng số Plăng h = 6,625.10-34 J.s; tốc độ ánh sáng trong chân không c = 3.108 m/s;
độ lớn điện tích nguyên tố e = 1,6.10-19C, đơn vị khối lượng nguyên tử 1u = 931,5MeV/c2
Câu 1:
Trong hệ sóng dừng trên một sợi dây mà hai đầu được giữ cố định. Bước sóng bằng:
Câu 2:
Phát biểu nào sau đây là sai khi nói về năng lượng dao động điện từ tự do trong mạch dao động LC?
Câu 3:
Nguyên tắc thu sóng điện từ dựa vào:
Câu 4:
Để kiểm tra hành lí của hành khách đi máy bay, người ta sử dụng loại tia nào sau đây?
Câu 5:
Thực hiện thí nghiệm I-âng về giao thoa với ánh sáng đơn sắc màu lam ta quan sát được hệ vân giao thoa trên màn. Nếu thay ánh sáng đơn sắc màu lam bằng ánh sáng đơn sắc màu vàng và các điều kiện khác của thí nghiệm được giữ nguyên thì:
Câu 6:
Điện năng ở một trạm điện được truyền đi dưới hiệu điện thế 2kV, hiệu suất trong quá trình truyền tải là H1 = 80%. Muốn hiệu suất trong quá trình truyền tải tăng đến H2 = 95% thì ta phải:
Câu 7:
Dao động tổng hợp của hai dao động điều hoà cùng phương, cùng tần số có phương trình x = 3cos(πt - 5π/6) cm. Biết dao động thứ nhất có phương trình li độ x1 = 5 cos(πt + π/6) cm. Dao động thứ hai có phương trình:
Câu 8:
Một kim loại có công thoát êlectron là 7,2.10-19 J. Chiếu lần lượt vào kim loại này các bức xạ có bước sóng λ1 = 0,18 μm, λ2 = 0,21 μm, λ3 = 0,32 μm và λ = 0,35 μm. Những bức xạ có thể gây ra hiện tượng quang điện ở kim loại này có bước sóng là:
Câu 9:
Một khung dây dẫn phẳng dẹt hình chữ nhật có 500 vòng dây, diện tích mỗi vòng 54 cm2. Khung dây quay đều quanh một trục đối xứng (thuộc mặt phẳng của khung), trong từ trường đều có vectơ cảm ứng từ vuông góc với trục quay và có độ lớn 0,2 T. Từ thông cực đại qua khung dây là:
Câu 10:
Cho lăng kính có góc chiết quang A đặt trong không khí. Chiếu chùm tia sáng đơn sắc màu lục theo phương vuông góc với mặt bên thứ nhất thì tia ló ra khỏi lăng kính nằm sát mặt bên thứ hai. Nếu chiếu đồng thời 4 ánh sáng đơn sắc màu cam, chàm, tím, đỏ theo phương như trên thì có số tia ló ra khỏi mặt bên thứ hai là:
Câu 11: Kim loại làm catốt của một tế bào quang điện có giới hạn quang điện λ0. Lần lượt chiếu tới bề mặt catốt hai bức xạ có bước sóng λ1 = 0, 4 m và λ2 = 0,5 m thì vận tốc ban đầu cực đại của electron bắn ra khỏi bề mặt catốt khác nhau 2 lần. Giá trị của λo là:
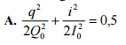
Câu 12: Trong mạch dao động tự do LC, mối liên hệ giữa q, Qo, i và Io là
Câu 13: Hạt nhân 146C phóng xạ β – . Hạt nhân con sinh ra có:
Câu 14: Vật có khối lượng m treo vào lò xo có độ cứng k . Kích thích cho vật dao động điều hoà với biên độ 3 cm, thì chu kì dao động của nó là T = 0,3 s. Nếu kích thích cho vật dao động với biên độ bằng 6 cm thì chu kì biến thiên của động năng là:
Câu 15: Phát biểu nào sau đây là đúng khi nói về quang phổ?
Câu 16: Năng lượng điện từ trong mạch dao động LC được tính theo công thức:
Câu 17: Một máy biến áp lí tưởng có tỉ số vòng dây cuộn sơ cấp và thứ cấp là 2:3. Cuộn thứ cấp nối với tải tiêu thụ là mạch điện xoay chiều gồm điện trở thuần R = 60Ω, tụ điện có điện dung

cuộn dây thuần cảm có độ tự cảm

, cuộn sơ cấp nối với điện áp xoay chiều có giá trị hiệu dụng 120V và tần số 50Hz. Công suất toả nhiệt trên tải tiêu thụ là:
Câu 18: Dung kháng của tụ điện tăng lên khi:
Câu 19: Con lắc đơn gồm sợi dây không giãn, mảnh, dài l = 1m gắn với vật nhỏ có khối lượng m = 50 g mang điện tích q = -2.10-5 C, g = 9,86 m/s2. Đặt con lắc vào vùng điện trường có véctơ E thẳng đứng hướng xuống, cường độ E = 25 V/cm. Chu kì con lắc lúc này là:
Câu 20: Một đoạn mạch gồm cuộn dây nối tiếp với tụ điện rồi mắc vào điện áp tức thời u = 150√2cos100πt(V). Biết điện áp hiệu dụng hai đầu cuộn dây là URL = 200V và hai đầu tụ điện là UC = 250 V. Hệ số công suất của mạch là:
Câu 21: Đoạn mạch gồm cuộn dây có lõi sắt và một bóng đèn có điện trở thuần R mắc nối tiếp vào một điện áp xoay chiều. Đèn đang sáng bình thường, nếu rút dần lõi sắt ra khỏi ống dây thì độ sáng của đèn:
Câu 22: Tại một điểm, đại lượng đo bằng lượng năng lượng mà sóng âm truyền qua một đơn vị diện tích đặt tại điểm đó, vuông góc với phương truyền sóng trong một đơn vị thời gian là:
Câu 23: Cho các nhận định về quá trình dao động điều hòa của con lắc đơn.
1. Khi quả nặng ở vị trí biên, lực căng dây treo có độ lớn nhỏ hơn trọng lượng của vật.
2. Độ lớn của lực căng dây treo con lắc luôn lớn hơn trọng lượng vật.
3. Chu kỳ dao động của con lắc không phụ thuộc vào biên độ dao động của nó.
4. Khi góc hợp bởi phương dây treo con lắc và phương thẳng đứng giảm, tốc độ của quả nặng sẽ giảm.
Các nhận định sai là:
Câu 24: Phát biểu nào sau đây là sai?
Câu 25: Nếu máy phát điện xoay chiều có p cặp cực, rôto quay với vận tốc n vòng/giây thì tần số dòng điện phát ra là:
Câu 26: Hạt nhân có độ hụt khối càng lớn thì:
Câu 27: Trên một sợi dây đàn hồi dài 1,8 m, hai đầu cố định, đang có sóng dừng với 6 bụng sóng. Biết sóng truyền trên dây có tần số 100 Hz. Tốc độ truyền sóng trên dây là:
Câu 28: Theo thuyết lượng tử ánh sáng, phát biểu nào dưới đây là sai?
Câu 29: Tại điểm O trên mặt nước yên tĩnh, có một nguồn sóng dao động điều hòa theo phương thẳng đứng với chu kì T = 0,5s. Từ O có những gợn sóng tròn lan rộng ra xung quanh. Khoảng cách giữa hai gợn sóng kế tiếp là 2 cm. Tốc độ truyền sóng trên mặt nước là:
Câu 30: Tốc độ và li độ của một chất điểm dao động điều hoà có hệ thức

trong đó x tính bằng cm, v tính bằng cm/s. Tốc độ trung bình của chất điểm trong nửa chu kì là:
Câu 31: Khi êlectron ở quỹ đạo dừng thứ n thì năng lượng En của nguyên tử hiđrô thoả mãn hệ thức n2En = − 13,6 eV (với n = 1, 2, 3,…). Để chuyển êlectron lên quỹ đạo O thì nguyên tử hiđrô ở trạng thái kích thích thứ 2 phải hấp thụ phôtôn mang năng lượng:
Câu 32: Một chất điểm dao động điều hoà có phương trình x = 5cos(5πt + π/4) (cm,s). Dao động này có:
Câu 33: Một vật dao động điều hoà với phương trình gia tốc a = 40π2cos(2πt + π/2 ) cm/s2. Phương trình dao động của vật là:
Câu 34: Trong thí nghiệm I âng về giao thoa ánh sáng, hai khe được chiếu bằng ánh sáng có bước sóng λ = 0,5μm, biết S1S2 = a = 0,5 mm, khoảng cách từ mặt phẳng chứa hai khe đến màn quan sát là D = 1m. Tại vị trí M cách vân trung tâm một khoảng x = 3,5mm, có vân sáng hay vân tối, bậc mấy?
Câu 35: Một dòng điện xoay chiều có biểu thức i = 5cos100 πt A chạy qua điện trở thuần bằng 10 Ω. Công suất toả nhiệt trên điện trở đó là:
Câu 36: Hiện tượng cộng hưởng thể hiện rõ rệt nhất khi:
Câu 37: Trong thí nghiệm I âng về giao thoa ánh sáng, khoảng cách giữa hai khe a = 2mm, khoảng cách từ hai khe đến màn ảnh D = 2m. Nguồn S phát ánh sáng trắng có bước sóng từ 0,38μm đến 0,76μm. Vùng phủ nhau giữa quang phổ bậc ba và bậc bốn có bề rộng là:
Câu 38: Một nguồn âm O có công suất Po = 0,6 W phát âm đẳng hướng, môi trường không hấp thụ âm. Cường độ âm tại điểm A cách nguồn 3 m là:
Câu 39: Tia nào sau đây có bản chất khác với các tia còn lại?
Câu 40: Một vật dao động điều hòa có độ lớn vận tốc cực đại là 31,4 dm/s. Lấy π = 3,14. Tốc độ trung bình của vật trong một chu kì dao động là:
Câu 41: Hai nguồn sóng kết hợp A, B trên mặt thoáng chất lỏng cách nhau 10 cm , dao động theo phương trình uA = 5cos(40πt) mm và uB= 5cos(40πt + π) mm. Coi biên độ sóng không đổi, tốc độ sóng v = 40cm/s . Số điểm có biên độ dao động bằng 5 mm trên đoạn AB là:
Câu 42: Một ăng ten ra đa phát ra sóng điện từ đến một máy bay đang bay về phía ra đa. Thời gian từ lúc ăng ten phát sóng đến lúc nhận sóng phản xạ trở lại là 90µs. Ăng ten quay với tần số góc n = 18vòng/phút. Ở vị trí của đầu vòng quay tiếp theo ứng với hướng của máy bay ăng ten lại phát sóng điện từ. Thời gian từ lúc phát đến lúc nhận lần này là 84µm. Tốc trung bình của máy bay là:
Câu 43: Một tụ điện không khí gồm có tất cả 21 bản hình tròn bán kính R = 2 cm, đặt song song đối diện đan xen nhau như hình vẽ.

Khoảng cách giữa hai tấm liên tiếp là d = 1mm. Mắc hai đầu tụ xoay với cuộn cảm L = 8.10
-6 H. Khung dao động này có thể bắt được sóng điện từ có bước sóng là:
Câu 44: Một con lắc lò xo nhẹ có độ cứng k = 10 N/m vật nhỏ có khối lượng m = 300 g đặt trên sàn nằm ngang. Đặt lên vật m một vật nhỏ có khối lượng Δm = 100 g, hệ số ma sát trượt giữa hai vật µ = 0,1. Cho hệ dao động điều hòa với biên độ 3 cm, lấy 10 m/s2. Khi hệ cách vị trí cân bằng 2 cm, thì độ lớn lực ma sát tác dụng lên Δm bằng:
Câu 45: Cho mạch điện như hình vẽ. C là tụ xoay còn L là cuộn dây thuần cảm. Điện áp giữa hai đầu đoạn mạch có giá trị hiệu dụng và tần số không đổi, V
1 và V
2 là các vôn kế lí tưởng. Điều chỉnh giá trị của C để số chỉ của V
1 cực đại là U
1, khi đó số chỉ của V
2 là 0,5U
1. Khi số chỉ của V
2 cực đại là U
2, thì số chỉ của V
1 lúc đó là:
Câu 46: Catôt của một tế bào quang điện có giới hạn quang điện 0,6 μm. Đặt vào anôt và catôt của tế bào quang điện điện áp một chiều UAK = -5 V. Anôt và catôt có dạng bản phẳng, song song, cách nhau 4 cm. Chiếu vào catôt ánh sáng có bước sóng 0,4 μm. Các electron quang điện bật ra từ catôt tiến đến anôt, cách anôt một khoảng gần nhất là:
Câu 47: Một sóng cơ lan truyền trên sợi dây từ C đến B với chu kì T = 2 s, biên độ không đổi. Ở thời điểm to, ly độ các phần tử tại B và C tương ứng là - 20 mm và + 20 mm; các phần tử tại trung điểm D của BC đang ở vị trí cân bằng. Ở thời điểm t1, li độ các phần tử tại B và C cùng là +8 mm. Tại thời điểm t2 = t1 + 0,4 s li độ của phần tử D có li độ gần nhất với giá trị nào sau đây?
Câu 48: Cho phản ứng hạt nhân

. Hạt nhân
63Li đứng yên, nơtron có động năng K
n = 2 MeV. Hạt α và hạt nhân
31H bay ra theo các hướng hợp với hướng tới của nơtron những góc tương ứng bằng θ = 15
o và φ = 30
o. Lấy tỉ số giữa các khối lượng hạt nhân bằng tỉ số giữa các số khối của chúng. Bỏ qua bức xạ gamma. Hỏi phản ứng tỏa hay thu bao nhiêu năng lượng?
Câu 49: Đặt một điện áp u =150√2 cosωt V(ω không đổi) vào đoạn mạch AB nối tiếp. Giữa hai điểm AM là một biến trở R, giữa MN là cuộn dây có r và giữa NB là tụ điện C. Khi R = 75Ω thì đồng thời có biến trở R tiêu thụ công suất cực đại và thêm bất kỳ tụ điện C’ nào vào đoạn NB dù nối tiếp hay song song với tụ điện C vẫn thấy UNB giảm. Biết các giá trị r, ZL, ZC và tổng trở Z là các số nguyên. Công suất tiêu thụ trên cuộn dây là:
Câu 50: Đoạn mạch xoay chiều với điện áp hai đầu đoạn mạch ổn định, có RLC (L thuần cảm) mắc nối tiếp. Biết điện áp hai đầu đoạn mạch lệch pha là φ so với cường độ dòng điện qua mạch. Ở thời điểm t, điện áp tức thời ở hai đầu đoạn mạch chứa LC là uLC và điện áp tức thời hai đầu điện trở R là uR. Biểu thức điện áp cực đại hai đầu điện trở R là: