Giao diện mới của VnDoc Pro: Dễ sử dụng hơn - chỉ tập trung vào lớp bạn quan tâm. Vui lòng chọn lớp mà bạn quan tâm: Lưu và trải nghiệm
Đóng
Điểm danh hàng ngày
  • Hôm nay +3
  • Ngày 2 +3
  • Ngày 3 +3
  • Ngày 4 +3
  • Ngày 5 +3
  • Ngày 6 +3
  • Ngày 7 +5
Bạn đã điểm danh Hôm nay và nhận 3 điểm!
Nhắn tin Zalo VNDOC để nhận tư vấn mua gói Thành viên hoặc tải tài liệu Hotline hỗ trợ: 0936 120 169

Đề thi thử THPT Quốc gia năm 2017 môn Sinh học trường THPT Yên Lạc, Vĩnh Phúc (Lần 1) - Đề 2

Đóng
Bạn đã dùng hết 1 lần làm bài Trắc nghiệm miễn phí. Mời bạn mua tài khoản VnDoc PRO để tiếp tục! Tìm hiểu thêm
Mô tả thêm:

Đề thi thử THPT Quốc gia năm 2017 môn Sinh học

Đề thi thử THPT Quốc gia năm 2017 môn Sinh học trường THPT Yên Lạc, Vĩnh Phúc (Lần 1) - Đề 2 là đề thi được ra theo cấu trúc thi THPT Quốc gia 2017 của Bộ Giáo dục và Đào tạo được VnDoc sưu tầm và giới thiệu tới các bạn bài trắc nghiệm này giúp các bạn tự luyện tập và củng cố kiến thức hiệu quả.

Đề thi thử THPT Quốc gia năm 2017 môn Vật lý trường THPT Trần Hưng Đạo, TP. Hồ Chí Minh

Đề thi thử THPT Quốc gia năm 2017 môn Sinh học trường THPT Yên Lạc, Vĩnh Phúc (Lần 1) - Đề 1

  • Số câu hỏi: 20 câu
  • Số điểm tối đa: 20 điểm
Bắt đầu làm bài
Bạn còn 1 lượt làm bài tập miễn phí. Hãy mua tài khoản VnDoc PRO để học không giới hạn nhé! Bạn đã HẾT lượt làm bài tập miễn phí! Hãy mua tài khoản VnDoc PRO để làm Trắc nghiệm không giới hạn và tải tài liệu nhanh nhé!
Mua ngay Đổi điểm
Trước khi làm bài bạn hãy
  • 1 Ôn tập kiến thức đã nêu trong phần Mô tả thêm
  • 2 Tìm không gian và thiết bị phù hợp để tập trung làm bài
  • 3 Chuẩn bị sẵn dụng cụ cần dùng khi làm bài như bút, nháp, máy tính
  • 4 Căn chỉnh thời gian làm từng câu một cách hợp lý
  • Câu 1: Nhận biết

    Câu 1:

    Người đàn ông mắc bệnh di truyền cưới một người phụ nữ bình thường, họ sinh được 4 trai: 4 gái. Tất cả con gái của họ đều mắc bệnh giống như bố, tất cả con trai đều không mắc bệnh. Giải thích nào sau đây đúng?

  • Câu 2: Nhận biết

    Câu 2:

    Nguyên nhân phát sinh đột biến cấu trúc nhiễm sắc thể là do tác động của:

  • Câu 3: Nhận biết

    Câu 3:

    Giới tính người mắc hội chứng Tơcnơ và bộ NST tương ứng của người đó lần lượt là:

  • Câu 4: Nhận biết

    Câu 4:

    Tính thoái hóa mã di truyền thể hiện qua đặc điểm nào sau đây?

  • Câu 5: Nhận biết

    Câu 5:

    Sinh vật có ARN đóng vai trò vật chất di truyền là:

  • Câu 6: Nhận biết

    Câu 6:

    Ribôxôm dịch chuyển trên mARN như thế nào?

  • Câu 7: Nhận biết

    Câu 7:

    Phát biểu nào là không đúng khi nói về liên kết gen?

  • Câu 8: Nhận biết

    Câu 8:

    Trong quá trình dịch mã, phân tử nào sau đây đóng vai trò như “người phiên dịch”?

  • Câu 9: Nhận biết

    Câu 9:

    Tính trạng màu da ở người di truyền theo cơ chế nào sau đây?

  • Câu 10: Nhận biết

    Câu 10:

    Một loài thực vật màu sắc hoa do 2 cặp gen không alen (Aa, Bb) qui định. Nếu có cả 2 gen A và B trong cùng một kiểu gen cho màu hoa đỏ, các kiểu gen khác cho màu hoa trắng. Lai phân tích cá thể có 2 cặp gen dị hợp (AaBb) thì kết quả phân tính ở Fb là:

  • Câu 11: Nhận biết

    Câu 11:

    Bộ ba đối mã (anticôđon) của tARN vận chuyển axit amin mêtiônin là

  • Câu 12: Nhận biết

    Câu 12:

    Vì sao tần số hoán vị gen luôn f ≤ 50%?

  • Câu 13: Nhận biết

    Câu 13:

    Khi nói về quá trình nhân đôi ADN (tái bản ADN) ở tế bào nhân thực, phát biểu nào sau đây không đúng?

  • Câu 14: Nhận biết

    Câu 14:

    Nếu kết quả của phép lai thuận và nghịch khác nhau ở 2 giới, tính trạng lặn xuất hiện chủ yếu ở giới XY (loài có kiểu NST giới tính XX; XY). Kết luận nào dưới đây là đúng?

  • Câu 15: Nhận biết

    Câu 15:

    Có hai giống lúa, một giống có gen quy định khả năng kháng bệnh X, một giống có gen quy định khả năng kháng bệnh Y các gen này nằm trên các NST tương đồng khác nhau. Bằng phương pháp gây đột biến, người ta có thể tạo ra giống lúa mới có hai gen kháng bệnh X và Y luôn di truyền cùng nhau. Dạng đột biến cấu trúc NST được sử dụng để tạo ra giống lúa mới trên là đột biến:

  • Câu 16: Nhận biết

    Câu 16:

    Câu nào sau đây đúng?

  • Câu 17: Nhận biết

    Câu 17:

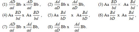
    Ở một loài thực vật, khi cho cây hoa đỏ, thân cao giao phấn với cây hoa trắng, thân thấp mang kiểu gen đồng hợp lặn, ở F1 thu được tỉ lệ kiểu hình: 2 hoa đỏ, thân cao : 1 hoa đỏ, thân thấp : 1 hoa trắng, thân thấp . Cho F1 giao phấn với cây khác, thu được F2 có tỉ lệ kiểu hình: 50% hoa đỏ, thân cao : 43,75% hoa đỏ, thân thấp : 6,25% hoa trắng, thân thấp. Những phép lai nào sau đây của F1 với cây khác có thể phù hợp với kết quả trên? Biết rằng tính trạng chiều cao cây do một gen có hai alen D và d qui định. 
    Đề thi thử THPTQG môn Sinh học

  • Câu 18: Nhận biết

    Câu 18:

    Điểm nào có ở đột biến nhiễm sắc thể và không có ở đột biến gen?

  • Câu 19: Nhận biết

    Câu 19:

    Cho các phát biểu về quá trình phiên mã ở sinh vật nhân sơ sau đây:

    (1). Enzim ARN polimeraza trượt trên mạch gốc theo chiều 3’-5’.

    (2). Quá trình phiên mã kết thúc thì hai mạch của gen sẽ đóng xoắn trở lại.

    (3). Các Ribonu tự do liên kết với các nulêôtit trên mạch gốc của gen theo nguyên tắc bổ sung.

    (4). Enzim ARN polimeraza có vai trò xúc tác quá trình tổng hợp mARN.

    (5). Phân tử mARN được tổng hợp theo chiều 5’-3’.

    (6). Enzim ARN polimeraza có thể bám vào bất kì vùng nào trên gen để thực hiện quá trình phiên mã.

    (7). Enzim ADN polimeraza cũng tham gia xúc tác cho quá trình phiên mã.

     (8). Khi Enzim ARN polimeraza di chuyển đến cuối gen gặp bộ ba kết thúc thì quá trình phiên mã dừng lại.

    Trong các phát biểu trên có mấy phát biểu không đúng?

  • Câu 20: Nhận biết

    Câu 20:

    Song nhị bội là gì?

Chúc mừng Bạn đã hoàn thành bài!

Đề thi thử THPT Quốc gia năm 2017 môn Sinh học trường THPT Yên Lạc, Vĩnh Phúc (Lần 1) - Đề 2 Kết quả
  • Thời gian làm bài: 00:00:00
  • Số câu đã làm: 0
  • Điểm tạm tính: 0
  • Điểm thưởng: 0

Đấu trường Đề thi thử THPT Quốc gia năm 2017 môn Sinh học trường THPT Yên Lạc, Vĩnh Phúc (Lần 1) - Đề 2

Đang tìm đối thủ...

Đang tải...

Xác thực tài khoản!

Theo Nghị định 147/2024/ND-CP, bạn cần xác thực tài khoản trước khi sử dụng tính năng này. Chúng tôi sẽ gửi mã xác thực qua SMS hoặc Zalo tới số điện thoại mà bạn nhập dưới đây:

Số điện thoại chưa đúng định dạng!
Số điện thoại này đã được xác thực!
Bạn có thể dùng Sđt này đăng nhập tại đây!
Lỗi gửi SMS, liên hệ Admin
Sắp xếp theo