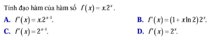
Câu 1:
D
D
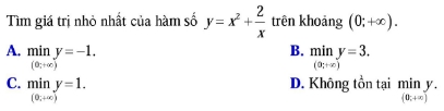
Đáp án là:
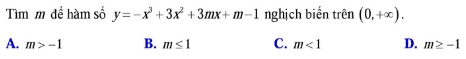
Câu 1:
D
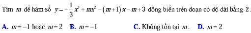
D














































