Giao diện mới của VnDoc Pro: Dễ sử dụng hơn - chỉ tập trung vào lớp bạn quan tâm. Vui lòng chọn lớp mà bạn quan tâm: Lưu và trải nghiệm
Đóng
Điểm danh hàng ngày
  • Hôm nay +3
  • Ngày 2 +3
  • Ngày 3 +3
  • Ngày 4 +3
  • Ngày 5 +3
  • Ngày 6 +3
  • Ngày 7 +5
Bạn đã điểm danh Hôm nay và nhận 3 điểm!
Nhắn tin Zalo VNDOC để nhận tư vấn mua gói Thành viên hoặc tải tài liệu Hotline hỗ trợ: 0936 120 169

Đề thi Violympic Toán lớp 10 vòng 1 năm 2015-2016

Đóng
Bạn đã dùng hết 1 lần làm bài Trắc nghiệm miễn phí. Mời bạn mua tài khoản VnDoc PRO để tiếp tục! Tìm hiểu thêm
Mô tả thêm:

Đề thi Violympic Toán lớp 10 vòng 1 năm 2015-2016

Bạn đã sẵn sàng cho Cuộc thi giải Toán trên mạng - Violympic năm 2015-2016 chưa? Tham gia làm bài test Đề thi Violympic Toán lớp 10 vòng 1 năm 2015-2016 trên trang VnDoc.com để thử sức mình với vòng thi đầu tiên của cuộc thi này nhé! Bài test có kèm theo đáp án ở cuối bài giúp các bạn dễ dàng kiểm tra và đối chiếu kết quả sau khi hoàn thành bài test. Chúc các bạn thi tốt! 

  • Thời gian làm: 50 phút
  • Số câu hỏi: 18 câu
  • Số điểm tối đa: 18 điểm
Bắt đầu làm bài
Bạn còn 1 lượt làm bài tập miễn phí. Hãy mua tài khoản VnDoc PRO để học không giới hạn nhé! Bạn đã HẾT lượt làm bài tập miễn phí! Hãy mua tài khoản VnDoc PRO để làm Trắc nghiệm không giới hạn và tải tài liệu nhanh nhé!
Mua ngay Đổi điểm
Trước khi làm bài bạn hãy
  • 1 Ôn tập kiến thức đã nêu trong phần Mô tả thêm
  • 2 Tìm không gian và thiết bị phù hợp để tập trung làm bài
  • 3 Chuẩn bị sẵn dụng cụ cần dùng khi làm bài như bút, nháp, máy tính
  • 4 Căn chỉnh thời gian làm từng câu một cách hợp lý
  • Câu 1: Nhận biết
    Bài 1: Đi tìm kho báu Câu 1.1:
    Cho tam giác ABC vuông tại A, đường cao AH. Biết BH = 9cm, CH = 16cm. 
    Độ dài cạnh AB là: ............. cm.15
    Đáp án là:
    Bài 1: Đi tìm kho báu Câu 1.1:
    Cho tam giác ABC vuông tại A, đường cao AH. Biết BH = 9cm, CH = 16cm. 
    Độ dài cạnh AB là: ............. cm.15
  • Câu 2: Nhận biết
    Câu 1.2: Cho biểu thức:   
    Giá trị của biểu thức B= ..............5
    Đáp án là:
    Câu 1.2: Cho biểu thức:   
    Giá trị của biểu thức B= ..............5
  • Câu 3: Nhận biết
    Câu 1.3: Số nghiệm của phương trình 2(x - 3) + 1 = 2(x + 1) - 9 là: .................0
    Đáp án là:
    Câu 1.3: Số nghiệm của phương trình 2(x - 3) + 1 = 2(x + 1) - 9 là: .................0
  • Câu 4: Nhận biết
    Câu 1.4: Nghiệm của phương trình:  là: x = ............4
    Đáp án là:
    Câu 1.4: Nghiệm của phương trình:  là: x = ............4
  • Câu 5: Nhận biết
    Câu 1.5: Cho biểu thức P = -x+ 3x + 3.
    Giá trị của x để biểu thức đạt giá trị lớn nhất là: .............-3/2
    Nhập kết quả dưới dạng phân số tối giản.
    Đáp án là:
    Câu 1.5: Cho biểu thức P = -x+ 3x + 3.
    Giá trị của x để biểu thức đạt giá trị lớn nhất là: .............-3/2
  • Câu 6: Nhận biết

    Bài 2: Cóc vàng tài ba

    Câu 2.1: 
    Cho phương trình: x- 2mx + m- 1 = 0
    Giá trị m để phương trình có 2 nghiệm x1, xmà x12 + x2= 20 là:
  • Câu 7: Nhận biết

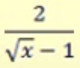
    Câu 2.2:

     xác định khi:
  • Câu 8: Nhận biết

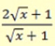
    Câu 2.3:

    Rút gọn biểu thức:  (với x ≥ 0; x ≠ 1)
  • Câu 9: Nhận biết

    Câu 2.4:

    Trong các hàm số sau, hàm số nào là hàm số nghịch biến:
  • Câu 10: Nhận biết

    Câu 2.5:

    Trong các hàm số sau, hàm số nào đồng biến:
  • Câu 11: Nhận biết

    Câu 2.6:

    Điều kiện xác định của biểu thức:  là:
  • Câu 12: Nhận biết

    Câu 2.7:

    Cho hình trụ có bán kính đáy là R, chiều cao là h.
    Diện tích xung quanh hình trụ là:
  • Câu 13: Nhận biết

    Câu 2.8:

    Cho hình nón có độ dài đường cao là h, bán kính đáy là R.
    Thể tích hình nón là:
  • Câu 14: Nhận biết
    Bài 3: Hãy điền số thích hợp vào chỗ trống. Câu 3.1:
    Cho tam giác ABC vuông tại A, AB = 30cm, tanB = 8/15. Độ dài cạnh BC là: .............. cm.34
    Đáp án là:
    Bài 3: Hãy điền số thích hợp vào chỗ trống. Câu 3.1:
    Cho tam giác ABC vuông tại A, AB = 30cm, tanB = 8/15. Độ dài cạnh BC là: .............. cm.34
  • Câu 15: Nhận biết
    Câu 3.2: Cho tam giác ABC vuông tại A, AB = 30cm, tanB = 8/15. Độ dài cạnh AC là ............. cm.16
    Đáp án là:
    Câu 3.2: Cho tam giác ABC vuông tại A, AB = 30cm, tanB = 8/15. Độ dài cạnh AC là ............. cm.16
  • Câu 16: Nhận biết
    Câu 3.3: Cho tam giác ABC vuông tại A, AB = 30cm, tanB = 8/15. Giá trị cosB là: .............0,88
    Tính chính xác đến hai chữ số thập phân
    Đáp án là:
    Câu 3.3: Cho tam giác ABC vuông tại A, AB = 30cm, tanB = 8/15. Giá trị cosB là: .............0,88
  • Câu 17: Nhận biết
    Câu 3.4: Tìm số có hai chữ số, biết rằng tổng các chữ số của nó bằng 6 và đổi hai chữ số của nó thì được một số nhỏ hơn số ban đầu 18 đơn vị. Số cần tìm là: ...............42
    Đáp án là:
    Câu 3.4: Tìm số có hai chữ số, biết rằng tổng các chữ số của nó bằng 6 và đổi hai chữ số của nó thì được một số nhỏ hơn số ban đầu 18 đơn vị. Số cần tìm là: ...............42
  • Câu 18: Nhận biết
    Câu 3.5: Một mảnh đất hình chữ nhật có chiều dài lớn hơn chiều rộng 5m. Nếu giảm chiều rộng đi 4m và giảm chiều dài đi 5m thì diện tích mảnh đất giảm đi 180m2. Tính chiều dài của mảnh đất.
    Trả lời:
    Chiều dài của mảnh đất là: .............. m.25
    Đáp án là:
    Câu 3.5: Một mảnh đất hình chữ nhật có chiều dài lớn hơn chiều rộng 5m. Nếu giảm chiều rộng đi 4m và giảm chiều dài đi 5m thì diện tích mảnh đất giảm đi 180m2. Tính chiều dài của mảnh đất.
    Trả lời:
    Chiều dài của mảnh đất là: .............. m.25

Chúc mừng Bạn đã hoàn thành bài!

Đề thi Violympic Toán lớp 10 vòng 1 năm 2015-2016 Kết quả
  • Thời gian làm bài: 00:00:00
  • Số câu đã làm: 0
  • Điểm tạm tính: 0
  • Điểm thưởng: 0

Đấu trường Đề thi Violympic Toán lớp 10 vòng 1 năm 2015-2016

Đang tìm đối thủ...

Đang tải...

Xác thực tài khoản!

Theo Nghị định 147/2024/ND-CP, bạn cần xác thực tài khoản trước khi sử dụng tính năng này. Chúng tôi sẽ gửi mã xác thực qua SMS hoặc Zalo tới số điện thoại mà bạn nhập dưới đây:

Số điện thoại chưa đúng định dạng!
Số điện thoại này đã được xác thực!
Bạn có thể dùng Sđt này đăng nhập tại đây!
Lỗi gửi SMS, liên hệ Admin
Sắp xếp theo