Giao diện mới của VnDoc Pro: Dễ sử dụng hơn - chỉ tập trung vào lớp bạn quan tâm. Vui lòng chọn lớp mà bạn quan tâm: Lưu và trải nghiệm
Đóng
Điểm danh hàng ngày
  • Hôm nay +3
  • Ngày 2 +3
  • Ngày 3 +3
  • Ngày 4 +3
  • Ngày 5 +3
  • Ngày 6 +3
  • Ngày 7 +5
Bạn đã điểm danh Hôm nay và nhận 3 điểm!
Nhắn tin Zalo VNDOC để nhận tư vấn mua gói Thành viên hoặc tải tài liệu Hotline hỗ trợ: 0936 120 169

Đề thi Violympic Toán lớp 4 vòng 16 năm 2014 - 2015

Đóng
Bạn đã dùng hết 1 lần làm bài Trắc nghiệm miễn phí. Mời bạn mua tài khoản VnDoc PRO để tiếp tục! Tìm hiểu thêm
Mô tả thêm:

Đề thi giải Toán trên mạng lớp 4 có đáp án

Mời quý thầy cô và các em học sinh lớp 4 tham khảo bài test Đề thi Violympic Toán lớp 4 vòng 16 năm 2014 - 2015 trên trang VnDoc.com. Bài test sẽ giúp bạn làm quen với các dạng câu hỏi trong đề thi, đồng thời nâng cao khả năng giải đề và củng cố kiến thức, chuẩn bị cho vòng thi tiếp theo của Cuộc thi giải Toán qua mạng năm 2015 - 2016.

Đã có: Đề thi Violympic Toán lớp 4 vòng 16 năm 2015 - 2016. Mời các bạn tham gia làm bài test online.

  • Thời gian làm: 60 phút
  • Số câu hỏi: 25 câu
  • Số điểm tối đa: 25 điểm
Bắt đầu làm bài
Bạn còn 1 lượt làm bài tập miễn phí. Hãy mua tài khoản VnDoc PRO để học không giới hạn nhé! Bạn đã HẾT lượt làm bài tập miễn phí! Hãy mua tài khoản VnDoc PRO để làm Trắc nghiệm không giới hạn và tải tài liệu nhanh nhé!
Mua ngay Đổi điểm
Trước khi làm bài bạn hãy
  • 1 Ôn tập kiến thức đã nêu trong phần Mô tả thêm
  • 2 Tìm không gian và thiết bị phù hợp để tập trung làm bài
  • 3 Chuẩn bị sẵn dụng cụ cần dùng khi làm bài như bút, nháp, máy tính
  • 4 Căn chỉnh thời gian làm từng câu một cách hợp lý
  • Câu 1: Nhận biết
    Bài 1: Hãy điền số thích hợp vào chỗ chấm Câu 1.1:
    Hiệu của số nhỏ nhất có 5 chữ số và số nhỏ nhất có 4 chữ số khác nhau là: ............8977
    Đáp án là:
    Bài 1: Hãy điền số thích hợp vào chỗ chấm Câu 1.1:
    Hiệu của số nhỏ nhất có 5 chữ số và số nhỏ nhất có 4 chữ số khác nhau là: ............8977
  • Câu 2: Nhận biết
    Câu 1.2: Tìm x, biết: 3/5 + x/35 = 5/7
    Trả lời:
    Giá trị của x là: ............4
    Đáp án là:
    Câu 1.2: Tìm x, biết: 3/5 + x/35 = 5/7
    Trả lời:
    Giá trị của x là: ............4
  • Câu 3: Nhận biết
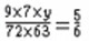
    Câu 1.3: Tìm y biết: 
    Trả lời:
    y = ..........60
    Đáp án là:
    Câu 1.3: Tìm y biết: 
    Trả lời:
    y = ..........60
  • Câu 4: Nhận biết
    Câu 1.4: Hình bên dưới có ........... góc tù.
    5
    Đáp án là:
    Câu 1.4: Hình bên dưới có ........... góc tù.
    5
  • Câu 5: Nhận biết
    Câu 1.5: Quan sát hình vẽ. Cho ABCD là hình chữ nhật. ABEG là hình bình hành. Biết hình chữ nhật có chu vi là 190cm, chiều dài hơn chiều rộng là 25cm.
    Diện tích hình bình hành ABEG là ......... cm2.
    2100
    Đáp án là:
    Câu 1.5: Quan sát hình vẽ. Cho ABCD là hình chữ nhật. ABEG là hình bình hành. Biết hình chữ nhật có chu vi là 190cm, chiều dài hơn chiều rộng là 25cm.
    Diện tích hình bình hành ABEG là ......... cm2.
    2100
  • Câu 6: Nhận biết
    Câu 1.6: Tính:  ............2
    Nhập kết quả là số tự nhiên
    Đáp án là:
    Câu 1.6: Tính:  ............2
  • Câu 7: Nhận biết
    Câu 1.7: Tính:  ..........1
    Nhập kết quả là số tự nhiên.
    Đáp án là:
    Câu 1.7: Tính:  ..........1
  • Câu 8: Nhận biết
    Câu 1.8: Tính 19 x 29 x 39 x ..... x 199 kết quả có chữ số tận cùng là ..............9
    Đáp án là:
    Câu 1.8: Tính 19 x 29 x 39 x ..... x 199 kết quả có chữ số tận cùng là ..............9
  • Câu 9: Nhận biết
    Câu 1.9: Tích sau có tận cùng bằng bao nhiêu chữ số 0?
    1 x 2 x 3 x ..... x 50
    Trả lời:
    Tích trên có tận cùng bằng ............. chữ số 0.12
    Đáp án là:
    Câu 1.9: Tích sau có tận cùng bằng bao nhiêu chữ số 0?
    1 x 2 x 3 x ..... x 50
    Trả lời:
    Tích trên có tận cùng bằng ............. chữ số 0.12

    Ta có: 5 = 1 x 5; 10 = 2 x 5; 15 =  3 x 5; 20 = 4 x 5; 25 = 5 x 5; 30 = 6 x 5; 35 = 7 x 5; 40 = 8 x 5; 45 = 9 x 5 và 50 = 5 x 5 x 2.

    Vậy tích phân có thể phân tích được 12 thừa số 5, mà số thừa số 2 phân tích được cũng nhiều hơn 12 nên có thể phân tích được ra 12 thừa số 10. Do vậy, tích 1 x 2 x 3 x … x 50 có tận cùng là 12 chữ số 0.

  • Câu 10: Nhận biết
    Câu 1.10: Tính tổng của 30 số lẻ liên tiếp từ 123 trở đi.
    Trả lời:
    Tổng của các số đó là ............4560
    Đáp án là:
    Câu 1.10: Tính tổng của 30 số lẻ liên tiếp từ 123 trở đi.
    Trả lời:
    Tổng của các số đó là ............4560
  • Câu 11: Nhận biết
    Bài 2: Đỉnh núi trí tuệ Câu 2.1:
    Rút gọn phân số 306/342 được phân số tối giản là: ...........17/19
    Nhập phân số dưới dạng a/b
    Đáp án là:
    Bài 2: Đỉnh núi trí tuệ Câu 2.1:
    Rút gọn phân số 306/342 được phân số tối giản là: ...........17/19
  • Câu 12: Nhận biết
    Câu 2.2: Tổng của ba số là 600. Tìm số thứ ba, biết số thứ hai hơn số thứ nhất 3 đơn vị nhưng kém số thứ ba 3 đơn vị.
    Trả lời:
    Số thứ ba là ..............203
    Đáp án là:
    Câu 2.2: Tổng của ba số là 600. Tìm số thứ ba, biết số thứ hai hơn số thứ nhất 3 đơn vị nhưng kém số thứ ba 3 đơn vị.
    Trả lời:
    Số thứ ba là ..............203
  • Câu 13: Nhận biết
    Câu 2.3: Số trung bình cộng của các số tròn chục bé hơn 100 là: ...........50
    Đáp án là:
    Câu 2.3: Số trung bình cộng của các số tròn chục bé hơn 100 là: ...........50
  • Câu 14: Nhận biết
    Câu 2.4: Tính: 108 x (47 + 23) - 8 x (27 + 43) = ............7000
    Đáp án là:
    Câu 2.4: Tính: 108 x (47 + 23) - 8 x (27 + 43) = ............7000
  • Câu 15: Nhận biết
    Câu 2.5: Hình bên có ......... đoạn thẳng.
    10
    Đáp án là:
    Câu 2.5: Hình bên có ......... đoạn thẳng.
    10
  • Câu 16: Nhận biết
    Câu 2.6: Hiện nay anh hơn em 6 tuổi. Sau 6 năm nữa, tuổi anh và tuổi em cộng lại bằng 28 tuổi. Tính tuổi mỗi người hiện nay.
    Trả lời:
    Em ......... tuổi.
    Anh ....... tuổi.5; 11
    Nhập tuổi của em, anh lần lượt vào ô đáp án, dùng dấu ";" để ngăn cách.
    Đáp án là:
    Câu 2.6: Hiện nay anh hơn em 6 tuổi. Sau 6 năm nữa, tuổi anh và tuổi em cộng lại bằng 28 tuổi. Tính tuổi mỗi người hiện nay.
    Trả lời:
    Em ......... tuổi.
    Anh ....... tuổi.5; 11
  • Câu 17: Nhận biết
    Câu 2.7: Trong một phép chia một số cho 9 có thương là 123, số dư là số dư lớn nhất có thể có được trong phép chia này. Tìm số bị chia.
    Trả lời:
    Số bị chia là: ..............1115
    Đáp án là:
    Câu 2.7: Trong một phép chia một số cho 9 có thương là 123, số dư là số dư lớn nhất có thể có được trong phép chia này. Tìm số bị chia.
    Trả lời:
    Số bị chia là: ..............1115
    Số dư lớn nhất có thể có trong phép chia là: 8
    Số bị chia là: 123 x 9 + 8 = 1115
  • Câu 18: Nhận biết
    Câu 2.8: Cho các phân số sau: 104/91; 234/208; 105/120; 112/126.
    Phải thêm 9/8 vào phân số nào để được 2?
    Trả lời:
    Thêm vào phân số ..............105/120
    Đáp án là:
    Câu 2.8: Cho các phân số sau: 104/91; 234/208; 105/120; 112/126.
    Phải thêm 9/8 vào phân số nào để được 2?
    Trả lời:
    Thêm vào phân số ..............105/120
  • Câu 19: Nhận biết
    Câu 2.9: Tính tổng các số chẵn có hai chữ số.
    Trả lời:
    Tổng các số chẵn có hai chữ số là: ...........2430
    Đáp án là:
    Câu 2.9: Tính tổng các số chẵn có hai chữ số.
    Trả lời:
    Tổng các số chẵn có hai chữ số là: ...........2430
  • Câu 20: Nhận biết
    Câu 2.10: Tích của hai số là 93318. Tìm hai số đó, biết rằng nếu bớt thừa số thứ hai đi 29 đơn vị và giữ nguyên thừa số thứ nhất thì được tích mới kém tích đã cho là 13137.
    Trả lời:
    Thừa số thứ nhất là: ...........
    Thừa số thứ hai là: ............453; 206
    Nhập các thừa số lần lượt vào ô đáp án, ngăn cách nhau bởi dấu ";"
    Đáp án là:
    Câu 2.10: Tích của hai số là 93318. Tìm hai số đó, biết rằng nếu bớt thừa số thứ hai đi 29 đơn vị và giữ nguyên thừa số thứ nhất thì được tích mới kém tích đã cho là 13137.
    Trả lời:
    Thừa số thứ nhất là: ...........
    Thừa số thứ hai là: ............453; 206
  • Câu 21: Nhận biết
    Bài 3: Đi tìm kho báu Câu 3.1:
    Một tuần có .......... phút.10080
    Đáp án là:
    Bài 3: Đi tìm kho báu Câu 3.1:
    Một tuần có .......... phút.10080
  • Câu 22: Nhận biết
    Câu 3.2: Mỗi đội có 7 xe tải, mỗi xe chở 12 kiện hàng, mỗi kiện có 2 chiếc máy bơm. Hỏi đội xe đó chở tất cả bao nhiêu chiếc máy bơm?
    Trả lời:
    Đội xe đó chở tất cả ......... chiếc máy bơm.168
    Đáp án là:
    Câu 3.2: Mỗi đội có 7 xe tải, mỗi xe chở 12 kiện hàng, mỗi kiện có 2 chiếc máy bơm. Hỏi đội xe đó chở tất cả bao nhiêu chiếc máy bơm?
    Trả lời:
    Đội xe đó chở tất cả ......... chiếc máy bơm.168
  • Câu 23: Nhận biết
    Câu 3.3: Chuyến xe thứ nhất chuyển đi 1/4 số hàng trong kho, chuyến xe thứ hai chuyển đi 1/5 số hàng trong kho. Sau hai chuyến xe, số phần hàng còn lại trong kho là ................11/20
    Nhập kết quả dưới dạng phân số tối giản.
    Đáp án là:
    Câu 3.3: Chuyến xe thứ nhất chuyển đi 1/4 số hàng trong kho, chuyến xe thứ hai chuyển đi 1/5 số hàng trong kho. Sau hai chuyến xe, số phần hàng còn lại trong kho là ................11/20
  • Câu 24: Nhận biết
    Câu 3.4: Trong hai phân số sau 454545/515151 và 650650/910910, phân số lớn hơn là: ................454545/515151
    Đáp án là:
    Câu 3.4: Trong hai phân số sau 454545/515151 và 650650/910910, phân số lớn hơn là: ................454545/515151
  • Câu 25: Nhận biết
    Câu 3.5: Hiệu hai phân số là 27/32. Nếu thêm vào phân số bé 5/24 và giữ nguyên phân số lớn thì được hiệu mới là bao nhiêu?
    Trả lời:
    Hiệu mới là: ................61/96
    Đáp án là:
    Câu 3.5: Hiệu hai phân số là 27/32. Nếu thêm vào phân số bé 5/24 và giữ nguyên phân số lớn thì được hiệu mới là bao nhiêu?
    Trả lời:
    Hiệu mới là: ................61/96

Chúc mừng Bạn đã hoàn thành bài!

Đề thi Violympic Toán lớp 4 vòng 16 năm 2014 - 2015 Kết quả
  • Thời gian làm bài: 00:00:00
  • Số câu đã làm: 0
  • Điểm tạm tính: 0
  • Điểm thưởng: 0

Đấu trường Đề thi Violympic Toán lớp 4 vòng 16 năm 2014 - 2015

Đang tìm đối thủ...

Đang tải...

Xác thực tài khoản!

Theo Nghị định 147/2024/ND-CP, bạn cần xác thực tài khoản trước khi sử dụng tính năng này. Chúng tôi sẽ gửi mã xác thực qua SMS hoặc Zalo tới số điện thoại mà bạn nhập dưới đây:

Số điện thoại chưa đúng định dạng!
Số điện thoại này đã được xác thực!
Bạn có thể dùng Sđt này đăng nhập tại đây!
Lỗi gửi SMS, liên hệ Admin
Sắp xếp theo