Giao diện mới của VnDoc Pro: Dễ sử dụng hơn - chỉ tập trung vào lớp bạn quan tâm. Vui lòng chọn lớp mà bạn quan tâm: Lưu và trải nghiệm
Đóng
Điểm danh hàng ngày
  • Hôm nay +3
  • Ngày 2 +3
  • Ngày 3 +3
  • Ngày 4 +3
  • Ngày 5 +3
  • Ngày 6 +3
  • Ngày 7 +5
Bạn đã điểm danh Hôm nay và nhận 3 điểm!
Nhắn tin Zalo VNDOC để nhận tư vấn mua gói Thành viên hoặc tải tài liệu Hotline hỗ trợ: 0936 120 169

Đề thi Violympic Toán lớp 4 vòng 19 năm 2015 - 2016

Đóng
Bạn đã dùng hết 1 lần làm bài Trắc nghiệm miễn phí. Mời bạn mua tài khoản VnDoc PRO để tiếp tục! Tìm hiểu thêm
Mô tả thêm:

Đề thi giải Toán trên mạng lớp 4

Mời các em học sinh lớp 4 thử sức với vòng thi cuối của Cuộc thi giải Toán qua mạng năm 2015 - 2016 qua bài test Đề thi Violympic Toán lớp 4 vòng 19 năm 2015 - 2016 trên trang VnDoc.com. Vận dụng kiến thức và kĩ năng đã học để hoàn thành bài test một cách nhanh nhất và chính xác nhất nhé! Chúc các em thi tốt!

  • Thời gian làm: 60 phút
  • Số câu hỏi: 25 câu
  • Số điểm tối đa: 25 điểm
Bắt đầu làm bài
Bạn còn 1 lượt làm bài tập miễn phí. Hãy mua tài khoản VnDoc PRO để học không giới hạn nhé! Bạn đã HẾT lượt làm bài tập miễn phí! Hãy mua tài khoản VnDoc PRO để làm Trắc nghiệm không giới hạn và tải tài liệu nhanh nhé!
Mua ngay Đổi điểm
Trước khi làm bài bạn hãy
  • 1 Ôn tập kiến thức đã nêu trong phần Mô tả thêm
  • 2 Tìm không gian và thiết bị phù hợp để tập trung làm bài
  • 3 Chuẩn bị sẵn dụng cụ cần dùng khi làm bài như bút, nháp, máy tính
  • 4 Căn chỉnh thời gian làm từng câu một cách hợp lý
  • Câu 1: Nhận biết
    Bài 1: Đỉnh núi trí tuệ Câu 1:
    Một sân chơi hình chữ nhật, có chiều dài 48m, chiều rộng bằng 5/8 chiều dài.
    Diện tích của sân chơi là ........m2.1440
    Đáp án là:
    Bài 1: Đỉnh núi trí tuệ Câu 1:
    Một sân chơi hình chữ nhật, có chiều dài 48m, chiều rộng bằng 5/8 chiều dài.
    Diện tích của sân chơi là ........m2.1440
  • Câu 2: Nhận biết
    Câu 2:

    Tìm một phân số biết tổng của tử số và mẫu số bằng 186 và biết mẫu số lớn hơn tử số 34 đơn vị.
    Trả lời:
    Phân số đó là: ..................

    76/110
    Đáp án là:
    Câu 2:

    Tìm một phân số biết tổng của tử số và mẫu số bằng 186 và biết mẫu số lớn hơn tử số 34 đơn vị.
    Trả lời:
    Phân số đó là: ..................

    76/110
  • Câu 3: Nhận biết
    Câu 3:

    Tìm x biết: x/42 = 156/504
    Trả lời: x = ...........

    13
    Đáp án là:
    Câu 3:

    Tìm x biết: x/42 = 156/504
    Trả lời: x = ...........

    13
  • Câu 4: Nhận biết
    Câu 4:

    Tính: Đề thi violympic toán lớp 4 vòng 19
    Trả lời: A = .............

    1
    Đáp án là:
    Câu 4:

    Tính: Đề thi violympic toán lớp 4 vòng 19
    Trả lời: A = .............

    1
  • Câu 5: Nhận biết
    Câu 5:

    Một ô tô chạy trong giờ đầu được 1/3 quãng đường, giờ thứ hai ô tô chạy được 1/5 quãng đường, giờ thứ ba ô tô chạy 28km thì hết quãng đường. Hỏi quãng đường đó dài bao nhiêu ki-lô-mét?
    Trả lời:
    Quãng đường đó dài ......... km.

    60
    Đáp án là:
    Câu 5:

    Một ô tô chạy trong giờ đầu được 1/3 quãng đường, giờ thứ hai ô tô chạy được 1/5 quãng đường, giờ thứ ba ô tô chạy 28km thì hết quãng đường. Hỏi quãng đường đó dài bao nhiêu ki-lô-mét?
    Trả lời:
    Quãng đường đó dài ......... km.

    60
  • Câu 6: Nhận biết
    Câu 6:

    Tìm 2 số tự nhiên có tổng bằng 417, biết giữa chúng có tất cả 18 số lẻ.
    Trả lời:
    Số bé là: ............
    Số lớn là: ...........

    190; 227
    Nhập các số theo thứ tự, ngăn cách nhau bởi dầu ";"
    Đáp án là:
    Câu 6:

    Tìm 2 số tự nhiên có tổng bằng 417, biết giữa chúng có tất cả 18 số lẻ.
    Trả lời:
    Số bé là: ............
    Số lớn là: ...........

    190; 227
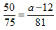
  • Câu 7: Nhận biết
    Câu 7:

    Tìm a biết: Đề thi violympic Toán lớp 4 vòng 19
    Trả lời: a = ...........

    66
    Đáp án là:
    Câu 7:

    Tìm a biết: Đề thi violympic Toán lớp 4 vòng 19
    Trả lời: a = ...........

    66
  • Câu 8: Nhận biết
    Câu 8:

    Tìm 2 số có tổng bằng 235, biết nếu lấy số bé nhân với 3; số lớn nhân với 2 ta được hai tích bằng nhau.
    Trả lời:
    Số bé là: ............
    Số lớn là: ...........

    94; 141
    Nhập các giá trị theo thứ tự, ngăn cách nhau bởi dấu ";"
    Đáp án là:
    Câu 8:

    Tìm 2 số có tổng bằng 235, biết nếu lấy số bé nhân với 3; số lớn nhân với 2 ta được hai tích bằng nhau.
    Trả lời:
    Số bé là: ............
    Số lớn là: ...........

    94; 141
  • Câu 9: Nhận biết
    Câu 9:

    Tìm một số có hai chữ số biết tổng các chữ số của số đó bằng 12. Nếu đổi chỗ hai chữ số của số đó cho nhau thì được một số kém số ban đầu 54.
    Trả lời:
    Số cần tìm là: .......... 

    93
    Đáp án là:
    Câu 9:

    Tìm một số có hai chữ số biết tổng các chữ số của số đó bằng 12. Nếu đổi chỗ hai chữ số của số đó cho nhau thì được một số kém số ban đầu 54.
    Trả lời:
    Số cần tìm là: .......... 

    93
  • Câu 10: Nhận biết
    Câu 10:

    Có bao nhiêu phân số bằng phân số 36/81 mà tử số là số chẵn bé hơn 36.
    Trả lời:
    Có ....... phân số thỏa mãn đề bài. 

    8
    Đáp án là:
    Câu 10:

    Có bao nhiêu phân số bằng phân số 36/81 mà tử số là số chẵn bé hơn 36.
    Trả lời:
    Có ....... phân số thỏa mãn đề bài. 

    8
  • Câu 11: Nhận biết
    Bài 2: Đi tìm kho báu Câu 1:
    Một miếng bìa hình chữ nhật có chiều dài là 8dm 5cm, chiều rộng là 25cm. Tính diện tích miếng bìa đó.
    Trả lời:
    Diện tích miếng bìa là ....... cm2.

    2125
    Đáp án là:
    Bài 2: Đi tìm kho báu Câu 1:
    Một miếng bìa hình chữ nhật có chiều dài là 8dm 5cm, chiều rộng là 25cm. Tính diện tích miếng bìa đó.
    Trả lời:
    Diện tích miếng bìa là ....... cm2.

    2125
  • Câu 12: Nhận biết
    Câu 2:

    Tính chu vi, diện tích của hình chữ nhật biết số đo chiều dài là 8dm2cm, chiều rộng là 25cm.
    Trả lời:
    - Chu vi hình chữ nhật đó là ..........cm. 
    - Diện tích hình chữ nhật đó là ........cm2.  

    214; 2050
    Nhập các giá trị theo thứ tự, ngăn cách nhau bởi dấu ";"
    Đáp án là:
    Câu 2:

    Tính chu vi, diện tích của hình chữ nhật biết số đo chiều dài là 8dm2cm, chiều rộng là 25cm.
    Trả lời:
    - Chu vi hình chữ nhật đó là ..........cm. 
    - Diện tích hình chữ nhật đó là ........cm2.  

    214; 2050
  • Câu 13: Nhận biết
    Câu 3:

    Tìm số nhỏ nhất có ba chữ số chia hết cho 2; 3; 5 và 9.
    Trả lời:
    Số cần tìm là: ............

    180
    Đáp án là:
    Câu 3:

    Tìm số nhỏ nhất có ba chữ số chia hết cho 2; 3; 5 và 9.
    Trả lời:
    Số cần tìm là: ............

    180
  • Câu 14: Nhận biết
    Câu 4:

    Cho 2 số tự nhiên có tổng bằng 2009. Tìm 2 số đó biết giữa chúng có tất cả 100 số tự nhiên khác.
    Trả lời:
    Số bé là: .............
    Số lớn là: ...........

    954; 1055
    Đáp án là:
    Câu 4:

    Cho 2 số tự nhiên có tổng bằng 2009. Tìm 2 số đó biết giữa chúng có tất cả 100 số tự nhiên khác.
    Trả lời:
    Số bé là: .............
    Số lớn là: ...........

    954; 1055
  • Câu 15: Nhận biết
    Câu 5:

    Tìm hai số có tổng là 5883. Biết rằng nếu viết thêm số 25 vào bên phải số bé ta được số lớn.
    Trả lời:
    Số lớn là: .......... 
    Số bé là: ..........

    5825; 58
    Đáp án là:
    Câu 5:

    Tìm hai số có tổng là 5883. Biết rằng nếu viết thêm số 25 vào bên phải số bé ta được số lớn.
    Trả lời:
    Số lớn là: .......... 
    Số bé là: ..........

    5825; 58
  • Câu 16: Nhận biết
    Bài 3: Hãy điền số thích hợp vào chỗ chấm. Câu 1: 
    Tính: Đề thi violympic Toán lớp 4 vòng 19
    Trả lời: A = ..........4
    Đáp án là:
    Bài 3: Hãy điền số thích hợp vào chỗ chấm. Câu 1: 
    Tính: Đề thi violympic Toán lớp 4 vòng 19
    Trả lời: A = ..........4
  • Câu 17: Nhận biết
    Câu 2:

    Tìm số có 4 chữ số  a02b biết số đó chia hết cho cả 2; 5 và 9.
    Trả lời: Số đó là .............

    7020
    Đáp án là:
    Câu 2:

    Tìm số có 4 chữ số  a02b biết số đó chia hết cho cả 2; 5 và 9.
    Trả lời: Số đó là .............

    7020
  • Câu 18: Nhận biết
    Câu 3: Tính: Đề thi violympic toán lớp 4 vòng 19
    Trả lời: A = ...............4
    Đáp án là:
    Câu 3: Tính: Đề thi violympic toán lớp 4 vòng 19
    Trả lời: A = ...............4
  • Câu 19: Nhận biết
    Câu 4:

    Tìm X biết: 327 x (126 + X) = 67035
    Trả lời: X = .............

    79
    Đáp án là:
    Câu 4:

    Tìm X biết: 327 x (126 + X) = 67035
    Trả lời: X = .............

    79
  • Câu 20: Nhận biết
    Câu 5:

    Tìm số bị chia để có thương bằng 126, số dư bằng 37 và số chia là số chia bé nhất.
    Trả lời: Số bị chia là ....................

    4825
    Đáp án là:
    Câu 5:

    Tìm số bị chia để có thương bằng 126, số dư bằng 37 và số chia là số chia bé nhất.
    Trả lời: Số bị chia là ....................

    4825
  • Câu 21: Nhận biết
    Câu 6:

    Một số tự nhiên chia cho 38 được thương là 75 và số dư là số dưlớn nhất có thể. Nếu lấy số đó chia cho 46 thì được số dư bằng bao nhiêu?
    Trả lời: Số dư là .................

    35
    Đáp án là:
    Câu 6:

    Một số tự nhiên chia cho 38 được thương là 75 và số dư là số dưlớn nhất có thể. Nếu lấy số đó chia cho 46 thì được số dư bằng bao nhiêu?
    Trả lời: Số dư là .................

    35
  • Câu 22: Nhận biết
    Câu 7:

    Tổng của 2 số lẻ bằng 200. Tìm số bé biết giữa chúng có 8 số lẻ khác.
    Trả lời: Số bé là ...............

    91
    Đáp án là:
    Câu 7:

    Tổng của 2 số lẻ bằng 200. Tìm số bé biết giữa chúng có 8 số lẻ khác.
    Trả lời: Số bé là ...............

    91
  • Câu 23: Nhận biết
    Câu 8:

    Một mảnh vườn hình chữ nhật có chu vi bằng 240m được ngăn thành 2 mảnh: một mảnh nhỏ hình vuông để trồng hoa, một mảnh lớn hình chữ nhật có chiều dài gấp 3 lần chiều rộng để trồng rau. Tính diện tích hình chữ nhật ban đầu.
    Trả lời: Diện tích hình chữ nhật ban đầu là ............... m2.

    2304
    Đáp án là:
    Câu 8:

    Một mảnh vườn hình chữ nhật có chu vi bằng 240m được ngăn thành 2 mảnh: một mảnh nhỏ hình vuông để trồng hoa, một mảnh lớn hình chữ nhật có chiều dài gấp 3 lần chiều rộng để trồng rau. Tính diện tích hình chữ nhật ban đầu.
    Trả lời: Diện tích hình chữ nhật ban đầu là ............... m2.

    2304
  • Câu 24: Nhận biết
    Câu 9:

    Tính diện tích một hình vuông biết, nếu tăng cạnh hình vuông đó thêm 5cm thì diện tích tăng thêm 335cm2.
    Trả lời: Diện tích hình vuông đó là .............. cm2.

    961
    Đáp án là:
    Câu 9:

    Tính diện tích một hình vuông biết, nếu tăng cạnh hình vuông đó thêm 5cm thì diện tích tăng thêm 335cm2.
    Trả lời: Diện tích hình vuông đó là .............. cm2.

    961
  • Câu 25: Nhận biết
    Câu 10:

    Trong tất cả các hình vuông, hình chữ nhật có diện tích bằng 144cm2
    Thì hình có chu vi bé nhất có chu vi bằng ..............cm.

    48
    Đáp án là:
    Câu 10:

    Trong tất cả các hình vuông, hình chữ nhật có diện tích bằng 144cm2
    Thì hình có chu vi bé nhất có chu vi bằng ..............cm.

    48

Chúc mừng Bạn đã hoàn thành bài!

Đề thi Violympic Toán lớp 4 vòng 19 năm 2015 - 2016 Kết quả
  • Thời gian làm bài: 00:00:00
  • Số câu đã làm: 0
  • Điểm tạm tính: 0
  • Điểm thưởng: 0

Đấu trường Đề thi Violympic Toán lớp 4 vòng 19 năm 2015 - 2016

Đang tìm đối thủ...

Đang tải...

Xác thực tài khoản!

Theo Nghị định 147/2024/ND-CP, bạn cần xác thực tài khoản trước khi sử dụng tính năng này. Chúng tôi sẽ gửi mã xác thực qua SMS hoặc Zalo tới số điện thoại mà bạn nhập dưới đây:

Số điện thoại chưa đúng định dạng!
Số điện thoại này đã được xác thực!
Bạn có thể dùng Sđt này đăng nhập tại đây!
Lỗi gửi SMS, liên hệ Admin
Sắp xếp theo