Giao diện mới của VnDoc Pro: Dễ sử dụng hơn - chỉ tập trung vào lớp bạn quan tâm. Vui lòng chọn lớp mà bạn quan tâm: Lưu và trải nghiệm
Đóng
Điểm danh hàng ngày
  • Hôm nay +3
  • Ngày 2 +3
  • Ngày 3 +3
  • Ngày 4 +3
  • Ngày 5 +3
  • Ngày 6 +3
  • Ngày 7 +5
Bạn đã điểm danh Hôm nay và nhận 3 điểm!
Nhắn tin Zalo VNDOC để nhận tư vấn mua gói Thành viên hoặc tải tài liệu Hotline hỗ trợ: 0936 120 169

Đề thi Violympic Toán lớp 7 vòng 15 năm 2016 - 2017

Đóng
Bạn đã dùng hết 1 lần làm bài Trắc nghiệm miễn phí. Mời bạn mua tài khoản VnDoc PRO để tiếp tục! Tìm hiểu thêm
Mô tả thêm:

Đề thi giải Toán qua mạng lớp 7 cấp huyện

Đề thi Violympic môn Toán lớp 7 vòng 15 năm học 2016 - 2017 với những câu hỏi bổ ích vừa được cập nhật trên hệ thống bài thi trắc nghiệm của VnDoc nhằm hỗ trợ các em học sinh trong quá trình ôn luyện, làm quen với các dạng bài tập mới. Chúc các em đạt được điểm số cao!

Đề thi Violympic Toán lớp 7 vòng 14 năm 2016 - 2017

  • Số câu hỏi: 25 câu
  • Số điểm tối đa: 25 điểm
Bắt đầu làm bài
Bạn còn 1 lượt làm bài tập miễn phí. Hãy mua tài khoản VnDoc PRO để học không giới hạn nhé! Bạn đã HẾT lượt làm bài tập miễn phí! Hãy mua tài khoản VnDoc PRO để làm Trắc nghiệm không giới hạn và tải tài liệu nhanh nhé!
Mua ngay Đổi điểm
Trước khi làm bài bạn hãy
  • 1 Ôn tập kiến thức đã nêu trong phần Mô tả thêm
  • 2 Tìm không gian và thiết bị phù hợp để tập trung làm bài
  • 3 Chuẩn bị sẵn dụng cụ cần dùng khi làm bài như bút, nháp, máy tính
  • 4 Căn chỉnh thời gian làm từng câu một cách hợp lý
  • Câu 1: Nhận biết

    Bài 1: Đi tìm kho báu

    Câu 1:  Đề thi Violympic Toán lớp 7 vòng 15

  • Câu 2: Nhận biết

    Câu 2:

    Hàm số y = f(x) = - 1/3x nhận giá trị dương khi

  • Câu 3: Nhận biết

    Câu 3:

    Nếu 4,(56) = k.1,1(21) thì số k thỏa mãn là...

  • Câu 4: Nhận biết

    Câu 4:

    Số nào dưới đây không bằng 5/9?

  • Câu 5: Nhận biết

    Câu 5:

    Giá trị nào sau đây của n thỏa mãn đẳng thức x2y4 + 2x2y4 + 3x2y4 +...+ nx2y4 = 465x2y4 (với x, y ≠ 0)

  • Câu 6: Nhận biết
    Bài 2: Đừng để điểm rơi

    Câu 1: Cho f(x) = (-3)/x2; g(x) = -4x; h(x) = x3 + 5. Khi đó f(-1) - 2(g2) + h(0) =... 

    18
    Đáp án là:
    Bài 2: Đừng để điểm rơi

    Câu 1: Cho f(x) = (-3)/x2; g(x) = -4x; h(x) = x3 + 5. Khi đó f(-1) - 2(g2) + h(0) =... 

    18
  • Câu 7: Nhận biết
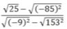
    Câu 2: Đề thi Violympic Toán lớp 7 vòng 153
    Đáp án là:
    Câu 2: Đề thi Violympic Toán lớp 7 vòng 153
  • Câu 8: Nhận biết
    Câu 3: Cho tam giác ABC vuông tại A có AB = 10cm, AC = √189cm. Độ dài cạnh BC là:... cm17
    Đáp án là:
    Câu 3: Cho tam giác ABC vuông tại A có AB = 10cm, AC = √189cm. Độ dài cạnh BC là:... cm17
  • Câu 9: Nhận biết
    Câu 4: Cho tỉ lệ thức Đề thi Violympic Toán lớp 7 vòng 15(với a, c ≠ 0, c + b ≠ 0 và b ≠ 0). Khi đó c/a =...1
    Đáp án là:
    Câu 4: Cho tỉ lệ thức Đề thi Violympic Toán lớp 7 vòng 15(với a, c ≠ 0, c + b ≠ 0 và b ≠ 0). Khi đó c/a =...1
  • Câu 10: Nhận biết
    Câu 5: Đề thi Violympic Toán lớp 7 vòng 1530/77
    Đáp án là:
    Câu 5: Đề thi Violympic Toán lớp 7 vòng 1530/77
  • Câu 11: Nhận biết
    Câu 6: Cho tam giác ABC vuông ở A có AB = 16cm, BC = 20cm. Trên tia đối của tia AB lấy điểm D sao cho AD = 5cm. Khi đó độ dài đoạn thẳng CD là:... cm13
    Đáp án là:
    Câu 6: Cho tam giác ABC vuông ở A có AB = 16cm, BC = 20cm. Trên tia đối của tia AB lấy điểm D sao cho AD = 5cm. Khi đó độ dài đoạn thẳng CD là:... cm13
  • Câu 12: Nhận biết
    Câu 7: Cho tam giác ABC có AB = 9cm, BC = 15cm, AC = 12cm. D là điểm trên cạnh AC sao cho AD - 2cm. Khi đó độ dài BD là... cm9,22
    Đáp án là:
    Câu 7: Cho tam giác ABC có AB = 9cm, BC = 15cm, AC = 12cm. D là điểm trên cạnh AC sao cho AD - 2cm. Khi đó độ dài BD là... cm9,22
  • Câu 13: Nhận biết
    Câu 8: Đề thi Violympic Toán lớp 7 vòng 154/9
    Đáp án là:
    Câu 8: Đề thi Violympic Toán lớp 7 vòng 154/9
  • Câu 14: Nhận biết
    Câu 9: Đề thi Violympic Toán lớp 7 vòng 15101
    Đáp án là:
    Câu 9: Đề thi Violympic Toán lớp 7 vòng 15101
  • Câu 15: Nhận biết
    Câu 10: Ba đội công nhân làm ba khối lượng công việc như nhau, mỗi công nhân có năng suất làm việc như nhau. Đội I hoàn thành công việc trong 4 ngày. Đội II hoàn thành công việc trong 6 ngày. Tổng số người của đội I và đội II gấp 5 lần số người đội III. Vậy đội III sẽ hoàn thành công việc trong... ngày.12
    Đáp án là:
    Câu 10: Ba đội công nhân làm ba khối lượng công việc như nhau, mỗi công nhân có năng suất làm việc như nhau. Đội I hoàn thành công việc trong 4 ngày. Đội II hoàn thành công việc trong 6 ngày. Tổng số người của đội I và đội II gấp 5 lần số người đội III. Vậy đội III sẽ hoàn thành công việc trong... ngày.12
  • Câu 16: Nhận biết
    Bài 3: Mười hai con giáp

    Câu 1: Biết x : 2 = 2y : 3 và xy = 27. Khi đó giá trị của biểu thức A = x2 + y2 là:... 

    56
    Đáp án là:
    Bài 3: Mười hai con giáp

    Câu 1: Biết x : 2 = 2y : 3 và xy = 27. Khi đó giá trị của biểu thức A = x2 + y2 là:... 

    56
  • Câu 17: Nhận biết
    Câu 2: Đề thi Violympic Toán lớp 7 vòng 151/10
    Đáp án là:
    Câu 2: Đề thi Violympic Toán lớp 7 vòng 151/10
  • Câu 18: Nhận biết
    Câu 3: Số các giá trị nguyên của n thỏa mãn Đề thi Violympic Toán lớp 7 vòng 156
    Đáp án là:
    Câu 3: Số các giá trị nguyên của n thỏa mãn Đề thi Violympic Toán lớp 7 vòng 156
  • Câu 19: Nhận biết
    Câu 4: Đề thi Violympic Toán lớp 7 vòng 152
    Đáp án là:
    Câu 4: Đề thi Violympic Toán lớp 7 vòng 152
  • Câu 20: Nhận biết
    Câu 5: Cần bỏ đi số nào trong tập hợp A = {-1; -2; -3;...; -11} để giá trị trung bình của các số còn lại không thay đổi.-6
    Đáp án là:
    Câu 5: Cần bỏ đi số nào trong tập hợp A = {-1; -2; -3;...; -11} để giá trị trung bình của các số còn lại không thay đổi.-6
  • Câu 21: Nhận biết
    Câu 6: Tìm độ dài mỗi cạnh của ΔABC = ΔDEF và chu vi tam giác DEF = 27cm. Độ dài mỗi cạnh của ΔABC bằng ... cm.9
    Đáp án là:
    Câu 6: Tìm độ dài mỗi cạnh của ΔABC = ΔDEF và chu vi tam giác DEF = 27cm. Độ dài mỗi cạnh của ΔABC bằng ... cm.9
  • Câu 22: Nhận biết
    Câu 7: Cho x và y là hai đại lượng tỉ lệ nghịch x1 và x2 là hai giá trị của x, y1 và y2 là hai giá trị tương ứng của y. Biết x2 = 2;2x1 - 3y2 = 22;y1 = 5. Khi đó x1 + y2 =...- 14
    Đáp án là:
    Câu 7: Cho x và y là hai đại lượng tỉ lệ nghịch x1 và x2 là hai giá trị của x, y1 và y2 là hai giá trị tương ứng của y. Biết x2 = 2;2x1 - 3y2 = 22;y1 = 5. Khi đó x1 + y2 =...- 14
  • Câu 23: Nhận biết
    Câu 8: Cho tam giác ABC vuông ở A có góc C = 60o. Trên tia đối của tia AC lấy điểm D sao cho AD = AC. Khi đó số đo góc DBC bằng...60
    Đáp án là:
    Câu 8: Cho tam giác ABC vuông ở A có góc C = 60o. Trên tia đối của tia AC lấy điểm D sao cho AD = AC. Khi đó số đo góc DBC bằng...60
  • Câu 24: Nhận biết
    Câu 9: Cho tam giác ABC vuông tại A, đường cao AH. Tia phân giác của góc C và góc BAH cắt nhau tại I. Số đo góc AIC bằng...90
    Đáp án là:
    Câu 9: Cho tam giác ABC vuông tại A, đường cao AH. Tia phân giác của góc C và góc BAH cắt nhau tại I. Số đo góc AIC bằng...90
  • Câu 25: Nhận biết
    Câu 10: Gía trị của biểu thức C = 4x4 - 3x2 - 2 với IxI = 1 là...-1
    Đáp án là:
    Câu 10: Gía trị của biểu thức C = 4x4 - 3x2 - 2 với IxI = 1 là...-1

Chúc mừng Bạn đã hoàn thành bài!

Đề thi Violympic Toán lớp 7 vòng 15 năm 2016 - 2017 Kết quả
  • Thời gian làm bài: 00:00:00
  • Số câu đã làm: 0
  • Điểm tạm tính: 0
  • Điểm thưởng: 0
Tải file làm trên giấy

Đấu trường Đề thi Violympic Toán lớp 7 vòng 15 năm 2016 - 2017

Đang tìm đối thủ...

Đang tải...

Xác thực tài khoản!

Theo Nghị định 147/2024/ND-CP, bạn cần xác thực tài khoản trước khi sử dụng tính năng này. Chúng tôi sẽ gửi mã xác thực qua SMS hoặc Zalo tới số điện thoại mà bạn nhập dưới đây:

Số điện thoại chưa đúng định dạng!
Số điện thoại này đã được xác thực!
Bạn có thể dùng Sđt này đăng nhập tại đây!
Lỗi gửi SMS, liên hệ Admin
Sắp xếp theo