Giao diện mới của VnDoc Pro: Dễ sử dụng hơn - chỉ tập trung vào lớp bạn quan tâm. Vui lòng chọn lớp mà bạn quan tâm: Lưu và trải nghiệm
Đóng
Điểm danh hàng ngày
  • Hôm nay +3
  • Ngày 2 +3
  • Ngày 3 +3
  • Ngày 4 +3
  • Ngày 5 +3
  • Ngày 6 +3
  • Ngày 7 +5
Bạn đã điểm danh Hôm nay và nhận 3 điểm!
Nhắn tin Zalo VNDOC để nhận tư vấn mua gói Thành viên hoặc tải tài liệu Hotline hỗ trợ: 0936 120 169

Đề thi Violympic Toán lớp 7 vòng 17 năm 2015 - 2016

Đóng
Bạn đã dùng hết 1 lần làm bài Trắc nghiệm miễn phí. Mời bạn mua tài khoản VnDoc PRO để tiếp tục! Tìm hiểu thêm
Mô tả thêm:

Đề thi giải Toán qua mạng lớp 7

Mời quý thầy cô và các bạn học sinh lớp 7 tham gia thử sức với vòng 17 của Cuộc thi giải Toán qua mạng năm 2015 - 2016 với bài test Đề thi Violympic Toán lớp 7 vòng 17 năm 2015 - 2016 trên trang VnDoc.com. Bài test có đi kèm với phần đáp án giúp các bạn so sánh và đối chiếu kết quả bài làm của mình. Chúc các bạn làm bài tốt!

  • Thời gian làm: 60 phút
  • Số câu hỏi: 25 câu
  • Số điểm tối đa: 25 điểm
Bắt đầu làm bài
Bạn còn 1 lượt làm bài tập miễn phí. Hãy mua tài khoản VnDoc PRO để học không giới hạn nhé! Bạn đã HẾT lượt làm bài tập miễn phí! Hãy mua tài khoản VnDoc PRO để làm Trắc nghiệm không giới hạn và tải tài liệu nhanh nhé!
Mua ngay Đổi điểm
Trước khi làm bài bạn hãy
  • 1 Ôn tập kiến thức đã nêu trong phần Mô tả thêm
  • 2 Tìm không gian và thiết bị phù hợp để tập trung làm bài
  • 3 Chuẩn bị sẵn dụng cụ cần dùng khi làm bài như bút, nháp, máy tính
  • 4 Căn chỉnh thời gian làm từng câu một cách hợp lý
  • Câu 1: Nhận biết

    Bài 1: Cóc vàng tài ba

    Câu 1.1:
    Nếu tam giác ABC có góc A = 50o và AB = AC thì góc B = .......o.
  • Câu 2: Nhận biết

    Câu 1.2:

    Hai lớp 7A và 7B có tất cả 65 học sinh. Biết rằng số học sinh của hai lớp lần lượt tỉ lê với 6 và 7. Số học sinh lớp 7A là:
  • Câu 3: Nhận biết

    Câu 1.3:

    Tam giác ABC có góc A = 70o; góc B lớn hớn góc C là 50o. Số đo góc C bằng:
  • Câu 4: Nhận biết

    Câu 1.4:

    Tính: 232 = ............
  • Câu 5: Nhận biết

    Câu 1.5:

    Tìm x biết: x + 2x + 3x + .... = 2016x = 2017.2018
    Trả lời: x = .....

  • Câu 6: Nhận biết

    Câu 1.6:

    Biết: (2x - 1)2016 + (3y + 6)2014 + (z - 1)2012 = 0
    Vậy 4x + y - 3z = .........
  • Câu 7: Nhận biết

    Câu 1.7:

    Cho hai số x; y biết x/y = 5/7 và x + y = 72. Vậy 2x - 3y = .....

  • Câu 8: Nhận biết

    Câu 1.8:

    Với x nguyên, giá trị lớn nhất của biểu thức Đề thi violympic toán lớp 7 vòng 17 là:
  • Câu 9: Nhận biết

    Câu 1.9:

    Số giá trị của x thỏa mãn 2015.Ι1 - xΙ + (x - 1) = 2016.Ιx - 1Ι là ......
  • Câu 10: Nhận biết

    Câu 1.10:

    Số dư của A = 3n + 3 + 2n + 3 + 3n + 1 + 2n + 2 khi chia cho 6 là:
  • Câu 11: Nhận biết
    Bài 2: Đi tìm kho báu Câu 2.1:
    Tập hợp các số nguyên x thỏa mãn x2 - 4x = 0 là {.....}0; 4
    Nhập các giá trị theo thứ tự tăng dần, ngăn cách nhau bởi dấu ";"
    Đáp án là:
    Bài 2: Đi tìm kho báu Câu 2.1:
    Tập hợp các số nguyên x thỏa mãn x2 - 4x = 0 là {.....}0; 4
  • Câu 12: Nhận biết
    Câu 2.2:

    Tập hợp các số nguyên x thỏa mãn x2 - 3 < 0 là {.......}

    -1; 0; 1
    Nhập các kết quả theo thứ tự tăng dần, ngăn cách nhau bởi dấu ";"
    Đáp án là:
    Câu 2.2:

    Tập hợp các số nguyên x thỏa mãn x2 - 3 < 0 là {.......}

    -1; 0; 1
  • Câu 13: Nhận biết
    Câu 2.3:

    Cho đa thức f(x) = ax + bx + c trong đó a, b, c là các số cho trước.
    Nếu f(1) = 0 thì ta có a + b + c + 3 = ...........

    3
    Đáp án là:
    Câu 2.3:

    Cho đa thức f(x) = ax + bx + c trong đó a, b, c là các số cho trước.
    Nếu f(1) = 0 thì ta có a + b + c + 3 = ...........

    3
  • Câu 14: Nhận biết
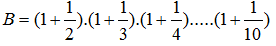
    Câu 2.4: Rút gọn biểu thức: 
    Đề thi violympic toán lớp 7 vòng 17
    ta được B = .........11/2
    Nhập kết quả dưới dạng phân số tối giản
    Đáp án là:
    Câu 2.4: Rút gọn biểu thức: 
    Đề thi violympic toán lớp 7 vòng 17
    ta được B = .........11/2
  • Câu 15: Nhận biết
    Câu 2.5:

    Tập hợp các số nguyên a sao cho 3 chia hết cho a - 2 là {..........}

    -1; 1; 3; 5
    Nhập các kết quả theo thứ tư tăng dần, ngăn cách nhau bởi dấu ";"
    Đáp án là:
    Câu 2.5:

    Tập hợp các số nguyên a sao cho 3 chia hết cho a - 2 là {..........}

    -1; 1; 3; 5
  • Câu 16: Nhận biết
    Bài 3: Hãy điền số thích hợp vào chỗ chấm Câu 3.1:
    Số các giá trị nguyên của x thỏa mãn ΙxΙ ≤ 5 là ........11
    Đáp án là:
    Bài 3: Hãy điền số thích hợp vào chỗ chấm Câu 3.1:
    Số các giá trị nguyên của x thỏa mãn ΙxΙ ≤ 5 là ........11
  • Câu 17: Nhận biết
    Câu 3.2: Phân số có giá trị bằng phân số 4/6 và có tổng tử và mẫu bằng 15 thì phân số đó có mẫu bằng ........9
    Đáp án là:
    Câu 3.2: Phân số có giá trị bằng phân số 4/6 và có tổng tử và mẫu bằng 15 thì phân số đó có mẫu bằng ........9
  • Câu 18: Nhận biết
    Câu 3.3: Tập hợp các số nguyên x để Đề thi violympic toán lớp 7 vòng 17 là: {........}-3; -2
    Nhập các giá trị theo thứ tự tăng dần, ngăn cách nhau bởi dấu ";"
    Đáp án là:
    Câu 3.3: Tập hợp các số nguyên x để Đề thi violympic toán lớp 7 vòng 17 là: {........}-3; -2
  • Câu 19: Nhận biết
    Câu 3.4: Số các số hữu tỉ âm có mẫu bằng 9 và lớn hơn -1 là ..........8
    Đáp án là:
    Câu 3.4: Số các số hữu tỉ âm có mẫu bằng 9 và lớn hơn -1 là ..........8
  • Câu 20: Nhận biết
    Câu 3.5: Tam giác ABC có AB = 2cm; AC = 2cm; BC = 2√2cm thì góc C bằng .........o.45
    Đáp án là:
    Câu 3.5: Tam giác ABC có AB = 2cm; AC = 2cm; BC = 2√2cm thì góc C bằng .........o.45
  • Câu 21: Nhận biết
    Câu 3.6: Số các giá trị của x để (x - 4)(x2 + 16)(x2 - 16)(x + 1) = 0 là ..........3
    Đáp án là:
    Câu 3.6: Số các giá trị của x để (x - 4)(x2 + 16)(x2 - 16)(x + 1) = 0 là ..........3
  • Câu 22: Nhận biết
    Câu 3.7:

    Số các số nguyên m để giá trị của biểu thức m - 1 chia hết cho giá trị của biểu thức 2m + 1 là: ..........

    4
    Đáp án là:
    Câu 3.7:

    Số các số nguyên m để giá trị của biểu thức m - 1 chia hết cho giá trị của biểu thức 2m + 1 là: ..........

    4
  • Câu 23: Nhận biết
    Câu 3.8: Giá trị lớn nhất của biểu thức P = -2x2 + 17 là ........17
    Đáp án là:
    Câu 3.8: Giá trị lớn nhất của biểu thức P = -2x2 + 17 là ........17
  • Câu 24: Nhận biết
    Câu 3.9:

    Ba nhóm học sinh có 39 em. Mỗi nhóm phải trồng một số cây như nhau. Nhóm 1 trồng trong 2 ngày, nhóm 2 trồng trong 3 ngày, nhóm 3 trồng trong 4 ngày. Số học sinh nhóm 1 là .......... học sinh.
    (Biết sức lao động của mỗi học sinh là như nhau)

    18
    Đáp án là:
    Câu 3.9:

    Ba nhóm học sinh có 39 em. Mỗi nhóm phải trồng một số cây như nhau. Nhóm 1 trồng trong 2 ngày, nhóm 2 trồng trong 3 ngày, nhóm 3 trồng trong 4 ngày. Số học sinh nhóm 1 là .......... học sinh.
    (Biết sức lao động của mỗi học sinh là như nhau)

    18
  • Câu 25: Nhận biết
    Câu 3.10:

    Cho x; y là các số thỏa mãn (x + 2y - 3)2016 + Ι2x + 3y - 5Ι = 0
    Vậy (x; y) = ..........

    1; 1
    Nhập các kết quả theo thứ tự, ngăn cách nhau bởi dấu ";"
    Đáp án là:
    Câu 3.10:

    Cho x; y là các số thỏa mãn (x + 2y - 3)2016 + Ι2x + 3y - 5Ι = 0
    Vậy (x; y) = ..........

    1; 1

Chúc mừng Bạn đã hoàn thành bài!

Đề thi Violympic Toán lớp 7 vòng 17 năm 2015 - 2016 Kết quả
  • Thời gian làm bài: 00:00:00
  • Số câu đã làm: 0
  • Điểm tạm tính: 0
  • Điểm thưởng: 0

Đấu trường Đề thi Violympic Toán lớp 7 vòng 17 năm 2015 - 2016

Đang tìm đối thủ...

Đang tải...

Xác thực tài khoản!

Theo Nghị định 147/2024/ND-CP, bạn cần xác thực tài khoản trước khi sử dụng tính năng này. Chúng tôi sẽ gửi mã xác thực qua SMS hoặc Zalo tới số điện thoại mà bạn nhập dưới đây:

Số điện thoại chưa đúng định dạng!
Số điện thoại này đã được xác thực!
Bạn có thể dùng Sđt này đăng nhập tại đây!
Lỗi gửi SMS, liên hệ Admin
Sắp xếp theo